Номер 3.176, страница 200 - гдз по алгебре 8 класс учебник Арефьева, Пирютко

Алгебра, 8 класс Учебник, авторы: Арефьева Ирина Глебовна, Пирютко Ольга Николаевна, издательство Адукацыя i выхаванне, Минск, 2024, бирюзового цвета

Авторы: Арефьева И. Г., Пирютко О. Н.

Тип: Учебник

Издательство: Адукацыя i выхаванне

Год издания: 2024 - 2025

Цвет обложки: бирюзовый с графиком

ISBN: ISBN 978-985-03-4081-8

Допущено Министерством образования Республики Беларусь

Популярные ГДЗ в 8 классе

Глава 3. Квадратичная функция. Параграф 15. Квадратные неравенства - номер 3.176, страница 200.

№3.176 (с. 200)
Условие. №3.176 (с. 200)
скриншот условия
Алгебра, 8 класс Учебник, авторы: Арефьева Ирина Глебовна, Пирютко Ольга Николаевна, издательство Адукацыя i выхаванне, Минск, 2024, бирюзового цвета, страница 200, номер 3.176, Условие

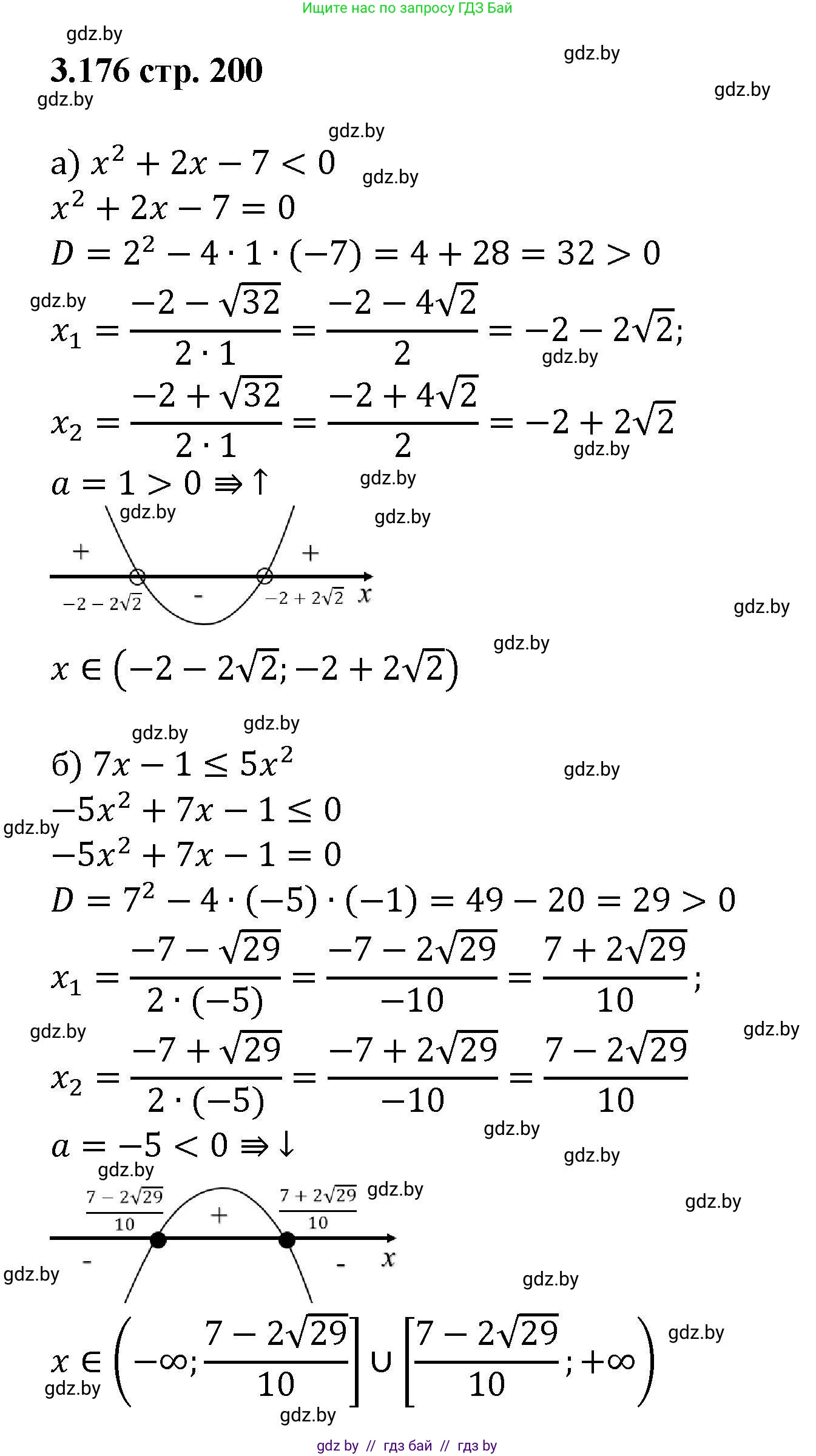
3.176. Решите неравенство:

