Номер 1.140, страница 44 - гдз по алгебре 9 класс учебник Арефьева, Пирютко

Алгебра, 9 класс Учебник, авторы: Арефьева Ирина Глебовна, Пирютко Ольга Николаевна, издательство Народная асвета, Минск, 2019, голубого цвета

Авторы: Арефьева И. Г., Пирютко О. Н.

Тип: Учебник

Издательство: Народная асвета

Год издания: 2019 - 2025

Цвет обложки: голубой, синий с графиком

ISBN: 978-985-03-3077-2

Допущено Министерством образования Республики Беларусь

Популярные ГДЗ в 9 классе

Глава 1. Рациональные выражения. Параграф 3. Сложение и вычитание рациональных дробей - номер 1.140, страница 44.

№1.140 (с. 44)
Условие. №1.140 (с. 44)
скриншот условия
Алгебра, 9 класс Учебник, авторы: Арефьева Ирина Глебовна, Пирютко Ольга Николаевна, издательство Народная асвета, Минск, 2019, голубого цвета, страница 44, номер 1.140, Условие Алгебра, 9 класс Учебник, авторы: Арефьева Ирина Глебовна, Пирютко Ольга Николаевна, издательство Народная асвета, Минск, 2019, голубого цвета, страница 44, номер 1.140, Условие (продолжение 2)

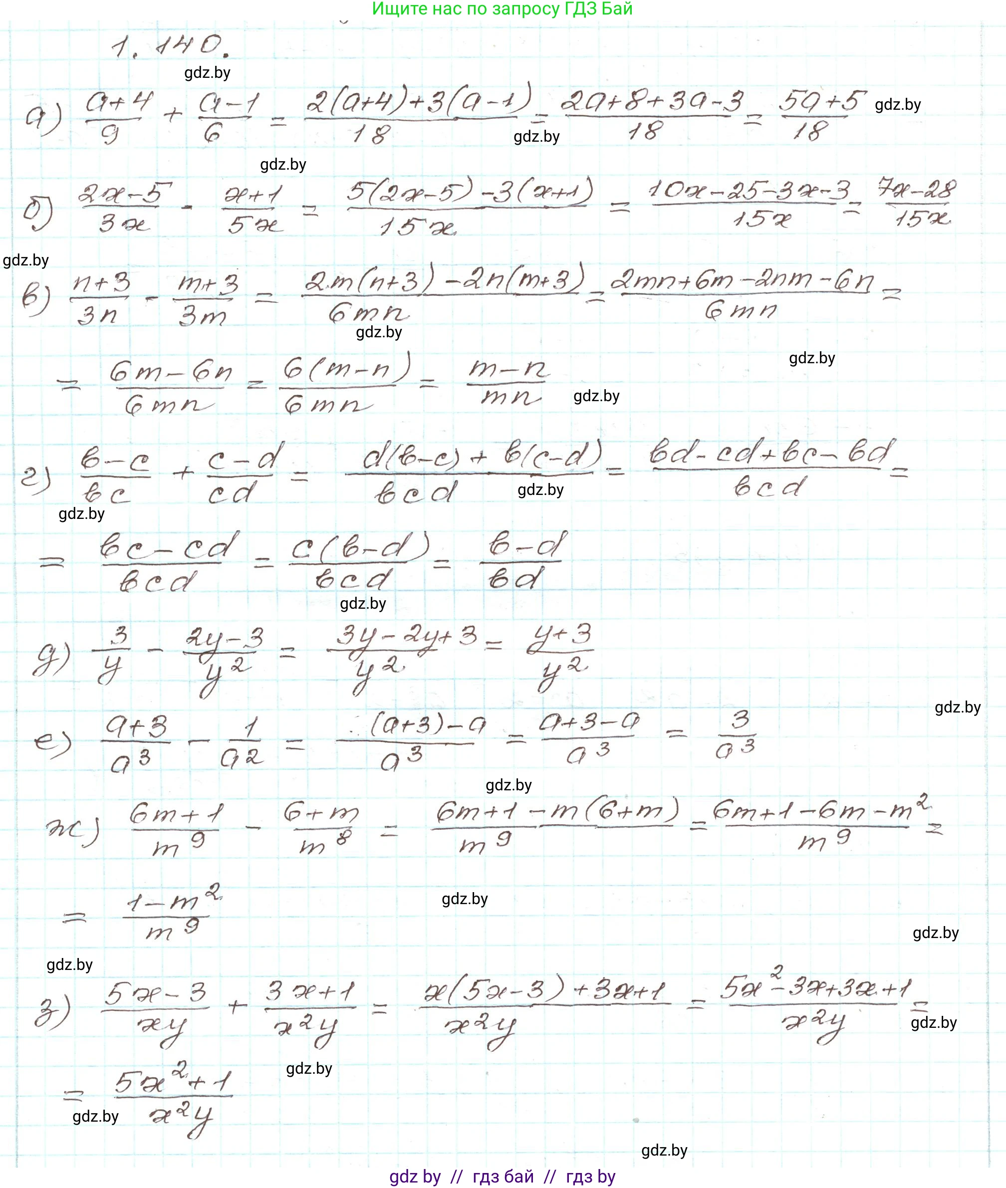
1.140. Упростите выражение:

а) $ \frac{a+4}{9} + \frac{a-1}{6} $

б) $ \frac{2x-5}{3x} - \frac{x+1}{5x} $

В) $ \frac{n+3}{3n} - \frac{m+3}{3m} $

Г) $ \frac{b-c}{bc} + \frac{c-d}{cd} $

Д) $ \frac{3}{y} - \frac{2y-3}{y^2} $

е) $ \frac{a+3}{a^3} - \frac{1}{a^2} $

Ж) $ \frac{6m+1}{m^9} - \frac{6+m}{m^8} $

З) $ \frac{5x-3}{xy} + \frac{3x+1}{x^2y} $

Решение. №1.140 (с. 44)
Алгебра, 9 класс Учебник, авторы: Арефьева Ирина Глебовна, Пирютко Ольга Николаевна, издательство Народная асвета, Минск, 2019, голубого цвета, страница 44, номер 1.140, Решение
Решение 2. №1.140 (с. 44)

а) Для сложения дробей $\frac{a+4}{9}$ и $\frac{a-1}{6}$ необходимо привести их к общему знаменателю. Наименьшее общее кратное для знаменателей 9 и 6 равно 18. Это и будет общим знаменателем.

Найдем дополнительные множители для каждой дроби:

  • Для первой дроби ($\frac{a+4}{9}$): $18 \div 9 = 2$.
  • Для второй дроби ($\frac{a-1}{6}$): $18 \div 6 = 3$.

Умножим числитель и знаменатель каждой дроби на ее дополнительный множитель и выполним сложение:

$\frac{a+4}{9} + \frac{a-1}{6} = \frac{2 \cdot (a+4)}{18} + \frac{3 \cdot (a-1)}{18} = \frac{2(a+4) + 3(a-1)}{18}$

Раскроем скобки в числителе и приведем подобные слагаемые:

$\frac{2a + 8 + 3a - 3}{18} = \frac{(2a+3a) + (8-3)}{18} = \frac{5a+5}{18}$

Ответ: $\frac{5a+5}{18}$

б) Для вычитания дробей $\frac{2x-5}{3x}$ и $\frac{x+1}{5x}$ найдем общий знаменатель. Наименьший общий знаменатель для $3x$ и $5x$ это $15x$.

Дополнительные множители:

  • Для первой дроби: $15x \div 3x = 5$.
  • Для второй дроби: $15x \div 5x = 3$.

Выполним вычитание:

$\frac{2x-5}{3x} - \frac{x+1}{5x} = \frac{5(2x-5)}{15x} - \frac{3(x+1)}{15x} = \frac{5(2x-5) - 3(x+1)}{15x}$

Раскроем скобки в числителе (обращая внимание на знак "минус" перед второй дробью):

$\frac{10x - 25 - (3x+3)}{15x} = \frac{10x - 25 - 3x - 3}{15x}$

Приведем подобные слагаемые:

$\frac{(10x-3x) + (-25-3)}{15x} = \frac{7x-28}{15x}$

Ответ: $\frac{7x-28}{15x}$

в) Вычитаем дроби $\frac{n+3}{3n}$ и $\frac{m+3}{3m}$. Общий знаменатель для $3n$ и $3m$ это $3mn$.

Дополнительные множители:

  • Для первой дроби: $3mn \div 3n = m$.
  • Для второй дроби: $3mn \div 3m = n$.

Приводим к общему знаменателю и вычитаем:

$\frac{n+3}{3n} - \frac{m+3}{3m} = \frac{m(n+3)}{3mn} - \frac{n(m+3)}{3mn} = \frac{m(n+3) - n(m+3)}{3mn}$

Раскрываем скобки в числителе и приводим подобные слагаемые:

$\frac{mn + 3m - (mn + 3n)}{3mn} = \frac{mn + 3m - mn - 3n}{3mn} = \frac{3m-3n}{3mn}$

Выносим общий множитель 3 в числителе и сокращаем дробь:

$\frac{3(m-n)}{3mn} = \frac{m-n}{mn}$

Ответ: $\frac{m-n}{mn}$

г) Складываем дроби $\frac{b-c}{bc}$ и $\frac{c-d}{cd}$. Общий знаменатель для $bc$ и $cd$ это $bcd$.

