Номер 213, страница 100 - гдз по геометрии 8 класс учебник Казаков, Казакова

Геометрия, 8 класс Учебник, авторы: Казаков Валерий Владимирович, Казакова Ольга Олеговна, издательство Адукацыя i выхаванне, Минск, 2024, оранжевого цвета

Авторы: Казаков В. В., Казакова О. О.

Тип: Учебник

Издательство: Адукацыя i выхаванне

Год издания: 2024 - 2025

Цвет обложки: оранжевый

Допущено Министерством образования Республики Беларусь

Популярные ГДЗ в 8 классе

Глава 2. Площади многоугольников. Параграф 16. Теорема Пифагора - номер 213, страница 100.

№213 (с. 100)
Условие. №213 (с. 100)
скриншот условия
Геометрия, 8 класс Учебник, авторы: Казаков Валерий Владимирович, Казакова Ольга Олеговна, издательство Адукацыя i выхаванне, Минск, 2024, оранжевого цвета, страница 100, номер 213, Условие

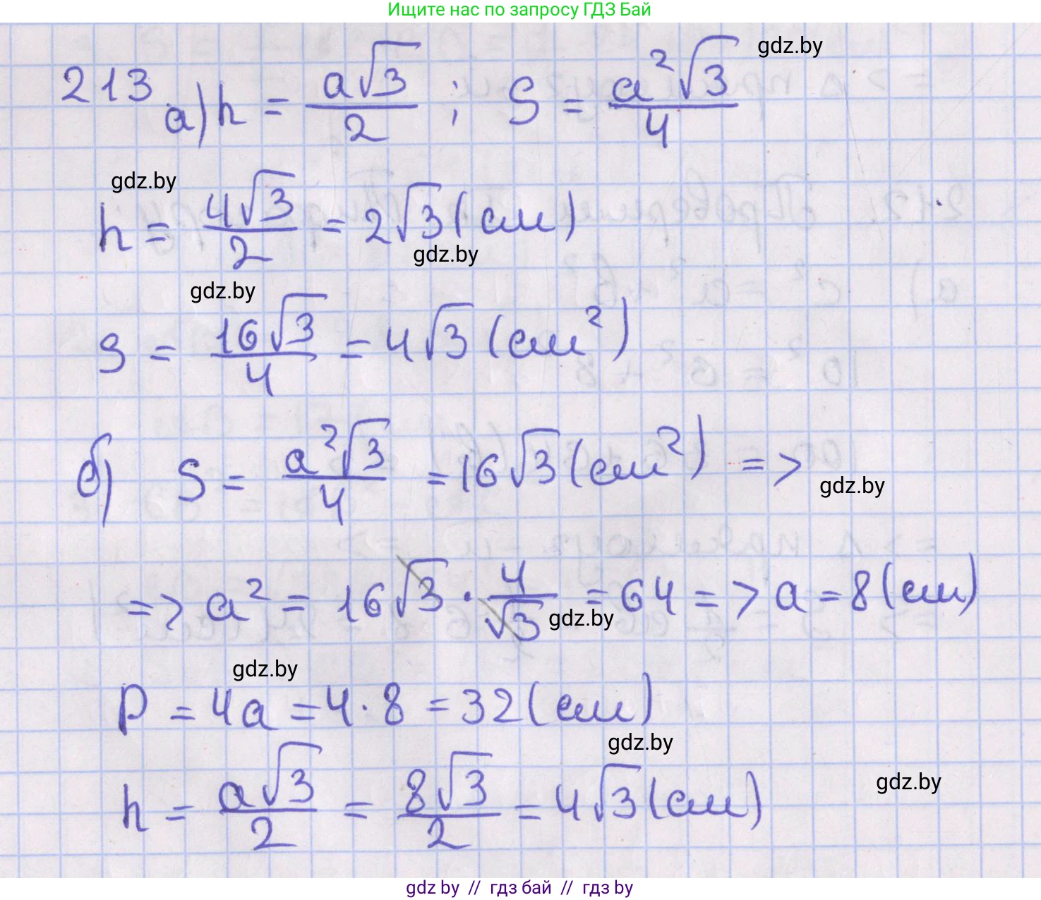
213. Дан равносторонний треугольник. Найдите:

a) высоту и площадь треугольника, если его сторона равна 4 см;

б) периметр и высоту треугольника, если его площадь равна $16\sqrt{3}$ см2.

