Номер 3.354, страница 245 - гдз по алгебре 7 класс учебник Арефьева, Пирютко

Алгебра, 7 класс Учебник, авторы: Арефьева Ирина Глебовна, Пирютко Ольга Николаевна, издательство Народная асвета, Минск, 2022, зелёного цвета

Авторы: Арефьева И. Г., Пирютко О. Н.

Тип: Учебник

Издательство: Народная асвета

Год издания: 2022 - 2025

Цвет обложки: зелёный с графиком

ISBN: ISBN 978-985-03-3770-2

Допущено Министерством образования Республики Беларусь

Популярные ГДЗ в 7 классе

Глава 3. Линейные уравнения. Линейные неравенства. Линейная функция. Параграф 20. Линейная функция и ее свойства - номер 3.354, страница 245.

№3.354 (с. 245)
Условие. №3.354 (с. 245)
скриншот условия
Алгебра, 7 класс Учебник, авторы: Арефьева Ирина Глебовна, Пирютко Ольга Николаевна, издательство Народная асвета, Минск, 2022, зелёного цвета, страница 245, номер 3.354, Условие

3.354*. Дана линейная функция $y=kx+4$. При каком значении $k$ график этой функции:

а) не пересекает ось абсцисс;

б) пересекает ось абсцисс в точке с абсциссой $-2$;

в) проходит через точку пересечения графиков функций $y=5-3x$ и $y=2x$?

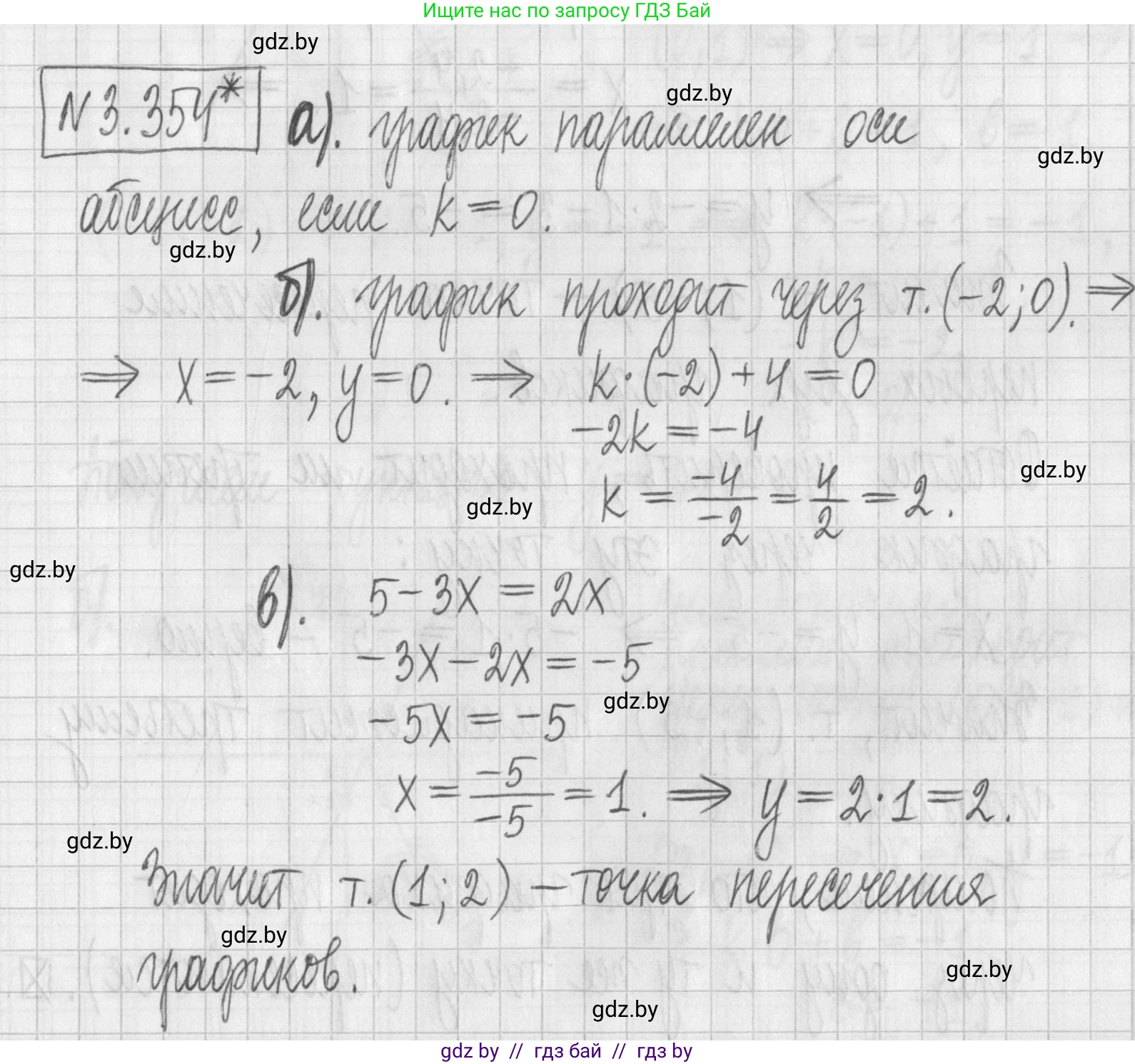
Решение. №3.354 (с. 245)
Алгебра, 7 класс Учебник, авторы: Арефьева Ирина Глебовна, Пирютко Ольга Николаевна, издательство Народная асвета, Минск, 2022, зелёного цвета, страница 245, номер 3.354, Решение Алгебра, 7 класс Учебник, авторы: Арефьева Ирина Глебовна, Пирютко Ольга Николаевна, издательство Народная асвета, Минск, 2022, зелёного цвета, страница 245, номер 3.354, Решение (продолжение 2)
Решение 2. №3.354 (с. 245)

