Номер 2.155, страница 131 - гдз по алгебре 8 класс учебник Арефьева, Пирютко

Алгебра, 8 класс Учебник, авторы: Арефьева Ирина Глебовна, Пирютко Ольга Николаевна, издательство Адукацыя i выхаванне, Минск, 2024, бирюзового цвета

Авторы: Арефьева И. Г., Пирютко О. Н.

Тип: Учебник

Издательство: Адукацыя i выхаванне

Год издания: 2024 - 2025

Цвет обложки: бирюзовый с графиком

ISBN: ISBN 978-985-03-4081-8

Допущено Министерством образования Республики Беларусь

Популярные ГДЗ в 8 классе

Глава 2. Квадратные уравнения. Параграф 10. Квадратный трехчлен. Разложение квадратного трехчлена на множители - номер 2.155, страница 131.

№2.155 (с. 131)
Условие. №2.155 (с. 131)
скриншот условия
Алгебра, 8 класс Учебник, авторы: Арефьева Ирина Глебовна, Пирютко Ольга Николаевна, издательство Адукацыя i выхаванне, Минск, 2024, бирюзового цвета, страница 131, номер 2.155, Условие

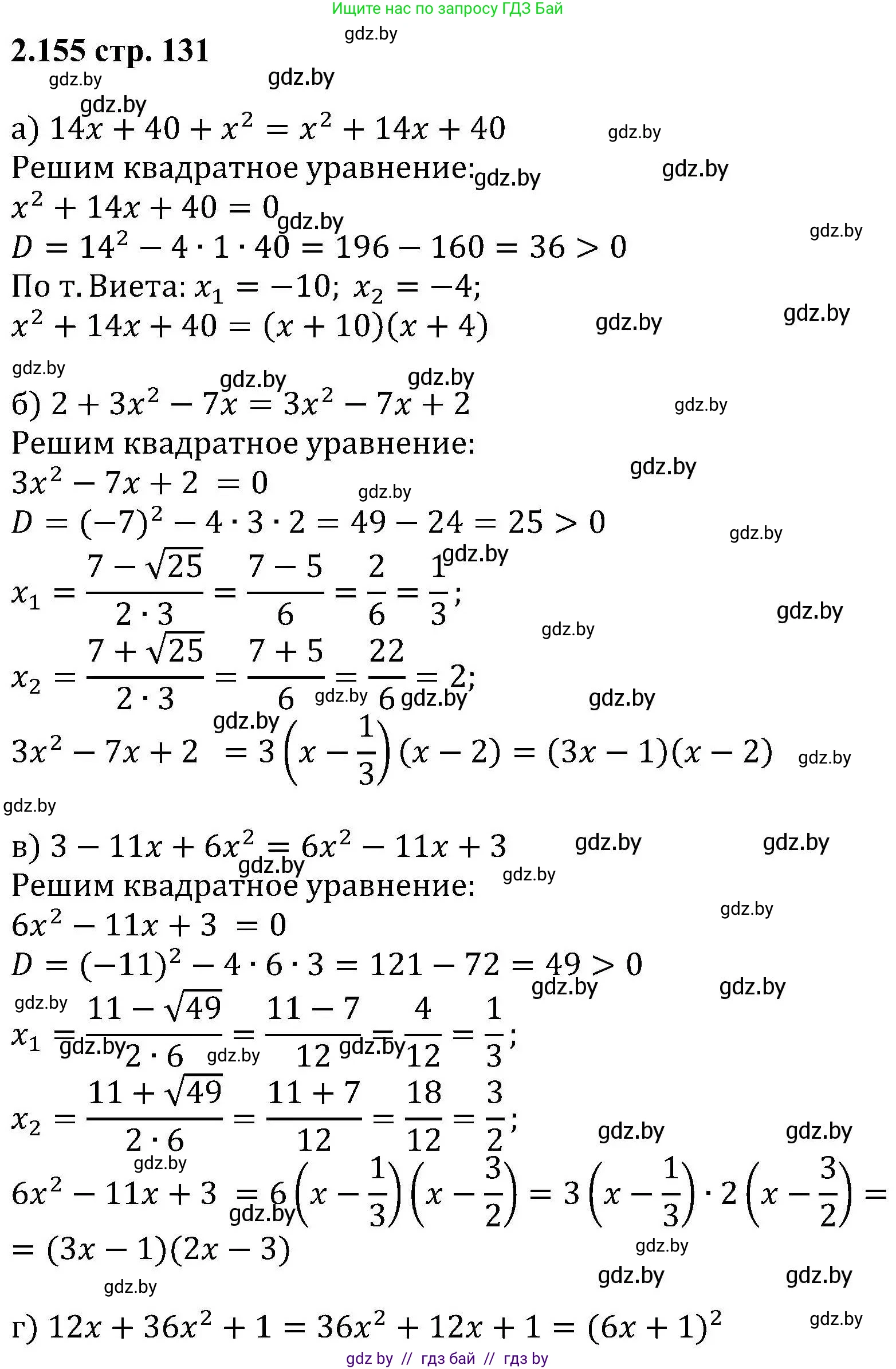
2.155. Представьте в виде произведения:

