Номер 2.8, страница 102 - гдз по алгебре 8 класс учебник Арефьева, Пирютко

Алгебра, 8 класс Учебник, авторы: Арефьева Ирина Глебовна, Пирютко Ольга Николаевна, издательство Адукацыя i выхаванне, Минск, 2024, бирюзового цвета

Авторы: Арефьева И. Г., Пирютко О. Н.

Тип: Учебник

Издательство: Адукацыя i выхаванне

Год издания: 2024 - 2025

Цвет обложки: бирюзовый с графиком

ISBN: ISBN 978-985-03-4081-8

Допущено Министерством образования Республики Беларусь

Популярные ГДЗ в 8 классе

Глава 2. Квадратные уравнения. Параграф 7. Квадратные уравнения. Решение неполных квадратных уравнений - номер 2.8, страница 102.

№2.8 (с. 102)
Условие. №2.8 (с. 102)
скриншот условия
Алгебра, 8 класс Учебник, авторы: Арефьева Ирина Глебовна, Пирютко Ольга Николаевна, издательство Адукацыя i выхаванне, Минск, 2024, бирюзового цвета, страница 102, номер 2.8, Условие

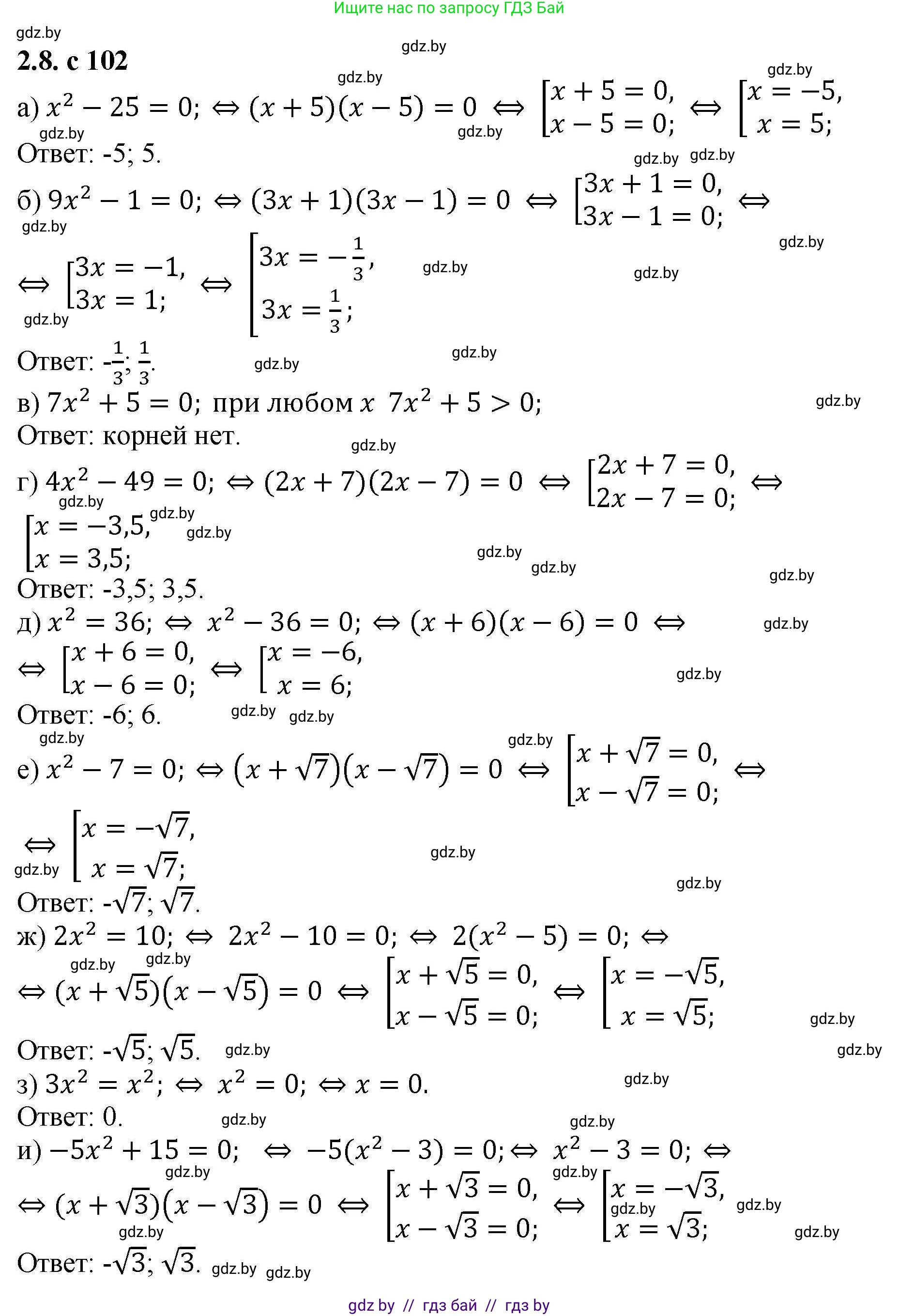
2.8. Решите уравнение:

