Номер 1, страница 117 - гдз по геометрии 8 класс учебник Казаков, Казакова

Геометрия, 8 класс Учебник, авторы: Казаков Валерий Владимирович, Казакова Ольга Олеговна, издательство Адукацыя i выхаванне, Минск, 2024, оранжевого цвета

Авторы: Казаков В. В., Казакова О. О.

Тип: Учебник

Издательство: Адукацыя i выхаванне

Год издания: 2024 - 2025

Цвет обложки: оранжевый

Допущено Министерством образования Республики Беларусь

Популярные ГДЗ в 8 классе

Глава 2. Площади многоугольников. Подготовка к контрольной работе 2 - номер 1, страница 117.

№1 (с. 117)
Условие. №1 (с. 117)
скриншот условия
Геометрия, 8 класс Учебник, авторы: Казаков Валерий Владимирович, Казакова Ольга Олеговна, издательство Адукацыя i выхаванне, Минск, 2024, оранжевого цвета, страница 117, номер 1, Условие

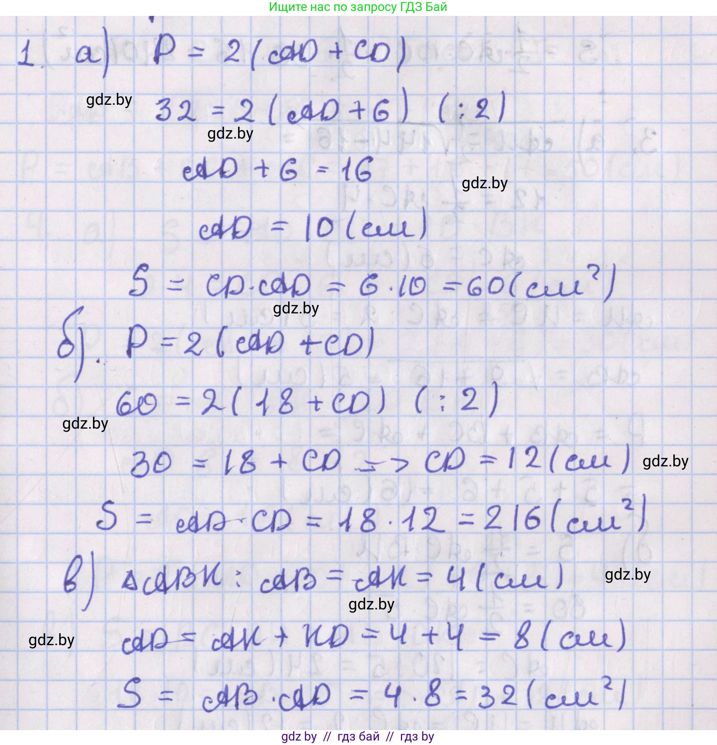
1. Найдите площадь прямоугольника $ABCD$.

а) $P = 32$

$CD = 6$

б) $P = 60$

$AD = 18$

в) $CD = 4$

$\angle CBK = 45^\circ$

$AK = KD$

Решение. №1 (с. 117)
Геометрия, 8 класс Учебник, авторы: Казаков Валерий Владимирович, Казакова Ольга Олеговна, издательство Адукацыя i выхаванне, Минск, 2024, оранжевого цвета, страница 117, номер 1, Решение Геометрия, 8 класс Учебник, авторы: Казаков Валерий Владимирович, Казакова Ольга Олеговна, издательство Адукацыя i выхаванне, Минск, 2024, оранжевого цвета, страница 117, номер 1, Решение (продолжение 2)
Решение 2. №1 (с. 117)
Геометрия, 8 класс Учебник, авторы: Казаков Валерий Владимирович, Казакова Ольга Олеговна, издательство Адукацыя i выхаванне, Минск, 2024, оранжевого цвета, страница 117, номер 1, Решение 2
Решение 3. №1 (с. 117)

