Номер 3.361, страница 246 - гдз по алгебре 7 класс учебник Арефьева, Пирютко

Алгебра, 7 класс Учебник, авторы: Арефьева Ирина Глебовна, Пирютко Ольга Николаевна, издательство Народная асвета, Минск, 2022, зелёного цвета

Авторы: Арефьева И. Г., Пирютко О. Н.

Тип: Учебник

Издательство: Народная асвета

Год издания: 2022 - 2025

Цвет обложки: зелёный с графиком

ISBN: ISBN 978-985-03-3770-2

Допущено Министерством образования Республики Беларусь

Популярные ГДЗ в 7 классе

Глава 3. Линейные уравнения. Линейные неравенства. Линейная функция. Параграф 20. Линейная функция и ее свойства - номер 3.361, страница 246.

№3.361 (с. 246)
Условие. №3.361 (с. 246)
скриншот условия
Алгебра, 7 класс Учебник, авторы: Арефьева Ирина Глебовна, Пирютко Ольга Николаевна, издательство Народная асвета, Минск, 2022, зелёного цвета, страница 246, номер 3.361, Условие

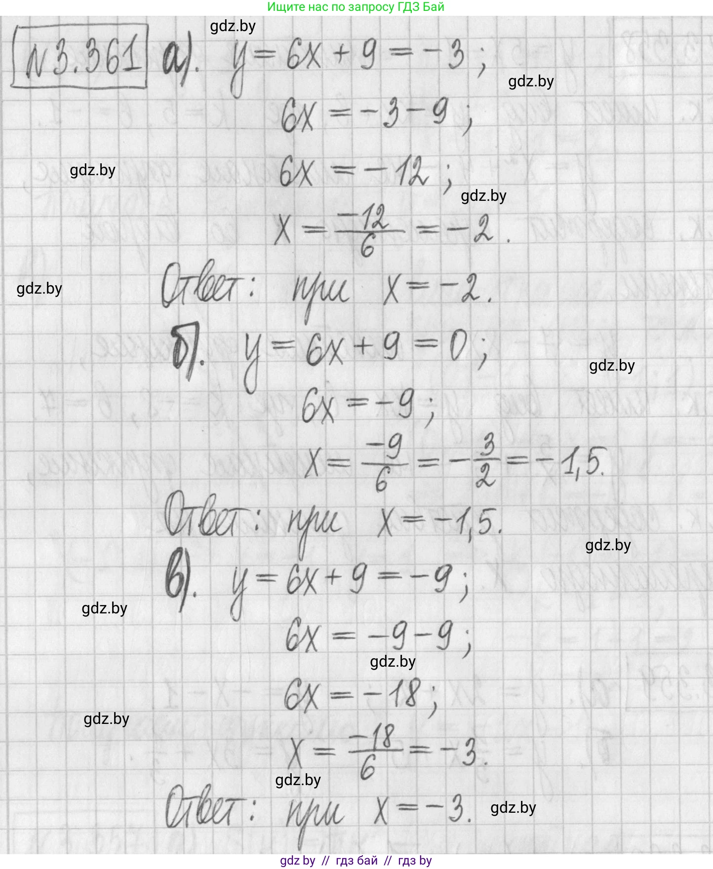
3.361. Найдите, при каком значении аргумента значение функции $y=6x+9$ равно: а) -3; б) 0; в) -9.

Решение. №3.361 (с. 246)
Алгебра, 7 класс Учебник, авторы: Арефьева Ирина Глебовна, Пирютко Ольга Николаевна, издательство Народная асвета, Минск, 2022, зелёного цвета, страница 246, номер 3.361, Решение
Решение 2. №3.361 (с. 246)

Для решения задачи необходимо для каждого значения функции y найти соответствующее значение аргумента x, решив уравнение $y = 6x + 9$.

а) Найдем значение аргумента $x$, при котором значение функции $y$ равно -3.
Подставим $y = -3$ в уравнение функции:
$-3 = 6x + 9$
Для того чтобы найти $x$, сначала перенесем 9 в левую часть уравнения, изменив знак:
$6x = -3 - 9$
$6x = -12$
Теперь разделим обе части уравнения на 6:
$x = \frac{-12}{6}$
$x = -2$
Ответ: -2.

б) Найдем значение аргумента $x$, при котором значение функции $y$ равно 0.
Подставим $y = 0$ в уравнение функции:
$0 = 6x + 9$
Перенесем 9 в левую часть уравнения:
$6x = -9$
Разделим обе части на 6:
$x = -\frac{9}{6}$
Сократим полученную дробь на 3:
$x = -\frac{3}{2}$
Мы получили неправильную дробь. Выделим из нее целую часть:
$x = -1\frac{1}{2}$
Ответ: -1$\frac{1}{2}$.

в) Найдем значение аргумента $x$, при котором значение функции $y$ равно -9.
Подставим $y = -9$ в уравнение функции:
$-9 = 6x + 9$
Перенесем 9 в левую часть уравнения:
$6x = -9 - 9$
$6x = -18$
Разделим обе части на 6:
$x = \frac{-18}{6}$
$x = -3$
Ответ: -3.

Помогло решение? Оставьте отзыв в комментариях ниже.

Присоединяйтесь к Телеграм-группе @gdz_by_belarus

Присоединиться

Мы подготовили для вас ответ c подробным объяснением домашего задания по алгебре за 7 класс, для упражнения номер 3.361 расположенного на странице 246 к учебнику 2022 года издания для учащихся школ и гимназий.

Теперь на нашем сайте ГДЗ.ТОП вы всегда легко и бесплатно найдёте условие с правильным ответом на вопрос «Как решить ДЗ» и «Как сделать» задание по алгебре к упражнению №3.361 (с. 246), авторов: Арефьева (Ирина Глебовна), Пирютко (Ольга Николаевна), учебного пособия издательства Народная асвета.