Номер 2.79, страница 115 - гдз по алгебре 8 класс учебник Арефьева, Пирютко

Алгебра, 8 класс Учебник, авторы: Арефьева Ирина Глебовна, Пирютко Ольга Николаевна, издательство Адукацыя i выхаванне, Минск, 2024, бирюзового цвета

Авторы: Арефьева И. Г., Пирютко О. Н.

Тип: Учебник

Издательство: Адукацыя i выхаванне

Год издания: 2024 - 2025

Цвет обложки: бирюзовый с графиком

ISBN: ISBN 978-985-03-4081-8

Допущено Министерством образования Республики Беларусь

Популярные ГДЗ в 8 классе

Глава 2. Квадратные уравнения. Параграф 8. Формулы корней квадратного уравнения - номер 2.79, страница 115.

№2.79 (с. 115)
Условие. №2.79 (с. 115)
скриншот условия
Алгебра, 8 класс Учебник, авторы: Арефьева Ирина Глебовна, Пирютко Ольга Николаевна, издательство Адукацыя i выхаванне, Минск, 2024, бирюзового цвета, страница 115, номер 2.79, Условие

2.79. Решите уравнение:

а) $x^2 + \sqrt{3}x - 1 = 0;$

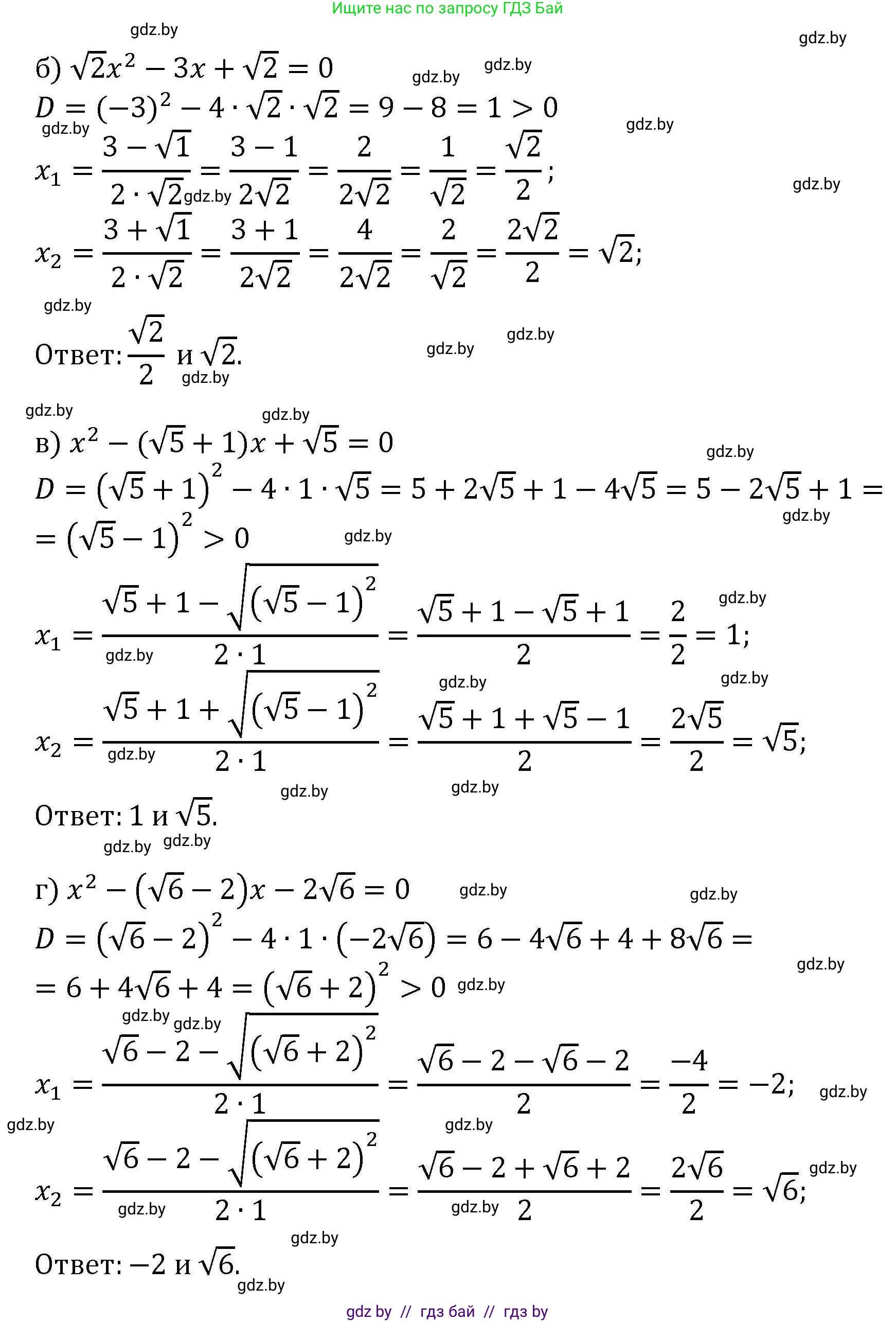
б) $\sqrt{2}x^2 - 3x + \sqrt{2} = 0;$

в) $x^2 - (\sqrt{5} + 1)x + \sqrt{5} = 0;$

г) $x^2 + (\sqrt{6} - 2)x - 2\sqrt{6} = 0.$

Решение. №2.79 (с. 115)
Алгебра, 8 класс Учебник, авторы: Арефьева Ирина Глебовна, Пирютко Ольга Николаевна, издательство Адукацыя i выхаванне, Минск, 2024, бирюзового цвета, страница 115, номер 2.79, Решение Алгебра, 8 класс Учебник, авторы: Арефьева Ирина Глебовна, Пирютко Ольга Николаевна, издательство Адукацыя i выхаванне, Минск, 2024, бирюзового цвета, страница 115, номер 2.79, Решение (продолжение 2)