а) $x^2 - 25 = 0;$

б) $9x^2 - 1 = 0;$

в) $7x^2 + 5 = 0;$

г) $4x^2 - 49 = 0;$

д) $x^2 = 36;$

е) $x^2 - 7 = 0;$

ж) $2x^2 = 10;$

з) $3x^2 = x^2;$

и) $-5x^2 + 15 = 0.$

Решение. №2.8 (с. 102)
Алгебра, 8 класс Учебник, авторы: Арефьева Ирина Глебовна, Пирютко Ольга Николаевна, издательство Адукацыя i выхаванне, Минск, 2024, бирюзового цвета, страница 102, номер 2.8, Решение
Решение 2. №2.8 (с. 102)

а) Решим неполное квадратное уравнение $x^2 - 25 = 0$.
Перенесем свободный член в правую часть уравнения:
$x^2 = 25$
Извлечем квадратный корень из обеих частей уравнения, чтобы найти значения $x$:
$x = \pm\sqrt{25}$
Уравнение имеет два корня:
$x_1 = 5$
$x_2 = -5$
Ответ: $x_1 = 5, x_2 = -5$.

б) Решим уравнение $9x^2 - 1 = 0$.
Перенесем свободный член в правую часть:
$9x^2 = 1$
Разделим обе части на коэффициент 9:
$x^2 = \frac{1}{9}$
Извлечем квадратный корень:
$x = \pm\sqrt{\frac{1}{9}}$
Получаем два корня:
$x_1 = \frac{1}{3}$
$x_2 = -\frac{1}{3}$
Ответ: $x_1 = \frac{1}{3}, x_2 = -\frac{1}{3}$.

в) Решим уравнение $7x^2 + 5 = 0$.
Перенесем свободный член в правую часть:
$7x^2 = -5$
Разделим обе части на 7:
$x^2 = -\frac{5}{7}$
Квадрат любого действительного числа ($x^2$) не может быть отрицательным. Так как в правой части уравнения стоит отрицательное число, данное уравнение не имеет решений в области действительных чисел.
Ответ: нет действительных корней.

г) Решим уравнение $4x^2 - 49 = 0$.
Перенесем свободный член в правую часть:
$4x^2 = 49$
Разделим обе части на 4:
$x^2 = \frac{49}{4}$
Извлечем квадратный корень:
$x = \pm\sqrt{\frac{49}{4}}$
Получаем два корня в виде неправильных дробей: $x_1 = \frac{7}{2}$ и $x_2 = -\frac{7}{2}$.
Преобразуем неправильные дроби в смешанные числа, выделяя целую часть:
$x_1 = 3\frac{1}{2}$
$x_2 = -3\frac{1}{2}$
Ответ: $x_1 = \mathbf{3}\frac{1}{2}, x_2 = -\mathbf{3}\frac{1}{2}$.

д) Решим уравнение $x^2 = 36$.
Уравнение уже находится в нужной форме. Извлечем квадратный корень из обеих частей:
$x = \pm\sqrt{36}$
Получаем два корня:
$x_1 = 6$
$x_2 = -6$
Ответ: $x_1 = 6, x_2 = -6$.

е) Решим уравнение $x^2 - 7 = 0$.
Перенесем свободный член в правую часть:
$x^2 = 7$
Извлечем квадратный корень:
$x = \pm\sqrt{7}$
Так как 7 не является точным квадратом, корни являются иррациональными числами.
Ответ: $x_1 = \sqrt{7}, x_2 = -\sqrt{7}$.

ж) Решим уравнение $2x^2 = 10$.
Разделим обе части на 2:
$x^2 = \frac{10}{2}$
$x^2 = 5$
Извлечем квадратный корень:
$x = \pm\sqrt{5}$
Ответ: $x_1 = \sqrt{5}, x_2 = -\sqrt{5}$.

з) Решим уравнение $3x^2 = x^2$.
Перенесем все члены в левую часть:
$3x^2 - x^2 = 0$
Упростим выражение:
$2x^2 = 0$
Разделим на 2:
$x^2 = 0$
Уравнение имеет один корень:
$x = 0$
Ответ: $x = 0$.

и) Решим уравнение $-5x^2 + 15 = 0$.
Перенесем член с $x^2$ в правую часть (или свободный член, результат будет тот же):
$15 = 5x^2$
Разделим обе части на 5:
$x^2 = \frac{15}{5}$
$x^2 = 3$
Извлечем квадратный корень:
$x = \pm\sqrt{3}$
Ответ: $x_1 = \sqrt{3}, x_2 = -\sqrt{3}$.

Помогло решение? Оставьте отзыв в комментариях ниже.

Присоединяйтесь к Телеграм-группе @gdz_by_belarus

Присоединиться

Мы подготовили для вас ответ c подробным объяснением домашего задания по алгебре за 8 класс, для упражнения номер 2.8 расположенного на странице 102 к учебнику 2024 года издания для учащихся школ и гимназий.

Теперь на нашем сайте ГДЗ.ТОП вы всегда легко и бесплатно найдёте условие с правильным ответом на вопрос «Как решить ДЗ» и «Как сделать» задание по алгебре к упражнению №2.8 (с. 102), авторов: Арефьева (Ирина Глебовна), Пирютко (Ольга Николаевна), учебного пособия издательства Адукацыя i выхаванне.