Решение. №213 (с. 100)
Геометрия, 8 класс Учебник, авторы: Казаков Валерий Владимирович, Казакова Ольга Олеговна, издательство Адукацыя i выхаванне, Минск, 2024, оранжевого цвета, страница 100, номер 213, Решение
Решение 2. №213 (с. 100)
Геометрия, 8 класс Учебник, авторы: Казаков Валерий Владимирович, Казакова Ольга Олеговна, издательство Адукацыя i выхаванне, Минск, 2024, оранжевого цвета, страница 100, номер 213, Решение 2
Решение 3. №213 (с. 100)

Для решения задачи используем формулы для равностороннего треугольника со стороной $a$, высотой $h$, периметром $P$ и площадью $S$.

  • Высота: $h = \frac{a\sqrt{3}}{2}$
  • Площадь: $S = \frac{a^2\sqrt{3}}{4}$
  • Периметр: $P = 3a$

а) найти высоту и площадь треугольника, если его сторона равна 4 см;

Дано, что сторона равностороннего треугольника $a = 4$ см. Необходимо найти его высоту $h$ и площадь $S$.

1. Найдем высоту по формуле:

$h = \frac{a\sqrt{3}}{2} = \frac{4\sqrt{3}}{2} = 2\sqrt{3}$ см.

2. Найдем площадь по формуле:

$S = \frac{a^2\sqrt{3}}{4} = \frac{4^2\sqrt{3}}{4} = \frac{16\sqrt{3}}{4} = 4\sqrt{3}$ см2.

Ответ: высота равна $2\sqrt{3}$ см, площадь равна $4\sqrt{3}$ см2.

б) найти периметр и высоту треугольника, если его площадь равна 16√3 см2.

Дано, что площадь равностороннего треугольника $S = 16\sqrt{3}$ см2. Необходимо найти его периметр $P$ и высоту $h$.

1. Сначала найдем сторону треугольника $a$ из формулы площади:

$S = \frac{a^2\sqrt{3}}{4}$

$16\sqrt{3} = \frac{a^2\sqrt{3}}{4}$

Разделим обе части уравнения на $\sqrt{3}$:

$16 = \frac{a^2}{4}$

Отсюда находим $a^2$:

$a^2 = 16 \cdot 4 = 64$

$a = \sqrt{64} = 8$ см (поскольку длина стороны является положительной величиной).

2. Теперь найдем периметр треугольника:

$P = 3a = 3 \cdot 8 = 24$ см.

3. Наконец, найдем высоту:

$h = \frac{a\sqrt{3}}{2} = \frac{8\sqrt{3}}{2} = 4\sqrt{3}$ см.

Ответ: периметр равен 24 см, высота равна $4\sqrt{3}$ см.

Помогло решение? Оставьте отзыв в комментариях ниже.

Присоединяйтесь к Телеграм-группе @gdz_by_belarus

Присоединиться

Мы подготовили для вас ответ c подробным объяснением домашего задания по геометрии за 8 класс, для упражнения номер 213 расположенного на странице 100 к учебнику 2024 года издания для учащихся школ и гимназий.

Теперь на нашем сайте ГДЗ.ТОП вы всегда легко и бесплатно найдёте условие с правильным ответом на вопрос «Как решить ДЗ» и «Как сделать» задание по геометрии к упражнению №213 (с. 100), авторов: Казаков (Валерий Владимирович), Казакова (Ольга Олеговна), учебного пособия издательства Адукацыя i выхаванне.