Номер 1.184, страница 55 - гдз по алгебре 9 класс учебник Арефьева, Пирютко

Алгебра, 9 класс Учебник, авторы: Арефьева Ирина Глебовна, Пирютко Ольга Николаевна, издательство Народная асвета, Минск, 2019, голубого цвета

Авторы: Арефьева И. Г., Пирютко О. Н.

Тип: Учебник

Издательство: Народная асвета

Год издания: 2019 - 2025

Цвет обложки: голубой, синий с графиком

ISBN: 978-985-03-3077-2

Допущено Министерством образования Республики Беларусь

Популярные ГДЗ в 9 классе

Глава 1. Рациональные выражения. Параграф 4. Умножение и деление рациональных дробей - номер 1.184, страница 55.

№1.184 (с. 55)
Условие. №1.184 (с. 55)
скриншот условия
Алгебра, 9 класс Учебник, авторы: Арефьева Ирина Глебовна, Пирютко Ольга Николаевна, издательство Народная асвета, Минск, 2019, голубого цвета, страница 55, номер 1.184, Условие

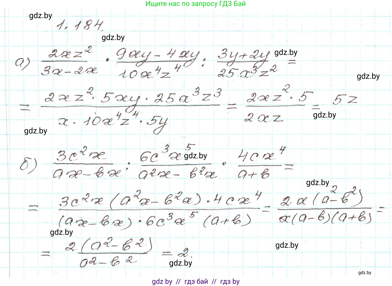
1.184*. Выполните действия:

a) $\frac{2xz^2}{3x-2x} \cdot \frac{9xy-4xy}{10x^4z^4} : \frac{3y+2y}{25x^3z^2}$

б) $\frac{3c^2x}{ax-bx} : \frac{6c^3x^5}{a^2x-b^2x} \cdot \frac{4cx^4}{a+b}$

Решение. №1.184 (с. 55)
Алгебра, 9 класс Учебник, авторы: Арефьева Ирина Глебовна, Пирютко Ольга Николаевна, издательство Народная асвета, Минск, 2019, голубого цвета, страница 55, номер 1.184, Решение
Решение 2. №1.184 (с. 55)

а) Выполним действия с алгебраическими дробями:

$$ \frac{2xz^2}{3x-2x} \cdot \frac{9xy-4xy}{10x^4z^4} : \frac{3y+2y}{25x^3z^2} $$

1. Сначала упростим выражения в числителях и знаменателях каждой дроби:

  • В знаменателе первой дроби: $3x-2x = x$
  • В числителе второй дроби: $9xy-4xy = 5xy$
  • В числителе третьей дроби: $3y+2y = 5y$

После упрощения выражение принимает вид:

$$ \frac{2xz^2}{x} \cdot \frac{5xy}{10x^4z^4} : \frac{5y}{25x^3z^2} $$

2. Деление на дробь эквивалентно умножению на обратную (перевернутую) дробь. Заменим знак деления на умножение и перевернем третью дробь:

$$ \frac{2xz^2}{x} \cdot \frac{5xy}{10x^4z^4} \cdot \frac{25x^3z^2}{5y} $$

3. Теперь запишем все множители в одну дробь, отдельно сгруппировав числовые коэффициенты и переменные:

$$ \frac{2 \cdot 5 \cdot 25 \cdot x \cdot z^2 \cdot x \cdot y \cdot x^3 \cdot z^2}{x \cdot 10 \cdot x^4 \cdot z^4 \cdot 5 \cdot y} = \frac{(2 \cdot 5 \cdot 25)}{(10 \cdot 5)} \cdot \frac{(x \cdot x \cdot x^3)}{(x \cdot x^4)} \cdot \frac{y}{y} \cdot \frac{(z^2 \cdot z^2)}{z^4} $$

4. Выполним сокращение для каждой группы:

  • Числовые коэффициенты: $\frac{250}{50} = 5$
  • Переменная $x$: $\frac{x^{1+1+3}}{x^{1+4}} = \frac{x^5}{x^5} = 1$
  • Переменная $y$: $\frac{y}{y} = 1$
  • Переменная $z$: $\frac{z^{2+2}}{z^4} = \frac{z^4}{z^4} = 1$

5. Перемножим полученные результаты, чтобы найти окончательный ответ:

$$ 5 \cdot 1 \cdot 1 \cdot 1 = 5 $$

Ответ: 5

б) Выполним действия с алгебраическими дробями:

$$ \frac{3c^2x}{ax-bx} : \frac{6c^3x^5}{a^2x-b^2x} \cdot \frac{4cx^4}{a+b} $$

1. Сначала разложим на множители знаменатели, где это возможно:

  • В знаменателе первой дроби вынесем общий множитель $x$: $ax-bx = x(a-b)$
  • В знаменателе второй дроби вынесем $x$ и применим формулу разности квадратов $a^2-b^2=(a-b)(a+b)$: $a^2x-b^2x = x(a^2-b^2) = x(a-b)(a+b)$

После подстановки выражение принимает вид:

$$ \frac{3c^2x}{x(a-b)} : \frac{6c^3x^5}{x(a-b)(a+b)} \cdot \frac{4cx^4}{a+b} $$

2. Заменим деление на умножение на обратную дробь:

$$ \frac{3c^2x}{x(a-b)} \cdot \frac{x(a-b)(a+b)}{6c^3x^5} \cdot \frac{4cx^4}{a+b} $$

3. Запишем все множители в одну дробь:

$$ \frac{3c^2x \cdot x(a-b)(a+b) \cdot 4cx^4}{x(a-b) \cdot 6c^3x^5 \cdot (a+b)} $$

4. Сгруппируем коэффициенты, переменные и скобки, а затем сократим общие множители в числителе и знаменателе:

$$ \frac{(3 \cdot 4)}{6} \cdot \frac{(c^2 \cdot c)}{c^3} \cdot \frac{(x \cdot x \cdot x^4)}{(x \cdot x^5)} \cdot \frac{(a-b)}{(a-b)} \cdot \frac{(a+b)}{(a+b)} $$

5. Выполним вычисления для каждой группы:

  • Числовые коэффициенты: $\frac{12}{6} = 2$
  • Переменная $c$: $\frac{c^{2+1}}{c^3} = \frac{c^3}{c^3} = 1$
  • Переменная $x$: $\frac{x^{1+1+4}}{x^{1+5}} = \frac{x^6}{x^6} = 1$
  • Выражение $(a-b)$: $\frac{a-b}{a-b} = 1$
  • Выражение $(a+b)$: $\frac{a+b}{a+b} = 1$

6. Перемножим полученные результаты:

$$ 2 \cdot 1 \cdot 1 \cdot 1 \cdot 1 = 2 $$

Ответ: 2

Помогло решение? Оставьте отзыв в комментариях ниже.

Присоединяйтесь к Телеграм-группе @gdz_by_belarus

Присоединиться

Мы подготовили для вас ответ c подробным объяснением домашего задания по алгебре за 9 класс, для упражнения номер 1.184 расположенного на странице 55 к учебнику 2019 года издания для учащихся школ и гимназий.

Теперь на нашем сайте ГДЗ.ТОП вы всегда легко и бесплатно найдёте условие с правильным ответом на вопрос «Как решить ДЗ» и «Как сделать» задание по алгебре к упражнению №1.184 (с. 55), авторов: Арефьева (Ирина Глебовна), Пирютко (Ольга Николаевна), учебного пособия издательства Народная асвета.