Номер 212, страница 100 - гдз по геометрии 8 класс учебник Казаков, Казакова

Геометрия, 8 класс Учебник, авторы: Казаков Валерий Владимирович, Казакова Ольга Олеговна, издательство Адукацыя i выхаванне, Минск, 2024, оранжевого цвета

Авторы: Казаков В. В., Казакова О. О.

Тип: Учебник

Издательство: Адукацыя i выхаванне

Год издания: 2024 - 2025

Цвет обложки: оранжевый

Допущено Министерством образования Республики Беларусь

Популярные ГДЗ в 8 классе

Глава 2. Площади многоугольников. Параграф 16. Теорема Пифагора - номер 212, страница 100.

№212 (с. 100)
Условие. №212 (с. 100)
скриншот условия
Геометрия, 8 класс Учебник, авторы: Казаков Валерий Владимирович, Казакова Ольга Олеговна, издательство Адукацыя i выхаванне, Минск, 2024, оранжевого цвета, страница 100, номер 212, Условие

212. Найдите площадь треугольника со сторонами:

а) 6 см, 8 см, 10 см;

б) 1,6 дм, 3 дм, 3,4 дм;

в) $\sqrt{2}$ м, $\sqrt{8}$ м, $\sqrt{10}$ м.

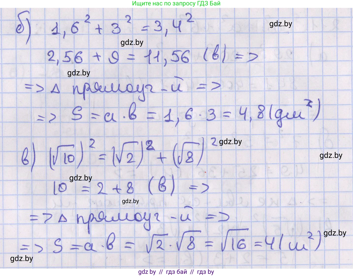
Решение. №212 (с. 100)
Геометрия, 8 класс Учебник, авторы: Казаков Валерий Владимирович, Казакова Ольга Олеговна, издательство Адукацыя i выхаванне, Минск, 2024, оранжевого цвета, страница 100, номер 212, Решение
Решение 2. №212 (с. 100)
Геометрия, 8 класс Учебник, авторы: Казаков Валерий Владимирович, Казакова Ольга Олеговна, издательство Адукацыя i выхаванне, Минск, 2024, оранжевого цвета, страница 100, номер 212, Решение 2 Геометрия, 8 класс Учебник, авторы: Казаков Валерий Владимирович, Казакова Ольга Олеговна, издательство Адукацыя i выхаванне, Минск, 2024, оранжевого цвета, страница 100, номер 212, Решение 2 (продолжение 2)
Решение 3. №212 (с. 100)

Для нахождения площади треугольника, когда известны все три его стороны, можно использовать формулу Герона. Однако, сначала целесообразно проверить, не является ли треугольник прямоугольным, используя теорему, обратную теореме Пифагора. Если для сторон треугольника $a, b, c$ (где $c$ — наибольшая сторона) выполняется равенство $a^2 + b^2 = c^2$, то треугольник является прямоугольным. В этом случае его площадь легко найти как половину произведения катетов: $S = \frac{1}{2}ab$.

а) 6 см, 8 см, 10 см

Пусть стороны треугольника равны $a=6$ см, $b=8$ см и $c=10$ см. Проверим, выполняется ли для них равенство $a^2 + b^2 = c^2$.

Сумма квадратов двух меньших сторон: $6^2 + 8^2 = 36 + 64 = 100$.

Квадрат наибольшей стороны: $10^2 = 100$.

Так как $6^2 + 8^2 = 10^2$, треугольник является прямоугольным. Его катеты равны 6 см и 8 см.

Площадь прямоугольного треугольника вычисляется как половина произведения его катетов:$S = \frac{1}{2} \cdot 6 \cdot 8 = 24$ см2.

Ответ: 24 см2.

б) 1,6 дм, 3 дм, 3,4 дм

Для сторон треугольника $a=1,6$ дм, $b=3$ дм и $c=3,4$ дм проверим выполнение теоремы, обратной теореме Пифагора. Наибольшая сторона $c=3,4$ дм.

Сумма квадратов меньших сторон: $(1,6)^2 + 3^2 = 2,56 + 9 = 11,56$.

Квадрат наибольшей стороны: $(3,4)^2 = 11,56$.

Так как $(1,6)^2 + 3^2 = (3,4)^2$, треугольник является прямоугольным. Его катеты равны 1,6 дм и 3 дм.

Площадь прямоугольного треугольника равна половине произведения его катетов:$S = \frac{1}{2} \cdot 1,6 \cdot 3 = 0,8 \cdot 3 = 2,4$ дм2.

Ответ: 2,4 дм2.

в) $\sqrt{2}$ м, $\sqrt{8}$ м, $\sqrt{10}$ м

Даны стороны треугольника $a=\sqrt{2}$ м, $b=\sqrt{8}$ м, $c=\sqrt{10}$ м. Проверим выполнение теоремы, обратной теореме Пифагора.

Квадраты сторон равны: $a^2 = (\sqrt{2})^2 = 2$; $b^2 = (\sqrt{8})^2 = 8$; $c^2 = (\sqrt{10})^2 = 10$.

Сравним сумму квадратов двух меньших сторон с квадратом наибольшей: $a^2 + b^2 = 2 + 8 = 10$.

Так как $a^2+b^2 = c^2$, треугольник является прямоугольным. Его катеты равны $\sqrt{2}$ м и $\sqrt{8}$ м.

Площадь прямоугольного треугольника равна половине произведения его катетов:$S = \frac{1}{2} \cdot \sqrt{2} \cdot \sqrt{8} = \frac{1}{2} \cdot \sqrt{16} = \frac{1}{2} \cdot 4 = 2$ м2.

Ответ: 2 м2.

Помогло решение? Оставьте отзыв в комментариях ниже.

Присоединяйтесь к Телеграм-группе @gdz_by_belarus

Присоединиться

Мы подготовили для вас ответ c подробным объяснением домашего задания по геометрии за 8 класс, для упражнения номер 212 расположенного на странице 100 к учебнику 2024 года издания для учащихся школ и гимназий.

Теперь на нашем сайте ГДЗ.ТОП вы всегда легко и бесплатно найдёте условие с правильным ответом на вопрос «Как решить ДЗ» и «Как сделать» задание по геометрии к упражнению №212 (с. 100), авторов: Казаков (Валерий Владимирович), Казакова (Ольга Олеговна), учебного пособия издательства Адукацыя i выхаванне.