Номер 1.150, страница 46 - гдз по алгебре 9 класс учебник Арефьева, Пирютко

Алгебра, 9 класс Учебник, авторы: Арефьева Ирина Глебовна, Пирютко Ольга Николаевна, издательство Народная асвета, Минск, 2019, голубого цвета

Авторы: Арефьева И. Г., Пирютко О. Н.

Тип: Учебник

Издательство: Народная асвета

Год издания: 2019 - 2025

Цвет обложки: голубой, синий с графиком

ISBN: 978-985-03-3077-2

Допущено Министерством образования Республики Беларусь

Популярные ГДЗ в 9 классе

Глава 1. Рациональные выражения. Параграф 3. Сложение и вычитание рациональных дробей - номер 1.150, страница 46.

№1.150 (с. 46)
Условие. №1.150 (с. 46)
скриншот условия
Алгебра, 9 класс Учебник, авторы: Арефьева Ирина Глебовна, Пирютко Ольга Николаевна, издательство Народная асвета, Минск, 2019, голубого цвета, страница 46, номер 1.150, Условие

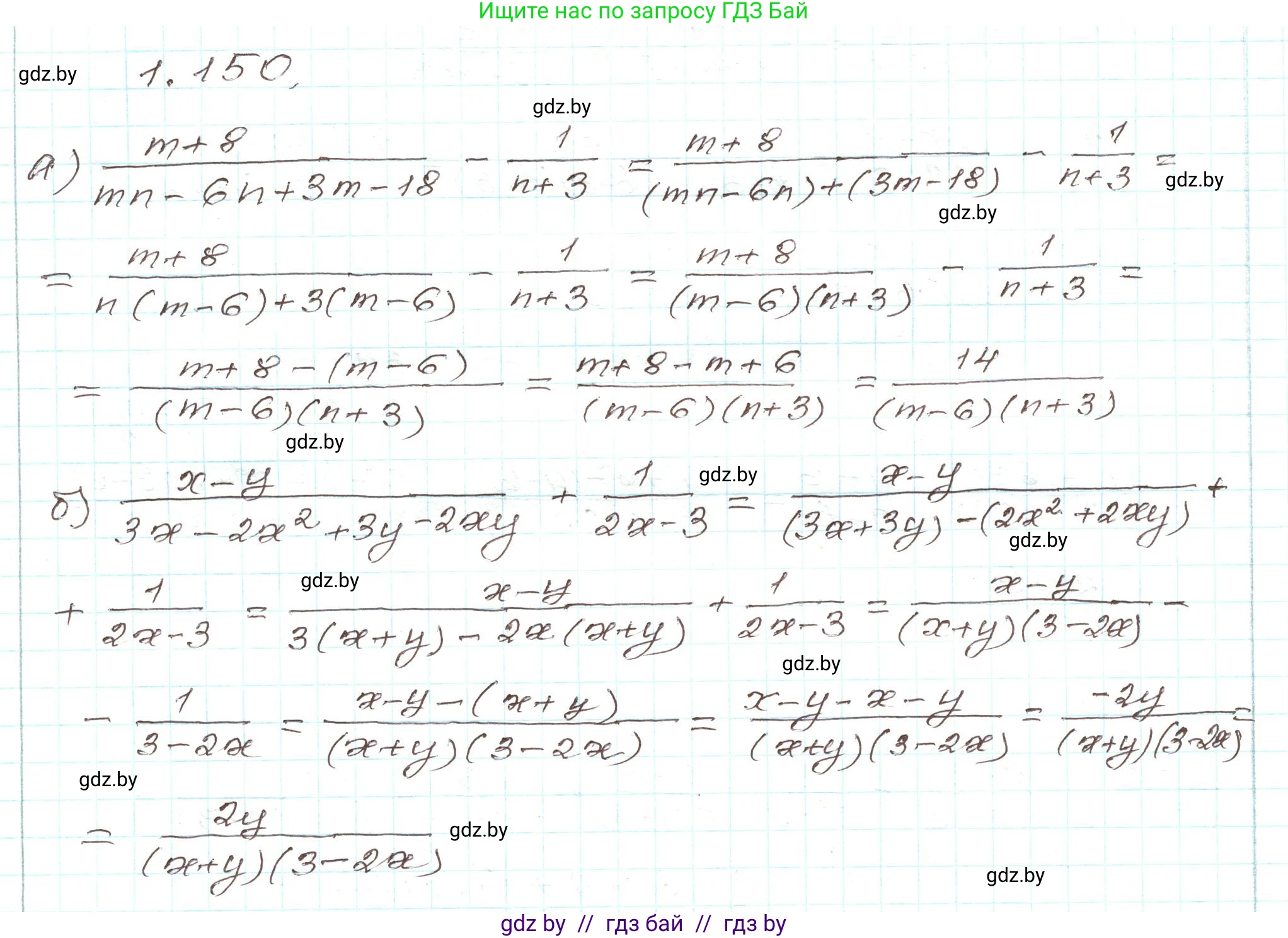
1.150. Примените способ группировки для разложения на множители знаменателей дробей и выполните действия:

