Номер 2.96, страница 121 - гдз по алгебре 8 класс учебник Арефьева, Пирютко

Алгебра, 8 класс Учебник, авторы: Арефьева Ирина Глебовна, Пирютко Ольга Николаевна, издательство Адукацыя i выхаванне, Минск, 2024, бирюзового цвета

Авторы: Арефьева И. Г., Пирютко О. Н.

Тип: Учебник

Издательство: Адукацыя i выхаванне

Год издания: 2024 - 2025

Цвет обложки: бирюзовый с графиком

ISBN: ISBN 978-985-03-4081-8

Допущено Министерством образования Республики Беларусь

Популярные ГДЗ в 8 классе

Глава 2. Квадратные уравнения. Параграф 9. Теорема Виета - номер 2.96, страница 121.

№2.96 (с. 121)
Условие. №2.96 (с. 121)
скриншот условия
Алгебра, 8 класс Учебник, авторы: Арефьева Ирина Глебовна, Пирютко Ольга Николаевна, издательство Адукацыя i выхаванне, Минск, 2024, бирюзового цвета, страница 121, номер 2.96, Условие

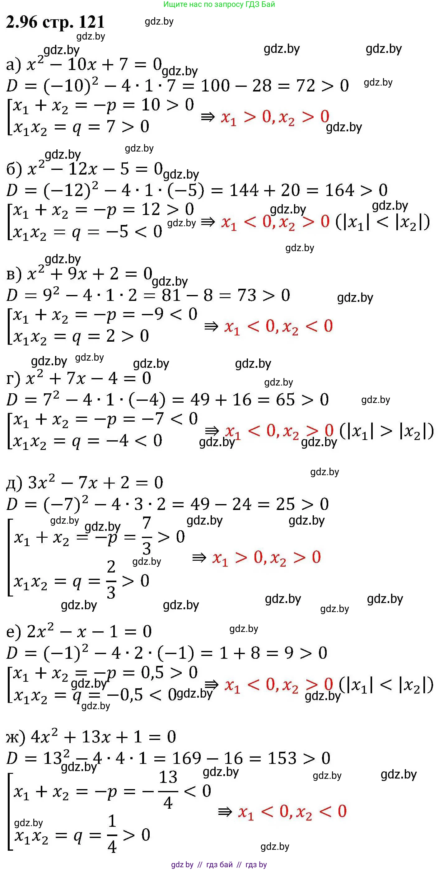
2.96. Убедитесь, что уравнение имеет корни и, не решая уравнение, определите знаки его корней:

а) $x^2 - 10x + 7 = 0$;

б) $x^2 - 12x - 5 = 0$;

в) $x^2 + 9x + 2 = 0$;

г) $x^2 + 7x - 4 = 0$;

д) $3x^2 - 7x + 2 = 0$;

е) $2x^2 - x - 1 = 0$;

ж) $4x^2 + 13x + 1 = 0$;

з) $-5x^2 - 9x + 2 = 0.$

Решение. №2.96 (с. 121)
Алгебра, 8 класс Учебник, авторы: Арефьева Ирина Глебовна, Пирютко Ольга Николаевна, издательство Адукацыя i выхаванне, Минск, 2024, бирюзового цвета, страница 121, номер 2.96, Решение Алгебра, 8 класс Учебник, авторы: Арефьева Ирина Глебовна, Пирютко Ольга Николаевна, издательство Адукацыя i выхаванне, Минск, 2024, бирюзового цвета, страница 121, номер 2.96, Решение (продолжение 2)
Решение 2. №2.96 (с. 121)

Для того чтобы убедиться, что уравнение имеет корни, и определить их знаки, не решая само уравнение, мы будем использовать следующий подход для каждого квадратного уравнения вида $ax^2 + bx + c = 0$:

  1. Проверка наличия действительных корней. Мы вычислим дискриминант $D = b^2 - 4ac$. Если $D \ge 0$, уравнение имеет действительные корни. В частности, если $D > 0$, корней два, и они различны. Если коэффициенты $a$ и $c$ имеют разные знаки (т.е. $ac < 0$), то $D$ всегда будет больше нуля, и уравнение гарантированно имеет два различных действительных корня.
  2. Определение знаков корней. Мы воспользуемся теоремой Виета. Для корней $x_1$ и $x_2$:

    • Произведение корней равно $x_1 \cdot x_2 = \frac{c}{a}$.
    • Сумма корней равна $x_1 + x_2 = -\frac{b}{a}$.
    Анализируя знаки произведения и суммы, можно сделать вывод о знаках корней:
    • Если произведение $x_1 \cdot x_2 > 0$, то оба корня имеют одинаковый знак. Чтобы определить, какой именно, смотрим на их сумму. Если $x_1 + x_2 > 0$, то оба корня положительны. Если $x_1 + x_2 < 0$, то оба корня отрицательны.
    • Если произведение $x_1 \cdot x_2 < 0$, то корни имеют разные знаки (один положительный, а другой отрицательный).

а) $x^2 - 10x + 7 = 0$

1. Проверяем наличие корней. Коэффициенты: $a=1, b=-10, c=7$.
Дискриминант $D = b^2 - 4ac = (-10)^2 - 4 \cdot 1 \cdot 7 = 100 - 28 = 72$.
Поскольку $D > 0$, уравнение имеет два различных действительных корня.

2. Определяем знаки корней по теореме Виета.
Произведение корней: $x_1 \cdot x_2 = \frac{c}{a} = \frac{7}{1} = 7$.
Сумма корней: $x_1 + x_2 = -\frac{b}{a} = -\frac{-10}{1} = 10$.
Так как произведение корней положительно ($7 > 0$), они имеют одинаковый знак. Так как их сумма положительна ($10 > 0$), оба корня положительные.

