Номер 1.144, страница 45 - гдз по алгебре 9 класс учебник Арефьева, Пирютко

Алгебра, 9 класс Учебник, авторы: Арефьева Ирина Глебовна, Пирютко Ольга Николаевна, издательство Народная асвета, Минск, 2019, голубого цвета

Авторы: Арефьева И. Г., Пирютко О. Н.

Тип: Учебник

Издательство: Народная асвета

Год издания: 2019 - 2025

Цвет обложки: голубой, синий с графиком

ISBN: 978-985-03-3077-2

Допущено Министерством образования Республики Беларусь

Популярные ГДЗ в 9 классе

Глава 1. Рациональные выражения. Параграф 3. Сложение и вычитание рациональных дробей - номер 1.144, страница 45.

№1.144 (с. 45)
Условие. №1.144 (с. 45)
скриншот условия
Алгебра, 9 класс Учебник, авторы: Арефьева Ирина Глебовна, Пирютко Ольга Николаевна, издательство Народная асвета, Минск, 2019, голубого цвета, страница 45, номер 1.144, Условие

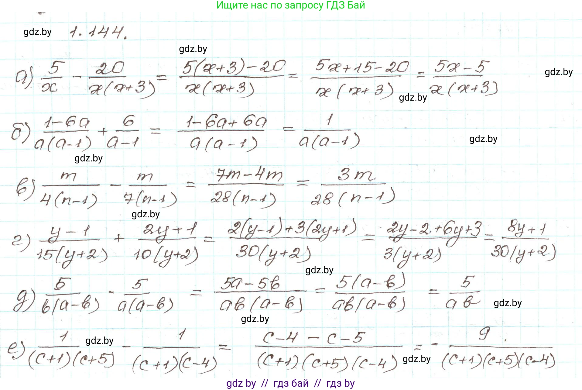
1.144. Выполните сложение или вычитание дробей:

a) $\frac{5}{x} - \frac{20}{x(x+3)};$

б) $\frac{1-6a}{a(a-1)} + \frac{6}{a-1};$

В) $\frac{m}{4(n-1)} - \frac{m}{7(n-1)};$

Г) $\frac{y-1}{15(y+2)} + \frac{2y+1}{10(y+2)};$

Д) $\frac{5}{b(a-b)} - \frac{5}{a(a-b)};$

е) $\frac{1}{(c+1)(c+5)} - \frac{1}{(c+1)(c-4)}.$

Решение. №1.144 (с. 45)
Алгебра, 9 класс Учебник, авторы: Арефьева Ирина Глебовна, Пирютко Ольга Николаевна, издательство Народная асвета, Минск, 2019, голубого цвета, страница 45, номер 1.144, Решение
Решение 2. №1.144 (с. 45)

а) Чтобы выполнить вычитание дробей $\frac{5}{x} - \frac{20}{x(x+3)}$, необходимо привести их к общему знаменателю. В данном случае общий знаменатель — это $x(x+3)$.

Домножим числитель и знаменатель первой дроби на дополнительный множитель $(x+3)$:

$\frac{5 \cdot (x+3)}{x(x+3)} - \frac{20}{x(x+3)}$

Теперь, когда у дробей одинаковый знаменатель, можно вычесть их числители:

$\frac{5(x+3) - 20}{x(x+3)} = \frac{5x + 15 - 20}{x(x+3)} = \frac{5x - 5}{x(x+3)}$

В числителе можно вынести общий множитель 5 за скобки для упрощения вида:

$\frac{5(x - 1)}{x(x+3)}$

Ответ: $\frac{5(x-1)}{x(x+3)}$


б) Чтобы выполнить сложение дробей $\frac{1-6a}{a(a-1)} + \frac{6}{a-1}$, приведем их к общему знаменателю $a(a-1)$.