Решение 2. №2.79 (с. 115)

а) $x^2 + \sqrt{3}x - 1 = 0$

Это квадратное уравнение вида $ax^2 + bx + c = 0$, где $a=1, b=\sqrt{3}, c=-1$.
Найдем дискриминант по формуле $D = b^2 - 4ac$:
$D = (\sqrt{3})^2 - 4 \cdot 1 \cdot (-1) = 3 + 4 = 7$.
Так как $D > 0$, уравнение имеет два действительных корня.
Найдем корни по формуле $x = \frac{-b \pm \sqrt{D}}{2a}$:
$x_{1,2} = \frac{-\sqrt{3} \pm \sqrt{7}}{2 \cdot 1} = \frac{-\sqrt{3} \pm \sqrt{7}}{2}$.

Ответ: $x_1 = \frac{-\sqrt{3} + \sqrt{7}}{2}, x_2 = \frac{-\sqrt{3} - \sqrt{7}}{2}$.

б) $\sqrt{2}x^2 - 3x + \sqrt{2} = 0$

Это квадратное уравнение вида $ax^2 + bx + c = 0$, где $a=\sqrt{2}, b=-3, c=\sqrt{2}$.
Найдем дискриминант по формуле $D = b^2 - 4ac$:
$D = (-3)^2 - 4 \cdot \sqrt{2} \cdot \sqrt{2} = 9 - 4 \cdot 2 = 9 - 8 = 1$.
Так как $D > 0$, уравнение имеет два действительных корня.
Найдем корни по формуле $x = \frac{-b \pm \sqrt{D}}{2a}$:
$x = \frac{-(-3) \pm \sqrt{1}}{2\sqrt{2}} = \frac{3 \pm 1}{2\sqrt{2}}$.
$x_1 = \frac{3 + 1}{2\sqrt{2}} = \frac{4}{2\sqrt{2}} = \frac{2}{\sqrt{2}} = \frac{2\sqrt{2}}{2} = \sqrt{2}$.
$x_2 = \frac{3 - 1}{2\sqrt{2}} = \frac{2}{2\sqrt{2}} = \frac{1}{\sqrt{2}} = \frac{\sqrt{2}}{2}$.

Ответ: $x_1 = \sqrt{2}, x_2 = \frac{\sqrt{2}}{2}$.