Дана линейная функция $y = kx + 4$. Требуется найти значение коэффициента $k$ для каждого из трех условий.

а) не пересекает ось абсцисс;

График линейной функции не пересекает ось абсцисс (ось Ox), если он ей параллелен. Прямая, заданная уравнением $y = kx + b$, параллельна оси Ox тогда и только тогда, когда ее угловой коэффициент $k=0$.
При $k=0$ уравнение функции принимает вид $y = 0 \cdot x + 4$, то есть $y=4$. График этой функции — горизонтальная прямая, которая не имеет общих точек с осью Ox (линией $y=0$).
Также можно рассуждать иначе: пересечение с осью абсцисс находится из условия $y=0$. Получаем уравнение $kx + 4 = 0$. Это уравнение не имеет решений для $x$ только при $k=0$, так как в этом случае оно превращается в неверное равенство $0 = -4$.
Ответ: $k=0$.

б) пересекает ось абсцисс в точке с абсциссой –2;

Точка пересечения с осью абсцисс имеет ординату (координату $y$), равную 0. По условию, абсцисса (координата $x$) этой точки равна –2. Следовательно, график функции должен проходить через точку с координатами $(-2, 0)$.
Подставим значения $x = -2$ и $y = 0$ в уравнение функции $y = kx + 4$ и решим полученное уравнение относительно $k$:
$0 = k \cdot (-2) + 4$
$0 = -2k + 4$
$2k = 4$
$k = \frac{4}{2}$
$k = 2$
Ответ: $k=2$.

в) проходит через точку пересечения графиков функций $y = 5 - 3x$ и $y = 2x$;

Сначала найдем координаты точки пересечения графиков функций $y = 5 - 3x$ и $y = 2x$. В точке пересечения их значения $y$ равны, поэтому мы можем приравнять правые части уравнений:
$5 - 3x = 2x$
Перенесем члены с $x$ в одну сторону:
$5 = 2x + 3x$
$5 = 5x$
$x = 1$
Теперь найдем координату $y$, подставив найденное значение $x=1$ в любое из двух уравнений (проще в $y = 2x$):
$y = 2 \cdot 1 = 2$
Таким образом, точка пересечения графиков имеет координаты $(1, 2)$.
По условию, график функции $y = kx + 4$ должен проходить через эту точку. Подставим координаты $(1, 2)$ в наше уравнение:
$2 = k \cdot 1 + 4$
$2 = k + 4$
Найдем $k$:
$k = 2 - 4$
$k = -2$
Ответ: $k=-2$.

Помогло решение? Оставьте отзыв в комментариях ниже.

Присоединяйтесь к Телеграм-группе @gdz_by_belarus

Присоединиться

Мы подготовили для вас ответ c подробным объяснением домашего задания по алгебре за 7 класс, для упражнения номер 3.354 расположенного на странице 245 к учебнику 2022 года издания для учащихся школ и гимназий.

Теперь на нашем сайте ГДЗ.ТОП вы всегда легко и бесплатно найдёте условие с правильным ответом на вопрос «Как решить ДЗ» и «Как сделать» задание по алгебре к упражнению №3.354 (с. 245), авторов: Арефьева (Ирина Глебовна), Пирютко (Ольга Николаевна), учебного пособия издательства Народная асвета.