а)

Площадь прямоугольника $S$ вычисляется по формуле $S = a \times b$, где $a$ и $b$ – длины его смежных сторон. В прямоугольнике $ABCD$ противоположные стороны равны, поэтому $AB = CD$ и $BC = AD$.
По условию задачи, периметр прямоугольника $P = 32$, а длина одной из сторон $CD = 6$. Так как $AB = CD$, то $AB = 6$.
Периметр прямоугольника вычисляется по формуле $P = 2 \times (a+b)$. Подставим известные значения:
$32 = 2 \times (6 + AD)$
Разделим обе части уравнения на 2:
$16 = 6 + AD$
Отсюда находим длину стороны $AD$:
$AD = 16 - 6 = 10$.
Теперь, зная длины обеих смежных сторон ($AB = 6$ и $AD = 10$), можем вычислить площадь прямоугольника:
$S_{ABCD} = AB \times AD = 6 \times 10 = 60$.

Ответ: 60

б)

По условию, периметр прямоугольника $P = 60$, а длина одной из сторон $AD = 18$. В прямоугольнике $ABCD$ противоположные стороны равны, значит $BC = AD = 18$.
Воспользуемся формулой периметра $P = 2 \times (AB + AD)$:
$60 = 2 \times (AB + 18)$
Разделим обе части уравнения на 2:
$30 = AB + 18$
Найдем длину стороны $AB$:
$AB = 30 - 18 = 12$.
Теперь вычислим площадь прямоугольника, зная обе смежные стороны ($AB=12$ и $AD=18$):
$S_{ABCD} = AB \times AD = 12 \times 18 = 216$.

Ответ: 216

в)

Из условия нам известна длина стороны $CD = 4$. В прямоугольнике $ABCD$ противоположные стороны равны, следовательно, $AB = CD = 4$.
Рассмотрим треугольник $\triangle ABK$. Так как $ABCD$ – прямоугольник, угол $\angle A$ является прямым, то есть $\angle A = 90^\circ$. По условию, угол $\angle ABK = 45^\circ$.
Сумма углов в любом треугольнике равна $180^\circ$. Найдем третий угол треугольника $\triangle ABK$:
$\angle AKB = 180^\circ - \angle A - \angle ABK = 180^\circ - 90^\circ - 45^\circ = 45^\circ$.
Поскольку в треугольнике $\triangle ABK$ два угла равны ($\angle ABK = \angle AKB = 45^\circ$), он является равнобедренным. Стороны, лежащие напротив равных углов, равны, значит $AK = AB$.
Так как $AB = 4$, то и $AK = 4$.
На чертеже отрезки $AK$ и $KD$ помечены одинаковыми штрихами, что означает их равенство: $AK = KD$. Следовательно, $KD = 4$.
Длина стороны $AD$ равна сумме длин отрезков $AK$ и $KD$:
$AD = AK + KD = 4 + 4 = 8$.
Теперь мы знаем длины обеих смежных сторон прямоугольника: $AB = 4$ и $AD = 8$. Вычислим его площадь:
$S_{ABCD} = AB \times AD = 4 \times 8 = 32$.

Ответ: 32

Помогло решение? Оставьте отзыв в комментариях ниже.

Присоединяйтесь к Телеграм-группе @gdz_by_belarus

Присоединиться

Мы подготовили для вас ответ c подробным объяснением домашего задания по геометрии за 8 класс, для упражнения номер 1 расположенного на странице 117 к учебнику 2024 года издания для учащихся школ и гимназий.

Теперь на нашем сайте ГДЗ.ТОП вы всегда легко и бесплатно найдёте условие с правильным ответом на вопрос «Как решить ДЗ» и «Как сделать» задание по геометрии к упражнению №1 (с. 117), авторов: Казаков (Валерий Владимирович), Казакова (Ольга Олеговна), учебного пособия издательства Адукацыя i выхаванне.