а) $x^2 + 2x - 7 < 0;$

б) $7x - 1 \le 5x^2.$

Решение. №3.176 (с. 200)
Алгебра, 8 класс Учебник, авторы: Арефьева Ирина Глебовна, Пирютко Ольга Николаевна, издательство Адукацыя i выхаванне, Минск, 2024, бирюзового цвета, страница 200, номер 3.176, Решение
Решение 2. №3.176 (с. 200)

а) Рассмотрим неравенство $x^2 + 2x - 7 < 0$.
Чтобы решить его, сначала найдем корни соответствующего квадратного уравнения: $x^2 + 2x - 7 = 0$.

Вычислим дискриминант по формуле $D = b^2 - 4ac$:
$D = 2^2 - 4 \cdot 1 \cdot (-7) = 4 + 28 = 32$.

Так как $D > 0$, уравнение имеет два действительных корня. Найдем их по формуле $x_{1,2} = \frac{-b \pm \sqrt{D}}{2a}$:
$x_{1,2} = \frac{-2 \pm \sqrt{32}}{2 \cdot 1} = \frac{-2 \pm \sqrt{16 \cdot 2}}{2} = \frac{-2 \pm 4\sqrt{2}}{2} = -1 \pm 2\sqrt{2}$.
Корни уравнения: $x_1 = -1 - 2\sqrt{2}$ и $x_2 = -1 + 2\sqrt{2}$.

Графиком функции $y = x^2 + 2x - 7$ является парабола, ветви которой направлены вверх (так как коэффициент при $x^2$ положителен). Неравенство $y < 0$ выполняется на интервале между корнями.

Ответ: $x \in (-1 - 2\sqrt{2}; -1 + 2\sqrt{2})$.

б) Рассмотрим неравенство $7x - 1 \le 5x^2$.
Перенесем все члены в правую часть, чтобы привести неравенство к стандартному виду:
$0 \le 5x^2 - 7x + 1$, или $5x^2 - 7x + 1 \ge 0$.

Теперь найдем корни соответствующего квадратного уравнения $5x^2 - 7x + 1 = 0$.
Вычислим дискриминант:
$D = b^2 - 4ac = (-7)^2 - 4 \cdot 5 \cdot 1 = 49 - 20 = 29$.

Находим корни уравнения:
$x_{1,2} = \frac{-(-7) \pm \sqrt{29}}{2 \cdot 5} = \frac{7 \pm \sqrt{29}}{10}$.
Корни уравнения: $x_1 = \frac{7 - \sqrt{29}}{10}$ и $x_2 = \frac{7 + \sqrt{29}}{10}$.

Графиком функции $y = 5x^2 - 7x + 1$ является парабола с ветвями вверх (коэффициент при $x^2$ положителен). Неравенство $y \ge 0$ выполняется, когда парабола находится на оси Ox или выше нее. Это происходит для всех $x$, которые меньше или равны меньшему корню, и для всех $x$, которые больше или равны большему корню.

Ответ: $x \in (-\infty; \frac{7 - \sqrt{29}}{10}] \cup [\frac{7 + \sqrt{29}}{10}; +\infty)$.

Помогло решение? Оставьте отзыв в комментариях ниже.

Присоединяйтесь к Телеграм-группе @gdz_by_belarus

Присоединиться

Мы подготовили для вас ответ c подробным объяснением домашего задания по алгебре за 8 класс, для упражнения номер 3.176 расположенного на странице 200 к учебнику 2024 года издания для учащихся школ и гимназий.

Теперь на нашем сайте ГДЗ.ТОП вы всегда легко и бесплатно найдёте условие с правильным ответом на вопрос «Как решить ДЗ» и «Как сделать» задание по алгебре к упражнению №3.176 (с. 200), авторов: Арефьева (Ирина Глебовна), Пирютко (Ольга Николаевна), учебного пособия издательства Адукацыя i выхаванне.