Номер 10, страница 253 - гдз по алгебре 7 класс учебник Арефьева, Пирютко

Алгебра, 7 класс Учебник, авторы: Арефьева Ирина Глебовна, Пирютко Ольга Николаевна, издательство Народная асвета, Минск, 2022, зелёного цвета

Авторы: Арефьева И. Г., Пирютко О. Н.

Тип: Учебник

Издательство: Народная асвета

Год издания: 2022 - 2025

Цвет обложки: зелёный с графиком

ISBN: ISBN 978-985-03-3770-2

Допущено Министерством образования Республики Беларусь

Популярные ГДЗ в 7 классе

Глава 3. Линейные уравнения. Линейные неравенства. Линейная функция. Я проверяю свои знания - номер 10, страница 253.

№10 (с. 253)
Условие. №10 (с. 253)
скриншот условия
Алгебра, 7 класс Учебник, авторы: Арефьева Ирина Глебовна, Пирютко Ольга Николаевна, издательство Народная асвета, Минск, 2022, зелёного цвета, страница 253, номер 10, Условие

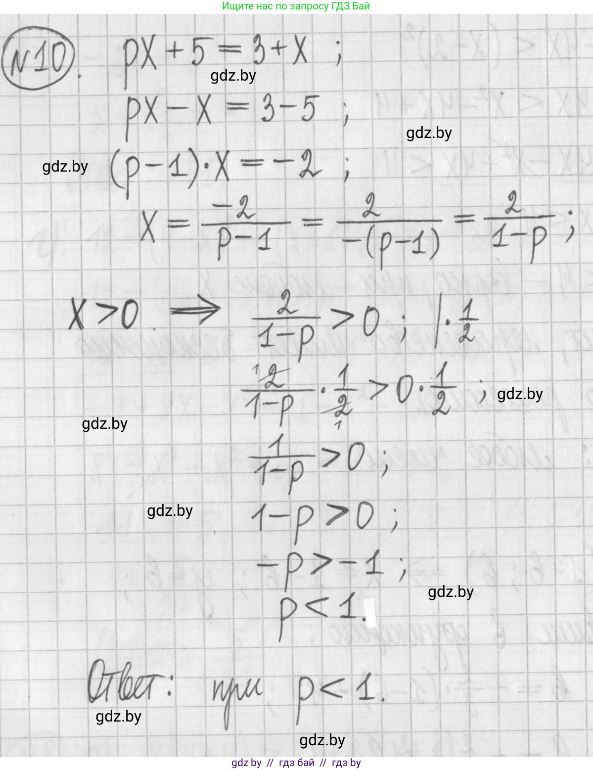
10. Найдите, при каких значениях $p$ уравнение $px + 5 = 3 + x$ имеет положительный корень.

Решение. №10 (с. 253)
Алгебра, 7 класс Учебник, авторы: Арефьева Ирина Глебовна, Пирютко Ольга Николаевна, издательство Народная асвета, Минск, 2022, зелёного цвета, страница 253, номер 10, Решение
Решение 2. №10 (с. 253)

10. Найдите, при каких значениях p уравнение $px + 5 = 3 + x$ имеет положительный корень.

Для решения задачи необходимо найти корень уравнения и определить, при каких значениях параметра $p$ он будет положительным.

1. Преобразуем исходное уравнение. Перенесем все слагаемые с переменной $x$ в левую часть, а свободные члены — в правую:

$px - x = 3 - 5$

Вынесем $x$ за скобки:

$(p - 1)x = -2$

2. Данное уравнение является линейным. Рассмотрим два случая:

  • Если коэффициент при $x$ равен нулю, то есть $p - 1 = 0 \implies p = 1$. Уравнение принимает вид $0 \cdot x = -2$. Это равенство неверно ни при каком значении $x$, следовательно, при $p=1$ уравнение не имеет корней.
  • Если коэффициент при $x$ не равен нулю, то есть $p - 1 \neq 0 \implies p \neq 1$. В этом случае уравнение имеет единственный корень, который можно выразить следующим образом:
    $x = \frac{-2}{p - 1}$

3. По условию задачи, корень $x$ должен быть положительным, то есть $x > 0$. Составим и решим соответствующее неравенство:

$\frac{-2}{p - 1} > 0$

Дробь будет положительной тогда и только тогда, когда ее числитель и знаменатель имеют одинаковые знаки. Поскольку числитель (-2) является отрицательным числом, то и знаменатель $(p - 1)$ также должен быть отрицательным:

$p - 1 < 0$

Решая это простое неравенство, получаем:

$p < 1$

Таким образом, для того чтобы уравнение имело положительный корень, должно выполняться условие $p < 1$.

Ответ: уравнение имеет положительный корень при $p \in (-\infty; 1)$.

Помогло решение? Оставьте отзыв в комментариях ниже.

Присоединяйтесь к Телеграм-группе @gdz_by_belarus

Присоединиться

Мы подготовили для вас ответ c подробным объяснением домашего задания по алгебре за 7 класс, для упражнения номер 10 расположенного на странице 253 к учебнику 2022 года издания для учащихся школ и гимназий.

Теперь на нашем сайте ГДЗ.ТОП вы всегда легко и бесплатно найдёте условие с правильным ответом на вопрос «Как решить ДЗ» и «Как сделать» задание по алгебре к упражнению №10 (с. 253), авторов: Арефьева (Ирина Глебовна), Пирютко (Ольга Николаевна), учебного пособия издательства Народная асвета.