а) $14x + 40 + x^2;$

б) $2 + 3x^2 - 7x;$

в) $3 - 11x + 6x^2;$

г) $12x + 36x^2 + 1.$

Решение. №2.155 (с. 131)
Алгебра, 8 класс Учебник, авторы: Арефьева Ирина Глебовна, Пирютко Ольга Николаевна, издательство Адукацыя i выхаванне, Минск, 2024, бирюзового цвета, страница 131, номер 2.155, Решение
Решение 2. №2.155 (с. 131)

Для того чтобы представить квадратный трехчлен $ax^2 + bx + c$ в виде произведения, необходимо найти корни соответствующего квадратного уравнения $ax^2 + bx + c = 0$. Если $x_1$ и $x_2$ являются корнями этого уравнения, то трехчлен можно разложить на множители по формуле: $a(x - x_1)(x - x_2)$.

а) $14x + 40 + x^2$
Сначала запишем трехчлен в стандартном виде: $x^2 + 14x + 40$.
Теперь решим квадратное уравнение $x^2 + 14x + 40 = 0$ для нахождения его корней. Коэффициенты уравнения: $a=1, b=14, c=40$.
Найдем дискриминант по формуле $D = b^2 - 4ac$:
$D = 14^2 - 4 \cdot 1 \cdot 40 = 196 - 160 = 36$.
Так как $D > 0$, уравнение имеет два различных корня. Найдем их:
$x_1 = \frac{-b + \sqrt{D}}{2a} = \frac{-14 + \sqrt{36}}{2 \cdot 1} = \frac{-14 + 6}{2} = \frac{-8}{2} = -4$.
$x_2 = \frac{-b - \sqrt{D}}{2a} = \frac{-14 - \sqrt{36}}{2 \cdot 1} = \frac{-14 - 6}{2} = \frac{-20}{2} = -10$.
Теперь подставим найденные корни в формулу разложения $a(x - x_1)(x - x_2)$:
$1 \cdot (x - (-4))(x - (-10)) = (x + 4)(x + 10)$.
Ответ: $(x + 4)(x + 10)$.

б) $2 + 3x^2 - 7x$
Запишем трехчлен в стандартном виде: $3x^2 - 7x + 2$.
Решим уравнение $3x^2 - 7x + 2 = 0$.
Коэффициенты: $a=3, b=-7, c=2$.
Дискриминант: $D = (-7)^2 - 4 \cdot 3 \cdot 2 = 49 - 24 = 25$.
Корни уравнения:
$x_1 = \frac{-b + \sqrt{D}}{2a} = \frac{7 + \sqrt{25}}{2 \cdot 3} = \frac{7 + 5}{6} = \frac{12}{6} = 2$.
$x_2 = \frac{-b - \sqrt{D}}{2a} = \frac{7 - \sqrt{25}}{2 \cdot 3} = \frac{7 - 5}{6} = \frac{2}{6} = \frac{1}{3}$.
Подставим корни в формулу разложения: $3(x - 2)(x - \frac{1}{3})$.
Чтобы избавиться от дроби, внесем множитель 3 во вторую скобку:
$(x - 2) \cdot 3(x - \frac{1}{3}) = (x - 2)(3x - 1)$.
Ответ: $(x - 2)(3x - 1)$.

