Номер 4, страница 117 - гдз по геометрии 8 класс учебник Казаков, Казакова

Геометрия, 8 класс Учебник, авторы: Казаков Валерий Владимирович, Казакова Ольга Олеговна, издательство Адукацыя i выхаванне, Минск, 2024, оранжевого цвета

Авторы: Казаков В. В., Казакова О. О.

Тип: Учебник

Издательство: Адукацыя i выхаванне

Год издания: 2024 - 2025

Цвет обложки: оранжевый

Допущено Министерством образования Республики Беларусь

Популярные ГДЗ в 8 классе

Глава 2. Площади многоугольников. Подготовка к контрольной работе 2 - номер 4, страница 117.

№4 (с. 117)
Условие. №4 (с. 117)
скриншот условия
Геометрия, 8 класс Учебник, авторы: Казаков Валерий Владимирович, Казакова Ольга Олеговна, издательство Адукацыя i выхаванне, Минск, 2024, оранжевого цвета, страница 117, номер 4, Условие

4. Найдите периметр параллелограмма $ABCD$.

а) $A, B, C, D$

$4$

$6$

$9$

б) $A, B, C, D$

$6$

$8$

$12$

в) $A, B, C, D$

$10$

$15$

$18$

Решение. №4 (с. 117)
Геометрия, 8 класс Учебник, авторы: Казаков Валерий Владимирович, Казакова Ольга Олеговна, издательство Адукацыя i выхаванне, Минск, 2024, оранжевого цвета, страница 117, номер 4, Решение Геометрия, 8 класс Учебник, авторы: Казаков Валерий Владимирович, Казакова Ольга Олеговна, издательство Адукацыя i выхаванне, Минск, 2024, оранжевого цвета, страница 117, номер 4, Решение (продолжение 2)
Решение 2. №4 (с. 117)
Геометрия, 8 класс Учебник, авторы: Казаков Валерий Владимирович, Казакова Ольга Олеговна, издательство Адукацыя i выхаванне, Минск, 2024, оранжевого цвета, страница 117, номер 4, Решение 2
Решение 3. №4 (с. 117)

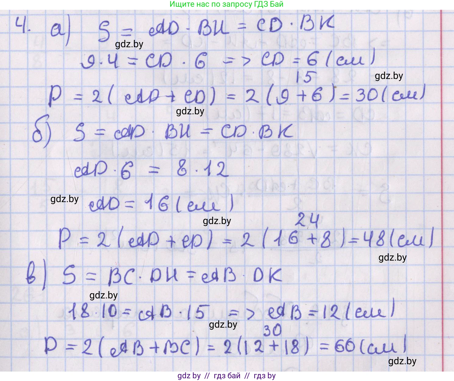
а) Для нахождения периметра параллелограмма ABCD необходимо знать длины двух его смежных сторон, AD и CD. По условию, длина стороны AD равна 9.
Площадь параллелограмма можно вычислить двумя способами, используя каждую из сторон и соответствующую ей высоту.
С одной стороны, площадь равна произведению стороны AD и высоты, проведенной к ней (равной 4):
$S = AD \cdot h_{AD} = 9 \cdot 4 = 36$
С другой стороны, площадь равна произведению стороны CD и высоты, проведенной к ней (равной 6):
$S = CD \cdot h_{CD} = CD \cdot 6$
Так как площадь одна и та же, мы можем приравнять эти два выражения, чтобы найти длину стороны CD:
$CD \cdot 6 = 36$
$CD = \frac{36}{6} = 6$
Теперь, зная длины смежных сторон ($AD = 9$ и $CD = 6$), мы можем найти периметр параллелограмма по формуле $P = 2(AD + CD)$:
$P = 2 \cdot (9 + 6) = 2 \cdot 15 = 30$
Ответ: 30.

б) В данном случае известна сторона CD = 8 и две высоты: высота, проведенная к стороне AD, $h_{AD} = 6$, и высота, проведенная к стороне CD, $h_{CD} = 12$.
Сначала найдем площадь параллелограмма, используя сторону CD и высоту, проведенную к ней:
$S = CD \cdot h_{CD} = 8 \cdot 12 = 96$
Теперь используем это значение площади, чтобы найти длину стороны AD. Площадь также равна произведению стороны AD и высоты, проведенной к ней:
$S = AD \cdot h_{AD} = AD \cdot 6$
Приравняем это выражение к найденной площади:
$AD \cdot 6 = 96$
$AD = \frac{96}{6} = 16$
Теперь мы знаем длины обеих смежных сторон: $AD = 16$ и $CD = 8$. Вычислим периметр:
$P = 2 \cdot (AD + CD) = 2 \cdot (16 + 8) = 2 \cdot 24 = 48$
Ответ: 48.

в) По условию, нам дана длина стороны AD = 18. Также даны две высоты: высота, проведенная к стороне AD, равна 10 ($h_{AD} = 10$), и высота, проведенная к стороне CD, равна 15 ($h_{CD} = 15$).
Вычислим площадь параллелограмма, используя сторону AD и соответствующую ей высоту:
$S = AD \cdot h_{AD} = 18 \cdot 10 = 180$
Площадь параллелограмма также можно выразить через сторону CD и высоту, проведенную к ней:
$S = CD \cdot h_{CD} = CD \cdot 15$
Приравняем два выражения для площади, чтобы найти длину стороны CD:
$CD \cdot 15 = 180$
$CD = \frac{180}{15} = 12$
Зная длины смежных сторон $AD = 18$ и $CD = 12$, найдем периметр:
$P = 2 \cdot (AD + CD) = 2 \cdot (18 + 12) = 2 \cdot 30 = 60$
Ответ: 60.

Помогло решение? Оставьте отзыв в комментариях ниже.

Присоединяйтесь к Телеграм-группе @gdz_by_belarus

Присоединиться

Мы подготовили для вас ответ c подробным объяснением домашего задания по геометрии за 8 класс, для упражнения номер 4 расположенного на странице 117 к учебнику 2024 года издания для учащихся школ и гимназий.

Теперь на нашем сайте ГДЗ.ТОП вы всегда легко и бесплатно найдёте условие с правильным ответом на вопрос «Как решить ДЗ» и «Как сделать» задание по геометрии к упражнению №4 (с. 117), авторов: Казаков (Валерий Владимирович), Казакова (Ольга Олеговна), учебного пособия издательства Адукацыя i выхаванне.