Номер 3.187, страница 201 - гдз по алгебре 8 класс учебник Арефьева, Пирютко

Алгебра, 8 класс Учебник, авторы: Арефьева Ирина Глебовна, Пирютко Ольга Николаевна, издательство Адукацыя i выхаванне, Минск, 2024, бирюзового цвета

Авторы: Арефьева И. Г., Пирютко О. Н.

Тип: Учебник

Издательство: Адукацыя i выхаванне

Год издания: 2024 - 2025

Цвет обложки: бирюзовый с графиком

ISBN: ISBN 978-985-03-4081-8

Допущено Министерством образования Республики Беларусь

Популярные ГДЗ в 8 классе

Глава 3. Квадратичная функция. Параграф 15. Квадратные неравенства - номер 3.187, страница 201.

№3.187 (с. 201)
Условие. №3.187 (с. 201)
скриншот условия
Алгебра, 8 класс Учебник, авторы: Арефьева Ирина Глебовна, Пирютко Ольга Николаевна, издательство Адукацыя i выхаванне, Минск, 2024, бирюзового цвета, страница 201, номер 3.187, Условие

3.187. Решите неравенство:

а) $ \frac{x^2}{2} \le \frac{11x - 4}{5}; $

б) $ \frac{x - 1}{3} + \frac{x^2}{5} \ge \frac{7}{15}; $

в) $ \frac{x^2 - 5}{2} - \frac{x - 8}{5} < 3; $

г) $ \frac{x^2 + 6x}{12} - \frac{2x + 3}{4} > 6. $

Решение. №3.187 (с. 201)
Алгебра, 8 класс Учебник, авторы: Арефьева Ирина Глебовна, Пирютко Ольга Николаевна, издательство Адукацыя i выхаванне, Минск, 2024, бирюзового цвета, страница 201, номер 3.187, Решение Алгебра, 8 класс Учебник, авторы: Арефьева Ирина Глебовна, Пирютко Ольга Николаевна, издательство Адукацыя i выхаванне, Минск, 2024, бирюзового цвета, страница 201, номер 3.187, Решение (продолжение 2)
Решение 2. №3.187 (с. 201)

a) Исходное неравенство: $\frac{x^2}{2} \le \frac{11x - 4}{5}$

Чтобы избавиться от дробей, умножим обе части неравенства на наименьшее общее кратное знаменателей 2 и 5, то есть на 10:

$10 \cdot \frac{x^2}{2} \le 10 \cdot \frac{11x - 4}{5}$

$5x^2 \le 2(11x - 4)$

$5x^2 \le 22x - 8$

Перенесем все члены в левую часть, чтобы получить квадратное неравенство:

$5x^2 - 22x + 8 \le 0$

Для решения найдем корни соответствующего квадратного уравнения $5x^2 - 22x + 8 = 0$ с помощью дискриминанта:

$D = b^2 - 4ac = (-22)^2 - 4 \cdot 5 \cdot 8 = 484 - 160 = 324 = 18^2$

Корни уравнения:

$x_1 = \frac{-b - \sqrt{D}}{2a} = \frac{22 - 18}{10} = \frac{4}{10} = \frac{2}{5}$

$x_2 = \frac{-b + \sqrt{D}}{2a} = \frac{22 + 18}{10} = \frac{40}{10} = 4$

Графиком функции $y = 5x^2 - 22x + 8$ является парабола, ветви которой направлены вверх (так как коэффициент при $x^2$ положителен: $a=5 > 0$). Следовательно, неравенство $5x^2 - 22x + 8 \le 0$ выполняется на отрезке между корнями, включая сами корни.

Ответ: a) $[\frac{2}{5}; 4]$

б) Исходное неравенство: $\frac{x - 1}{3} + \frac{x^2}{5} \ge \frac{7}{15}$

Умножим обе части неравенства на наименьший общий знаменатель, равный 15:

$15 \cdot \frac{x - 1}{3} + 15 \cdot \frac{x^2}{5} \ge 15 \cdot \frac{7}{15}$

$5(x - 1) + 3x^2 \ge 7$

$5x - 5 + 3x^2 \ge 7$

Приведем неравенство к стандартному виду:

$3x^2 + 5x - 12 \ge 0$

Найдем корни уравнения $3x^2 + 5x - 12 = 0$:

$D = 5^2 - 4 \cdot 3 \cdot (-12) = 25 + 144 = 169 = 13^2$

Корни уравнения:

$x_1 = \frac{-5 - 13}{6} = \frac{-18}{6} = -3$

$x_2 = \frac{-5 + 13}{6} = \frac{8}{6} = \frac{4}{3}$

Ветви параболы $y = 3x^2 + 5x - 12$ направлены вверх ($a=3 > 0$). Неравенство $\ge 0$ выполняется, когда $x$ находится за пределами отрезка между корнями, включая концы отрезка.

Представим неправильную дробь $\frac{4}{3}$ в виде смешанного числа: $1\frac{1}{3}$.

