Номер 14, страница 247 - гдз по алгебре 8 класс учебник Арефьева, Пирютко
Авторы: Арефьева И. Г., Пирютко О. Н.
Тип: Учебник
Издательство: Адукацыя i выхаванне
Год издания: 2024 - 2025
Цвет обложки: бирюзовый с графиком
ISBN: ISBN 978-985-03-4081-8
Допущено Министерством образования Республики Беларусь
Популярные ГДЗ в 8 классе
Повторение курса алгебры 8-го класса. Квадратные уравнения - номер 14, страница 247.
№14 (с. 247)
Условие. №14 (с. 247)
скриншот условия
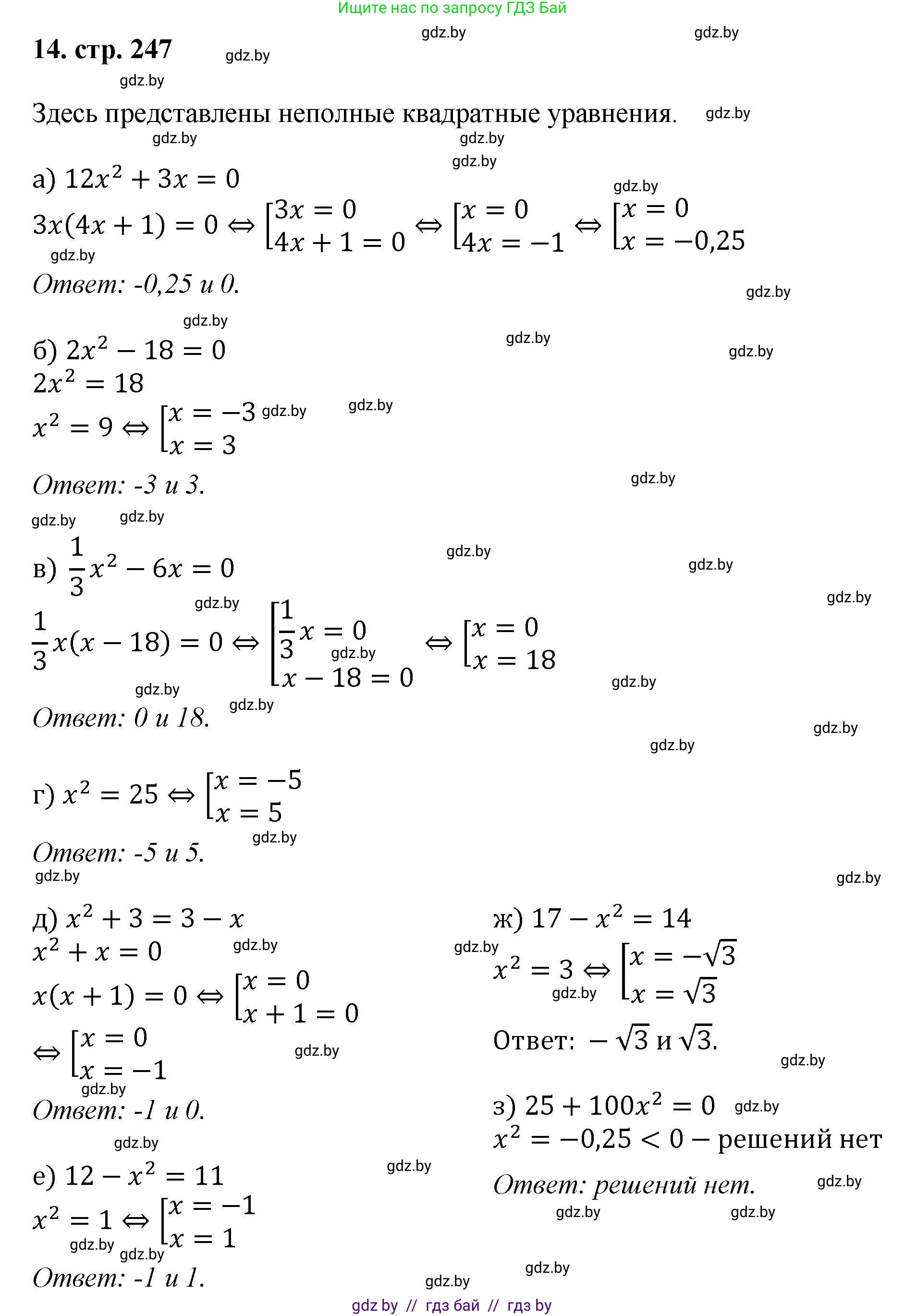
14. Определите вид уравнения и решите его:
a) $12x^2 + 3x = 0;$
б) $2x^2 - 18 = 0;$
в) $\frac{1}{3}x^2 - 6x = 0;$
г) $x^2 = 25;$
д) $x^2 + 3 = 3 - x;$
е) $12 - x^2 = 11;$
ж) $17 - x^2 = 14;$
з) $25 + 100x^2 = 0.$
Решение. №14 (с. 247)
Решение 2. №14 (с. 247)
Все представленные уравнения являются квадратными. Квадратное уравнение — это уравнение вида $ax^2+bx+c=0$, где $x$ — переменная, $a$, $b$, $c$ — некоторые числа, причём $a \neq 0$. Если хотя бы один из коэффициентов $b$ или $c$ равен нулю, то уравнение называется неполным квадратным уравнением.