Домножим вторую дробь на дополнительный множитель $a$:

$\frac{1-6a}{a(a-1)} + \frac{6 \cdot a}{(a-1) \cdot a}$

Выполним сложение числителей:

$\frac{1-6a + 6a}{a(a-1)} = \frac{1}{a(a-1)}$

Ответ: $\frac{1}{a(a-1)}$


в) Выполним вычитание дробей $\frac{m}{4(n-1)} - \frac{m}{7(n-1)}$.

Общий знаменатель для этих дробей равен произведению их знаменателей без повторяющихся множителей. Наименьшее общее кратное для чисел 4 и 7 равно 28. Таким образом, общий знаменатель — $28(n-1)$.

Домножим первую дробь на 7, а вторую на 4:

$\frac{7 \cdot m}{7 \cdot 4(n-1)} - \frac{4 \cdot m}{4 \cdot 7(n-1)} = \frac{7m}{28(n-1)} - \frac{4m}{28(n-1)}$

Выполним вычитание числителей:

$\frac{7m - 4m}{28(n-1)} = \frac{3m}{28(n-1)}$

Ответ: $\frac{3m}{28(n-1)}$


г) Выполним сложение дробей $\frac{y-1}{15(y+2)} + \frac{2y+1}{10(y+2)}$.

Найдем общий знаменатель. Наименьшее общее кратное чисел 15 и 10 равно 30. Общий знаменатель — $30(y+2)$.

Дополнительный множитель для первой дроби — 2, для второй — 3:

$\frac{2(y-1)}{30(y+2)} + \frac{3(2y+1)}{30(y+2)}$

Сложим числители:

$\frac{2(y-1) + 3(2y+1)}{30(y+2)} = \frac{2y - 2 + 6y + 3}{30(y+2)} = \frac{8y + 1}{30(y+2)}$

Ответ: $\frac{8y+1}{30(y+2)}$


д) Выполним вычитание дробей $\frac{5}{b(a-b)} - \frac{5}{a(a-b)}$.

Общий знаменатель для этих дробей — $ab(a-b)$.

Домножим первую дробь на $a$, а вторую на $b$:

$\frac{5a}{ab(a-b)} - \frac{5b}{ab(a-b)}$

Выполним вычитание числителей:

$\frac{5a-5b}{ab(a-b)}$

Вынесем в числителе общий множитель 5 за скобки:

$\frac{5(a-b)}{ab(a-b)}$

Сократим дробь на общий множитель $(a-b)$, при условии что $a \neq b$:

$\frac{5}{ab}$

Ответ: $\frac{5}{ab}$


е) Выполним вычитание дробей $\frac{1}{(c+1)(c+5)} - \frac{1}{(c+1)(c-4)}$.

Общий знаменатель для этих дробей — $(c+1)(c+5)(c-4)$.

Домножим первую дробь на $(c-4)$, а вторую на $(c+5)$:

$\frac{c-4}{(c+1)(c+5)(c-4)} - \frac{c+5}{(c+1)(c+5)(c-4)}$

Выполним вычитание числителей:

$\frac{(c-4) - (c+5)}{(c+1)(c+5)(c-4)} = \frac{c-4-c-5}{(c+1)(c+5)(c-4)}$

Упростим числитель:

$\frac{-9}{(c+1)(c+5)(c-4)}$

Ответ: $\frac{-9}{(c+1)(c+5)(c-4)}$

Помогло решение? Оставьте отзыв в комментариях ниже.

Присоединяйтесь к Телеграм-группе @gdz_by_belarus

Присоединиться

Мы подготовили для вас ответ c подробным объяснением домашего задания по алгебре за 9 класс, для упражнения номер 1.144 расположенного на странице 45 к учебнику 2019 года издания для учащихся школ и гимназий.

Теперь на нашем сайте ГДЗ.ТОП вы всегда легко и бесплатно найдёте условие с правильным ответом на вопрос «Как решить ДЗ» и «Как сделать» задание по алгебре к упражнению №1.144 (с. 45), авторов: Арефьева (Ирина Глебовна), Пирютко (Ольга Николаевна), учебного пособия издательства Народная асвета.