в) $x^2 - (\sqrt{5} + 1)x + \sqrt{5} = 0$

Это квадратное уравнение вида $ax^2 + bx + c = 0$, где $a=1, b=-(\sqrt{5}+1), c=\sqrt{5}$.
Найдем дискриминант по формуле $D = b^2 - 4ac$:
$D = (-(\sqrt{5} + 1))^2 - 4 \cdot 1 \cdot \sqrt{5} = (\sqrt{5} + 1)^2 - 4\sqrt{5} = (5 + 2\sqrt{5} + 1) - 4\sqrt{5} = 6 - 2\sqrt{5}$.
Преобразуем выражение под корнем в полный квадрат: $6 - 2\sqrt{5} = 5 - 2\sqrt{5} + 1 = (\sqrt{5})^2 - 2\cdot\sqrt{5}\cdot1 + 1^2 = (\sqrt{5}-1)^2$.
Тогда $\sqrt{D} = \sqrt{(\sqrt{5}-1)^2} = \sqrt{5}-1$.
Найдем корни по формуле $x = \frac{-b \pm \sqrt{D}}{2a}$:
$x = \frac{\sqrt{5} + 1 \pm (\sqrt{5} - 1)}{2 \cdot 1}$.
$x_1 = \frac{\sqrt{5} + 1 + \sqrt{5} - 1}{2} = \frac{2\sqrt{5}}{2} = \sqrt{5}$.
$x_2 = \frac{\sqrt{5} + 1 - (\sqrt{5} - 1)}{2} = \frac{\sqrt{5} + 1 - \sqrt{5} + 1}{2} = \frac{2}{2} = 1$.

Ответ: $x_1 = \sqrt{5}, x_2 = 1$.

г) $x^2 + (\sqrt{6} - 2)x - 2\sqrt{6} = 0$

Это квадратное уравнение вида $ax^2 + bx + c = 0$, где $a=1, b=\sqrt{6}-2, c=-2\sqrt{6}$.
Найдем дискриминант по формуле $D = b^2 - 4ac$:
$D = (\sqrt{6} - 2)^2 - 4 \cdot 1 \cdot (-2\sqrt{6}) = (6 - 4\sqrt{6} + 4) + 8\sqrt{6} = 10 + 4\sqrt{6}$.
Преобразуем выражение под корнем в полный квадрат: $10 + 4\sqrt{6} = 6 + 4\sqrt{6} + 4 = (\sqrt{6})^2 + 2\cdot\sqrt{6}\cdot2 + 2^2 = (\sqrt{6}+2)^2$.
Тогда $\sqrt{D} = \sqrt{(\sqrt{6}+2)^2} = \sqrt{6}+2$.
Найдем корни по формуле $x = \frac{-b \pm \sqrt{D}}{2a}$:
$x = \frac{-(\sqrt{6}-2) \pm (\sqrt{6}+2)}{2 \cdot 1} = \frac{2 - \sqrt{6} \pm (\sqrt{6}+2)}{2}$.
$x_1 = \frac{2 - \sqrt{6} + \sqrt{6} + 2}{2} = \frac{4}{2} = 2$.
$x_2 = \frac{2 - \sqrt{6} - (\sqrt{6} + 2)}{2} = \frac{2 - \sqrt{6} - \sqrt{6} - 2}{2} = \frac{-2\sqrt{6}}{2} = -\sqrt{6}$.

Ответ: $x_1 = 2, x_2 = -\sqrt{6}$.

Помогло решение? Оставьте отзыв в комментариях ниже.

Присоединяйтесь к Телеграм-группе @gdz_by_belarus

Присоединиться

Мы подготовили для вас ответ c подробным объяснением домашего задания по алгебре за 8 класс, для упражнения номер 2.79 расположенного на странице 115 к учебнику 2024 года издания для учащихся школ и гимназий.

Теперь на нашем сайте ГДЗ.ТОП вы всегда легко и бесплатно найдёте условие с правильным ответом на вопрос «Как решить ДЗ» и «Как сделать» задание по алгебре к упражнению №2.79 (с. 115), авторов: Арефьева (Ирина Глебовна), Пирютко (Ольга Николаевна), учебного пособия издательства Адукацыя i выхаванне.