Ответ: б) $(-\infty; -3] \cup [\mathbf{1}\frac{1}{3}; +\infty)$

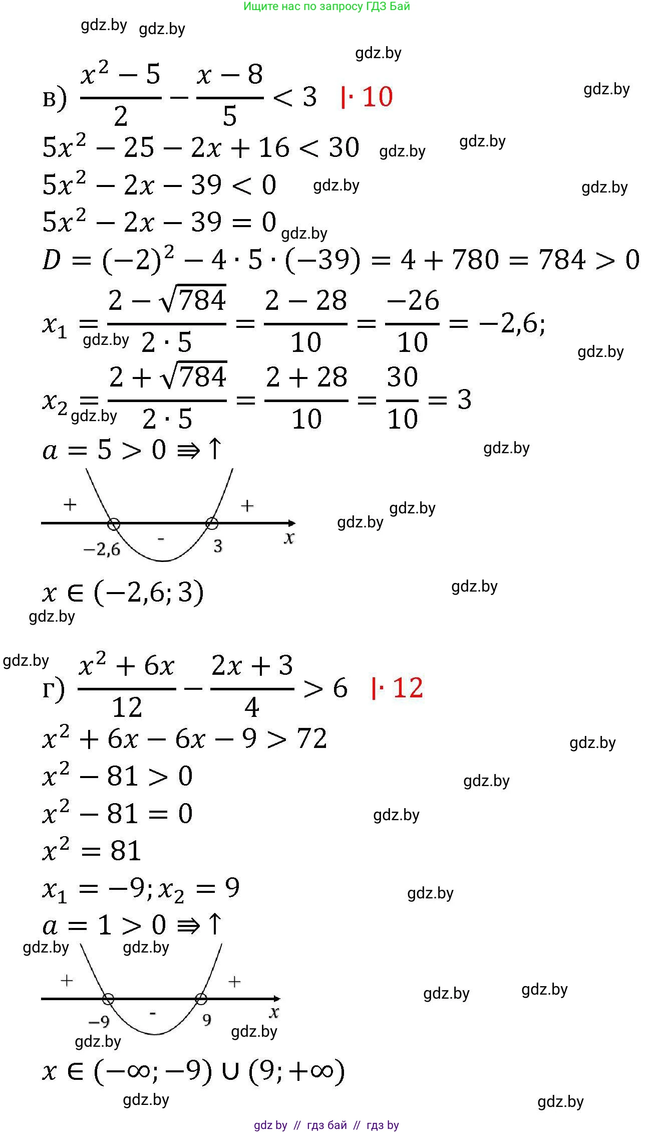
в) Исходное неравенство: $\frac{x^2 - 5}{2} - \frac{x - 8}{5} < 3$

Умножим обе части неравенства на общий знаменатель 10:

$10 \cdot \frac{x^2 - 5}{2} - 10 \cdot \frac{x - 8}{5} < 10 \cdot 3$

$5(x^2 - 5) - 2(x - 8) < 30$

$5x^2 - 25 - 2x + 16 < 30$

$5x^2 - 2x - 9 < 30$

Приведем к стандартному виду:

$5x^2 - 2x - 39 < 0$

Найдем корни уравнения $5x^2 - 2x - 39 = 0$:

$D = (-2)^2 - 4 \cdot 5 \cdot (-39) = 4 + 780 = 784 = 28^2$

Корни уравнения:

$x_1 = \frac{2 - 28}{10} = \frac{-26}{10} = -\frac{13}{5}$

$x_2 = \frac{2 + 28}{10} = \frac{30}{10} = 3$

Ветви параболы $y = 5x^2 - 2x - 39$ направлены вверх ($a=5 > 0$). Неравенство $< 0$ выполняется на интервале между корнями.

Представим неправильную дробь $-\frac{13}{5}$ в виде смешанного числа: $-2\frac{3}{5}$.

Ответ: в) $(-\mathbf{2}\frac{3}{5}; 3)$

г) Исходное неравенство: $\frac{x^2 + 6x}{12} - \frac{2x + 3}{4} > 6$

Умножим обе части на общий знаменатель 12:

$12 \cdot \frac{x^2 + 6x}{12} - 12 \cdot \frac{2x + 3}{4} > 12 \cdot 6$

$(x^2 + 6x) - 3(2x + 3) > 72$

$x^2 + 6x - 6x - 9 > 72$

Упростим выражение:

$x^2 - 9 > 72$

$x^2 - 81 > 0$

Разложим левую часть на множители по формуле разности квадратов: $(x - 9)(x + 9) > 0$.

Корнями уравнения $(x - 9)(x + 9) = 0$ являются $x=-9$ и $x=9$. Так как это парабола с ветвями вверх, неравенство $> 0$ выполняется за пределами интервала между корнями.

Ответ: г) $(-\infty; -9) \cup (9; +\infty)$

Помогло решение? Оставьте отзыв в комментариях ниже.

Присоединяйтесь к Телеграм-группе @gdz_by_belarus

Присоединиться

Мы подготовили для вас ответ c подробным объяснением домашего задания по алгебре за 8 класс, для упражнения номер 3.187 расположенного на странице 201 к учебнику 2024 года издания для учащихся школ и гимназий.

Теперь на нашем сайте ГДЗ.ТОП вы всегда легко и бесплатно найдёте условие с правильным ответом на вопрос «Как решить ДЗ» и «Как сделать» задание по алгебре к упражнению №3.187 (с. 201), авторов: Арефьева (Ирина Глебовна), Пирютко (Ольга Николаевна), учебного пособия издательства Адукацыя i выхаванне.