Номер 2.9, страница 103 - гдз по алгебре 8 класс учебник Арефьева, Пирютко

Алгебра, 8 класс Учебник, авторы: Арефьева Ирина Глебовна, Пирютко Ольга Николаевна, издательство Адукацыя i выхаванне, Минск, 2024, бирюзового цвета

Авторы: Арефьева И. Г., Пирютко О. Н.

Тип: Учебник

Издательство: Адукацыя i выхаванне

Год издания: 2024 - 2025

Цвет обложки: бирюзовый с графиком

ISBN: ISBN 978-985-03-4081-8

Допущено Министерством образования Республики Беларусь

Популярные ГДЗ в 8 классе

Глава 2. Квадратные уравнения. Параграф 7. Квадратные уравнения. Решение неполных квадратных уравнений - номер 2.9, страница 103.

№2.9 (с. 103)
Условие. №2.9 (с. 103)
скриншот условия
Алгебра, 8 класс Учебник, авторы: Арефьева Ирина Глебовна, Пирютко Ольга Николаевна, издательство Адукацыя i выхаванне, Минск, 2024, бирюзового цвета, страница 103, номер 2.9, Условие

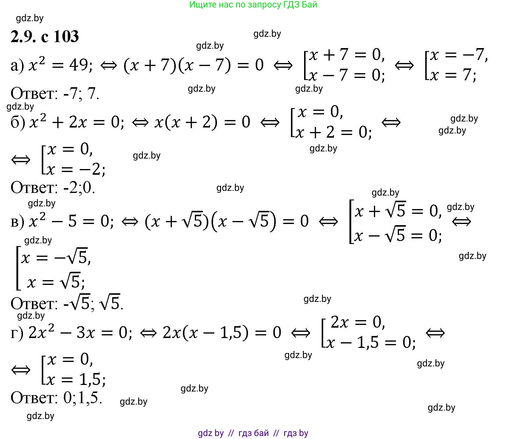
2.9. Составьте квадратное уравнение, корнями которого являются числа:

а) -7 и 7;

б) -2 и 0;

в) $-\sqrt{5}$ и $\sqrt{5}$;

г) 0 и 1,5.

Решение. №2.9 (с. 103)
Алгебра, 8 класс Учебник, авторы: Арефьева Ирина Глебовна, Пирютко Ольга Николаевна, издательство Адукацыя i выхаванне, Минск, 2024, бирюзового цвета, страница 103, номер 2.9, Решение
Решение 2. №2.9 (с. 103)

Для составления квадратного уравнения по его известным корням $x_1$ и $x_2$ удобно использовать теорему, обратную теореме Виета. Она утверждает, что числа $x_1$ и $x_2$ являются корнями приведенного квадратного уравнения вида $x^2 + px + q = 0$, где коэффициенты $p$ и $q$ удовлетворяют соотношениям:

$p = -(x_1 + x_2)$

$q = x_1 \cdot x_2$

Таким образом, искомое уравнение можно записать в виде:

$x^2 - (x_1 + x_2)x + x_1x_2 = 0$

Применим эту формулу для каждого из заданных случаев.


а) -7 и 7;

Даны корни $x_1 = -7$ и $x_2 = 7$.

Найдем их сумму и произведение:

  • Сумма корней: $x_1 + x_2 = -7 + 7 = 0$
  • Произведение корней: $x_1 \cdot x_2 = (-7) \cdot 7 = -49$

Подставим эти значения в общую формулу уравнения:

$x^2 - (0)x + (-49) = 0$

После упрощения получаем искомое квадратное уравнение:

$x^2 - 49 = 0$

Ответ: $x^2 - 49 = 0$


б) -2 и 0;

Даны корни $x_1 = -2$ и $x_2 = 0$.

Найдем их сумму и произведение:

  • Сумма корней: $x_1 + x_2 = -2 + 0 = -2$
  • Произведение корней: $x_1 \cdot x_2 = (-2) \cdot 0 = 0$

Подставим эти значения в формулу:

$x^2 - (-2)x + 0 = 0$

После упрощения получаем:

$x^2 + 2x = 0$

Ответ: $x^2 + 2x = 0$


в) $-\sqrt{5}$ и $\sqrt{5}$;

Даны корни $x_1 = -\sqrt{5}$ и $x_2 = \sqrt{5}$.

Найдем их сумму и произведение:

  • Сумма корней: $x_1 + x_2 = -\sqrt{5} + \sqrt{5} = 0$
  • Произведение корней: $x_1 \cdot x_2 = (-\sqrt{5}) \cdot (\sqrt{5}) = -(\sqrt{5})^2 = -5$

Подставим эти значения в формулу:

$x^2 - (0)x + (-5) = 0$

После упрощения получаем:

$x^2 - 5 = 0$

Ответ: $x^2 - 5 = 0$


г) 0 и 1,5.

Даны корни $x_1 = 0$ и $x_2 = 1,5$.

Сначала представим десятичную дробь $1,5$ в виде обыкновенной. Это неправильная дробь, из которой, согласно требованию, выделим целую часть:

$x_2 = 1,5 = \frac{15}{10} = \frac{3}{2} = \mathbf{1}\frac{1}{2}$

Теперь найдем сумму и произведение корней, используя дробное представление $x_2 = \frac{3}{2}$:

  • Сумма корней: $x_1 + x_2 = 0 + \frac{3}{2} = \frac{3}{2}$
  • Произведение корней: $x_1 \cdot x_2 = 0 \cdot \frac{3}{2} = 0$

Подставим эти значения в формулу:

$x^2 - (\frac{3}{2})x + 0 = 0$

$x^2 - \frac{3}{2}x = 0$

Хотя полученное уравнение является правильным, в математике принято приводить уравнения к виду с целыми коэффициентами. Для этого умножим обе части уравнения на 2:

$2 \cdot (x^2 - \frac{3}{2}x) = 2 \cdot 0$

$2x^2 - 3x = 0$

Ответ: $2x^2 - 3x = 0$

Помогло решение? Оставьте отзыв в комментариях ниже.

Присоединяйтесь к Телеграм-группе @gdz_by_belarus

Присоединиться

Мы подготовили для вас ответ c подробным объяснением домашего задания по алгебре за 8 класс, для упражнения номер 2.9 расположенного на странице 103 к учебнику 2024 года издания для учащихся школ и гимназий.

Теперь на нашем сайте ГДЗ.ТОП вы всегда легко и бесплатно найдёте условие с правильным ответом на вопрос «Как решить ДЗ» и «Как сделать» задание по алгебре к упражнению №2.9 (с. 103), авторов: Арефьева (Ирина Глебовна), Пирютко (Ольга Николаевна), учебного пособия издательства Адукацыя i выхаванне.