в) $3 - 11x + 6x^2$
Запишем трехчлен в стандартном виде: $6x^2 - 11x + 3$.
Решим уравнение $6x^2 - 11x + 3 = 0$.
Коэффициенты: $a=6, b=-11, c=3$.
Дискриминант: $D = (-11)^2 - 4 \cdot 6 \cdot 3 = 121 - 72 = 49$.
Корни уравнения:
$x_1 = \frac{-b + \sqrt{D}}{2a} = \frac{11 + \sqrt{49}}{2 \cdot 6} = \frac{11 + 7}{12} = \frac{18}{12} = \frac{3}{2}$.
Корень $x_1$ является неправильной дробью. Выделим из нее целую часть: $\frac{3}{2} = \mathbf{1}\frac{1}{2}$.
$x_2 = \frac{-b - \sqrt{D}}{2a} = \frac{11 - \sqrt{49}}{2 \cdot 6} = \frac{11 - 7}{12} = \frac{4}{12} = \frac{1}{3}$.
Подставим корни в формулу разложения: $6(x - \frac{3}{2})(x - \frac{1}{3})$.
Чтобы получить целые коэффициенты в скобках, представим множитель 6 как $2 \cdot 3$ и внесем каждый из них в соответствующую скобку:
$2(x - \frac{3}{2}) \cdot 3(x - \frac{1}{3}) = (2x - 3)(3x - 1)$.
Ответ: $(2x - 3)(3x - 1)$.

г) $12x + 36x^2 + 1$
Запишем трехчлен в стандартном виде: $36x^2 + 12x + 1$.
Данное выражение является полным квадратом, так как соответствует формуле квадрата суммы $(a+b)^2 = a^2+2ab+b^2$.
В нашем случае $a^2 = 36x^2 \Rightarrow a=6x$, и $b^2 = 1 \Rightarrow b=1$.
Проверим средний член: $2ab = 2 \cdot 6x \cdot 1 = 12x$, что совпадает с членом в нашем выражении.
Следовательно, $36x^2 + 12x + 1 = (6x + 1)^2$.
Также можно найти корни через дискриминант уравнения $36x^2 + 12x + 1 = 0$:
$D = 12^2 - 4 \cdot 36 \cdot 1 = 144 - 144 = 0$.
Так как $D=0$, уравнение имеет один корень (или два совпадающих):
$x = \frac{-12}{2 \cdot 36} = \frac{-12}{72} = -\frac{1}{6}$.
Подставив в формулу разложения, получим: $36(x - (-\frac{1}{6}))^2 = 36(x + \frac{1}{6})^2 = (6(x+\frac{1}{6}))^2 = (6x+1)^2$.
Ответ: $(6x + 1)^2$.

Помогло решение? Оставьте отзыв в комментариях ниже.

Присоединяйтесь к Телеграм-группе @gdz_by_belarus

Присоединиться

Мы подготовили для вас ответ c подробным объяснением домашего задания по алгебре за 8 класс, для упражнения номер 2.155 расположенного на странице 131 к учебнику 2024 года издания для учащихся школ и гимназий.

Теперь на нашем сайте ГДЗ.ТОП вы всегда легко и бесплатно найдёте условие с правильным ответом на вопрос «Как решить ДЗ» и «Как сделать» задание по алгебре к упражнению №2.155 (с. 131), авторов: Арефьева (Ирина Глебовна), Пирютко (Ольга Николаевна), учебного пособия издательства Адукацыя i выхаванне.