a) $\frac{m+8}{mn-6n+3m-18} - \frac{1}{n+3}$

б) $\frac{x-y}{3x-2x^2+3y-2xy} + \frac{1}{2x-3}$

Решение. №1.150 (с. 46)
Алгебра, 9 класс Учебник, авторы: Арефьева Ирина Глебовна, Пирютко Ольга Николаевна, издательство Народная асвета, Минск, 2019, голубого цвета, страница 46, номер 1.150, Решение
Решение 2. №1.150 (с. 46)

а) Дано выражение: $ \frac{m+8}{mn - 6n + 3m - 18} - \frac{1}{n+3} $

1. Сначала разложим на множители знаменатель первой дроби $mn - 6n + 3m - 18$, применив способ группировки. Сгруппируем слагаемые:

$ (mn - 6n) + (3m - 18) $

2. В каждой группе вынесем общий множитель за скобки:

$ n(m-6) + 3(m-6) $

3. Теперь вынесем общий множитель $ (m-6) $ за скобки:

$ (m-6)(n+3) $

4. Подставим полученное разложение в исходное выражение. Общий знаменатель для дробей будет $ (m-6)(n+3) $. Приведем вторую дробь к этому знаменателю:

$ \frac{m+8}{(m-6)(n+3)} - \frac{1}{n+3} = \frac{m+8}{(m-6)(n+3)} - \frac{1 \cdot (m-6)}{(n+3)(m-6)} $

5. Выполним вычитание дробей с одинаковыми знаменателями:

$ \frac{m+8 - (m-6)}{(m-6)(n+3)} = \frac{m+8-m+6}{(m-6)(n+3)} = \frac{14}{(m-6)(n+3)} $

Ответ: $ \frac{14}{(m-6)(n+3)} $

б) Дано выражение: $ \frac{x-y}{3x - 2x^2 + 3y - 2xy} + \frac{1}{2x-3} $

1. Сначала разложим на множители знаменатель первой дроби $3x - 2x^2 + 3y - 2xy$, применив способ группировки. Сгруппируем слагаемые:

$ (3x - 2x^2) + (3y - 2xy) $

2. В каждой группе вынесем общий множитель за скобки:

$ x(3-2x) + y(3-2x) $

3. Теперь вынесем общий множитель $ (3-2x) $ за скобки:

$ (3-2x)(x+y) $

4. Знаменатель второй дроби равен $ 2x-3 $. Заметим, что $ 3-2x = -(2x-3) $. Перепишем исходное выражение, используя это свойство:

$ \frac{x-y}{(3-2x)(x+y)} + \frac{1}{2x-3} = \frac{x-y}{-(2x-3)(x+y)} + \frac{1}{2x-3} = -\frac{x-y}{(2x-3)(x+y)} + \frac{1}{2x-3} $

5. Приведем дроби к общему знаменателю $ (2x-3)(x+y) $ и выполним сложение:

$ -\frac{x-y}{(2x-3)(x+y)} + \frac{1 \cdot (x+y)}{(2x-3)(x+y)} = \frac{-(x-y) + (x+y)}{(2x-3)(x+y)} $

6. Упростим числитель полученной дроби:

$ \frac{-x+y+x+y}{(2x-3)(x+y)} = \frac{2y}{(2x-3)(x+y)} $

Ответ: $ \frac{2y}{(x+y)(2x-3)} $

Помогло решение? Оставьте отзыв в комментариях ниже.

Присоединяйтесь к Телеграм-группе @gdz_by_belarus

Присоединиться

Мы подготовили для вас ответ c подробным объяснением домашего задания по алгебре за 9 класс, для упражнения номер 1.150 расположенного на странице 46 к учебнику 2019 года издания для учащихся школ и гимназий.

Теперь на нашем сайте ГДЗ.ТОП вы всегда легко и бесплатно найдёте условие с правильным ответом на вопрос «Как решить ДЗ» и «Как сделать» задание по алгебре к упражнению №1.150 (с. 46), авторов: Арефьева (Ирина Глебовна), Пирютко (Ольга Николаевна), учебного пособия издательства Народная асвета.