Дополнительные множители:

  • Для первой дроби: $bcd \div bc = d$.
  • Для второй дроби: $bcd \div cd = b$.

Выполняем сложение:

$\frac{b-c}{bc} + \frac{c-d}{cd} = \frac{d(b-c)}{bcd} + \frac{b(c-d)}{bcd} = \frac{d(b-c) + b(c-d)}{bcd}$

Раскрываем скобки и приводим подобные слагаемые в числителе:

$\frac{bd - cd + bc - bd}{bcd} = \frac{(bd-bd) - cd + bc}{bcd} = \frac{bc-cd}{bcd}$

Выносим общий множитель $c$ в числителе и сокращаем:

$\frac{c(b-d)}{bcd} = \frac{b-d}{bd}$

Ответ: $\frac{b-d}{bd}$

д) Вычитаем дроби $\frac{3}{y}$ и $\frac{2y-3}{y^2}$. Общий знаменатель для $y$ и $y^2$ это $y^2$.

Дополнительный множитель для первой дроби: $y^2 \div y = y$. Вторая дробь уже имеет нужный знаменатель.

Выполняем вычитание:

$\frac{3}{y} - \frac{2y-3}{y^2} = \frac{3 \cdot y}{y^2} - \frac{2y-3}{y^2} = \frac{3y - (2y-3)}{y^2}$

Раскрываем скобки в числителе:

$\frac{3y - 2y + 3}{y^2} = \frac{y+3}{y^2}$

Ответ: $\frac{y+3}{y^2}$

е) Вычитаем дроби $\frac{a+3}{a^3}$ и $\frac{1}{a^2}$. Общий знаменатель для $a^3$ и $a^2$ это $a^3$.

Дополнительный множитель для второй дроби: $a^3 \div a^2 = a$.

Выполняем вычитание:

$\frac{a+3}{a^3} - \frac{1}{a^2} = \frac{a+3}{a^3} - \frac{1 \cdot a}{a^3} = \frac{a+3-a}{a^3}$

Приводим подобные слагаемые в числителе:

$\frac{(a-a)+3}{a^3} = \frac{3}{a^3}$

Ответ: $\frac{3}{a^3}$

ж) Вычитаем дроби $\frac{6m+1}{m^9}$ и $\frac{6+m}{m^8}$. Общий знаменатель для $m^9$ и $m^8$ это $m^9$.

Дополнительный множитель для второй дроби: $m^9 \div m^8 = m$.

Выполняем вычитание:

$\frac{6m+1}{m^9} - \frac{6+m}{m^8} = \frac{6m+1}{m^9} - \frac{m(6+m)}{m^9} = \frac{6m+1 - m(6+m)}{m^9}$

Раскрываем скобки в числителе:

$\frac{6m+1 - (6m+m^2)}{m^9} = \frac{6m+1 - 6m - m^2}{m^9}$

Приводим подобные слагаемые:

$\frac{(6m-6m) + 1 - m^2}{m^9} = \frac{1-m^2}{m^9}$

Ответ: $\frac{1-m^2}{m^9}$

з) Складываем дроби $\frac{5x-3}{xy}$ и $\frac{3x+1}{x^2y}$. Общий знаменатель для $xy$ и $x^2y$ это $x^2y$.

Дополнительный множитель для первой дроби: $x^2y \div xy = x$.

Выполняем сложение:

$\frac{5x-3}{xy} + \frac{3x+1}{x^2y} = \frac{x(5x-3)}{x^2y} + \frac{3x+1}{x^2y} = \frac{x(5x-3) + (3x+1)}{x^2y}$

Раскрываем скобки и приводим подобные слагаемые в числителе:

$\frac{5x^2 - 3x + 3x + 1}{x^2y} = \frac{5x^2 + (-3x+3x) + 1}{x^2y} = \frac{5x^2+1}{x^2y}$

Ответ: $\frac{5x^2+1}{x^2y}$

Помогло решение? Оставьте отзыв в комментариях ниже.

Присоединяйтесь к Телеграм-группе @gdz_by_belarus

Присоединиться

Мы подготовили для вас ответ c подробным объяснением домашего задания по алгебре за 9 класс, для упражнения номер 1.140 расположенного на странице 44 к учебнику 2019 года издания для учащихся школ и гимназий.

Теперь на нашем сайте ГДЗ.ТОП вы всегда легко и бесплатно найдёте условие с правильным ответом на вопрос «Как решить ДЗ» и «Как сделать» задание по алгебре к упражнению №1.140 (с. 44), авторов: Арефьева (Ирина Глебовна), Пирютко (Ольга Николаевна), учебного пособия издательства Народная асвета.