а) $12x^2+3x=0$Это неполное квадратное уравнение, так как свободный член $c=0$.
Для решения вынесем общий множитель $3x$ за скобки:
$3x(4x + 1) = 0$
Произведение равно нулю, если хотя бы один из множителей равен нулю:
$3x = 0$ или $4x + 1 = 0$
Из первого уравнения находим $x_1$:
$x_1 = 0$
Из второго уравнения находим $x_2$:
$4x = -1$
$x_2 = -\frac{1}{4}$
Ответ: $x_1=0$, $x_2=-\frac{1}{4}$.б) $2x^2-18=0$
Это неполное квадратное уравнение, так как коэффициент при $x$ равен нулю ($b=0$).
Перенесем свободный член в правую часть уравнения:
$2x^2 = 18$
Разделим обе части на 2:
$x^2 = 9$
Извлечем квадратный корень из обеих частей:
$x = \pm\sqrt{9}$
$x_1 = 3$, $x_2 = -3$
Ответ: $x_1=3$, $x_2=-3$.в) $\frac{1}{3}x^2 - 6x = 0$
Это неполное квадратное уравнение ($c=0$).
Вынесем общий множитель $x$ за скобки:
$x(\frac{1}{3}x - 6) = 0$
Приравняем каждый множитель к нулю:
$x_1 = 0$ или $\frac{1}{3}x - 6 = 0$
Решим второе уравнение:
$\frac{1}{3}x = 6$
$x_2 = 6 \cdot 3 = 18$
Ответ: $x_1=0$, $x_2=18$.г) $x^2 = 25$
Это неполное квадратное уравнение, которое можно записать как $x^2 - 25 = 0$ ($b=0$).
Извлечем квадратный корень из обеих частей:
$x = \pm\sqrt{25}$
$x_1 = 5$, $x_2 = -5$
Ответ: $x_1=5$, $x_2=-5$.д) $x^2+3=3-x$
Это уравнение, которое приводится к неполному квадратному уравнению. Перенесем все члены в левую часть:
$x^2 + x + 3 - 3 = 0$
$x^2 + x = 0$
Получили неполное квадратное уравнение ($c=0$). Вынесем $x$ за скобки:
$x(x + 1) = 0$
Приравняем каждый множитель к нулю:
$x_1 = 0$ или $x + 1 = 0$
$x_2 = -1$
Ответ: $x_1=0$, $x_2=-1$.е) $12 - x^2 = 11$
Это уравнение, приводимое к неполному квадратному уравнению ($b=0$).
Перенесем члены с $x$ в одну сторону, а числа в другую:
$12 - 11 = x^2$
$x^2 = 1$
Извлечем квадратный корень:
$x = \pm\sqrt{1}$
$x_1 = 1$, $x_2 = -1$
Ответ: $x_1=1$, $x_2=-1$.ж) $17-x^2=14$
Это уравнение, приводимое к неполному квадратному уравнению ($b=0$).
Изолируем $x^2$:
$17 - 14 = x^2$
$x^2 = 3$
Извлечем квадратный корень:
$x = \pm\sqrt{3}$
Ответ: $x_1=\sqrt{3}$, $x_2=-\sqrt{3}$.з) $25 + 100x^2 = 0$
Это неполное квадратное уравнение ($b=0$).
Изолируем член с $x^2$:
$100x^2 = -25$
$x^2 = -\frac{25}{100}$
$x^2 = -\frac{1}{4}$
Квадрат действительного числа не может быть отрицательным. Следовательно, у уравнения нет действительных корней.
Ответ: нет действительных корней.
Другие задания:
Помогло решение? Оставьте отзыв в комментариях ниже.
Присоединяйтесь к Телеграм-группе @gdz_by_belarus
ПрисоединитьсяМы подготовили для вас ответ c подробным объяснением домашего задания по алгебре за 8 класс, для упражнения номер 14 расположенного на странице 247 к учебнику 2024 года издания для учащихся школ и гимназий.
Теперь на нашем сайте ГДЗ.ТОП вы всегда легко и бесплатно найдёте условие с правильным ответом на вопрос «Как решить ДЗ» и «Как сделать» задание по алгебре к упражнению №14 (с. 247), авторов: Арефьева (Ирина Глебовна), Пирютко (Ольга Николаевна), учебного пособия издательства Адукацыя i выхаванне.