Ответ: оба корня положительные.

б) $x^2 - 12x - 5 = 0$

1. Проверяем наличие корней. Коэффициенты: $a=1, b=-12, c=-5$.
Произведение коэффициентов $a \cdot c = 1 \cdot (-5) = -5 < 0$, следовательно, дискриминант $D$ точно будет положительным, и уравнение имеет два различных действительных корня.

2. Определяем знаки корней.
Произведение корней: $x_1 \cdot x_2 = \frac{c}{a} = \frac{-5}{1} = -5$.
Поскольку произведение корней отрицательно ($-5 < 0$), корни имеют разные знаки.

Ответ: один корень положительный, другой отрицательный.

в) $x^2 + 9x + 2 = 0$

1. Проверяем наличие корней. Коэффициенты: $a=1, b=9, c=2$.
Дискриминант $D = b^2 - 4ac = 9^2 - 4 \cdot 1 \cdot 2 = 81 - 8 = 73$.
Поскольку $D > 0$, уравнение имеет два различных действительных корня.

2. Определяем знаки корней.
Произведение корней: $x_1 \cdot x_2 = \frac{c}{a} = \frac{2}{1} = 2$.
Сумма корней: $x_1 + x_2 = -\frac{b}{a} = -\frac{9}{1} = -9$.
Так как произведение корней положительно ($2 > 0$), они имеют одинаковый знак. Так как их сумма отрицательна ($-9 < 0$), оба корня отрицательные.

Ответ: оба корня отрицательные.

г) $x^2 + 7x - 4 = 0$

1. Проверяем наличие корней. Коэффициенты: $a=1, b=7, c=-4$.
Произведение $a \cdot c = 1 \cdot (-4) = -4 < 0$, значит, уравнение имеет два различных действительных корня.

2. Определяем знаки корней.
Произведение корней: $x_1 \cdot x_2 = \frac{c}{a} = \frac{-4}{1} = -4$.
Поскольку произведение корней отрицательно ($-4 < 0$), корни имеют разные знаки.

Ответ: один корень положительный, другой отрицательный.

д) $3x^2 - 7x + 2 = 0$

1. Проверяем наличие корней. Коэффициенты: $a=3, b=-7, c=2$.
Дискриминант $D = b^2 - 4ac = (-7)^2 - 4 \cdot 3 \cdot 2 = 49 - 24 = 25$.
Поскольку $D > 0$, уравнение имеет два различных действительных корня.

2. Определяем знаки корней.
Произведение корней: $x_1 \cdot x_2 = \frac{c}{a} = \frac{2}{3}$.
Сумма корней: $x_1 + x_2 = -\frac{b}{a} = -\frac{-7}{3} = \frac{7}{3} = 2\frac{1}{3}$.
Так как произведение корней положительно ($\frac{2}{3} > 0$), они имеют одинаковый знак. Так как их сумма положительна ($2\frac{1}{3} > 0$), оба корня положительные.

Ответ: оба корня положительные.

е) $2x^2 - x - 1 = 0$

1. Проверяем наличие корней. Коэффициенты: $a=2, b=-1, c=-1$.
Произведение $a \cdot c = 2 \cdot (-1) = -2 < 0$, значит, уравнение имеет два различных действительных корня.

2. Определяем знаки корней.
Произведение корней: $x_1 \cdot x_2 = \frac{c}{a} = \frac{-1}{2}$.
Поскольку произведение корней отрицательно ($-\frac{1}{2} < 0$), корни имеют разные знаки.

Ответ: один корень положительный, другой отрицательный.

ж) $4x^2 + 13x + 1 = 0$

1. Проверяем наличие корней. Коэффициенты: $a=4, b=13, c=1$.
Дискриминант $D = b^2 - 4ac = 13^2 - 4 \cdot 4 \cdot 1 = 169 - 16 = 153$.
Поскольку $D > 0$, уравнение имеет два различных действительных корня.

2. Определяем знаки корней.
Произведение корней: $x_1 \cdot x_2 = \frac{c}{a} = \frac{1}{4}$.
Сумма корней: $x_1 + x_2 = -\frac{b}{a} = -\frac{13}{4} = -3\frac{1}{4}$.
Так как произведение корней положительно ($\frac{1}{4} > 0$), они имеют одинаковый знак. Так как их сумма отрицательна ($-3\frac{1}{4} < 0$), оба корня отрицательные.

Ответ: оба корня отрицательные.

з) $-5x^2 - 9x + 2 = 0$

1. Проверяем наличие корней. Коэффициенты: $a=-5, b=-9, c=2$.
Произведение $a \cdot c = -5 \cdot 2 = -10 < 0$, значит, уравнение имеет два различных действительных корня.

2. Определяем знаки корней.
Произведение корней: $x_1 \cdot x_2 = \frac{c}{a} = \frac{2}{-5} = -\frac{2}{5}$.
Поскольку произведение корней отрицательно ($-\frac{2}{5} < 0$), корни имеют разные знаки.

Ответ: один корень положительный, другой отрицательный.

Помогло решение? Оставьте отзыв в комментариях ниже.

Присоединяйтесь к Телеграм-группе @gdz_by_belarus

Присоединиться

Мы подготовили для вас ответ c подробным объяснением домашего задания по алгебре за 8 класс, для упражнения номер 2.96 расположенного на странице 121 к учебнику 2024 года издания для учащихся школ и гимназий.

Теперь на нашем сайте ГДЗ.ТОП вы всегда легко и бесплатно найдёте условие с правильным ответом на вопрос «Как решить ДЗ» и «Как сделать» задание по алгебре к упражнению №2.96 (с. 121), авторов: Арефьева (Ирина Глебовна), Пирютко (Ольга Николаевна), учебного пособия издательства Адукацыя i выхаванне.