Номер 1.187, страница 55 - гдз по алгебре 9 класс учебник Арефьева, Пирютко

Алгебра, 9 класс Учебник, авторы: Арефьева Ирина Глебовна, Пирютко Ольга Николаевна, издательство Народная асвета, Минск, 2019, голубого цвета

Авторы: Арефьева И. Г., Пирютко О. Н.

Тип: Учебник

Издательство: Народная асвета

Год издания: 2019 - 2025

Цвет обложки: голубой, синий с графиком

ISBN: 978-985-03-3077-2

Допущено Министерством образования Республики Беларусь

Популярные ГДЗ в 9 классе

Глава 1. Рациональные выражения. Параграф 4. Умножение и деление рациональных дробей - номер 1.187, страница 55.

№1.187 (с. 55)
Условие. №1.187 (с. 55)
скриншот условия
Алгебра, 9 класс Учебник, авторы: Арефьева Ирина Глебовна, Пирютко Ольга Николаевна, издательство Народная асвета, Минск, 2019, голубого цвета, страница 55, номер 1.187, Условие

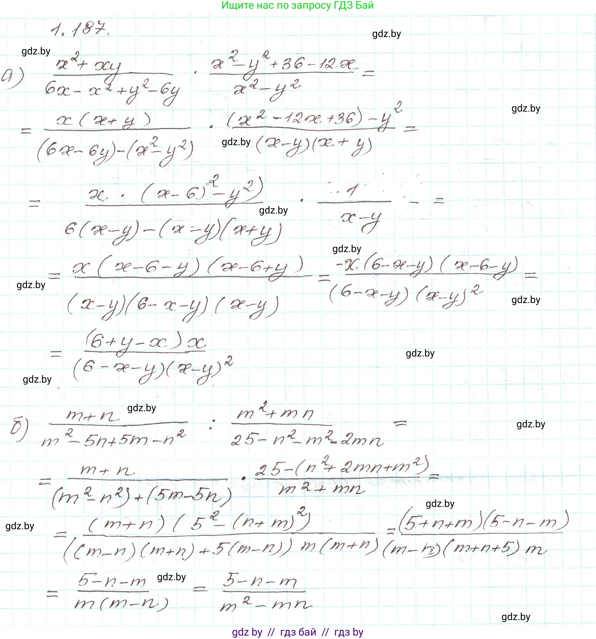
1.187*. Выполните действия с рациональными дробями:

a) $\frac{x^2 + xy}{6x - x^2 + y^2 - 6y} \cdot \frac{x^2 - y^2 + 36 - 12x}{x^2 - y^2};$

б) $\frac{m + n}{m^2 - 5n + 5m - n^2} : \frac{m^2 + mn}{25 - n^2 - m^2 - 2mn},$

Решение. №1.187 (с. 55)
Алгебра, 9 класс Учебник, авторы: Арефьева Ирина Глебовна, Пирютко Ольга Николаевна, издательство Народная асвета, Минск, 2019, голубого цвета, страница 55, номер 1.187, Решение
Решение 2. №1.187 (с. 55)

а) Выполним действия с рациональными дробями: $$ \frac{x^2 + xy}{6x - x^2 + y^2 - 6y} \cdot \frac{x^2 - y^2 + 36 - 12x}{x^2 - y^2} $$ Для упрощения выражения разложим числители и знаменатели дробей на множители.
1. Числитель первой дроби: $$ x^2 + xy = x(x+y) $$ 2. Знаменатель первой дроби (сгруппируем слагаемые): $$ 6x - x^2 + y^2 - 6y = (y^2 - x^2) + (6x - 6y) = (y-x)(y+x) - 6(y-x) = (y-x)(y+x-6) $$ Для удобства вынесем минус: $ (y-x)(y+x-6) = -(x-y)(x+y-6) $.
3. Числитель второй дроби (сгруппируем слагаемые и применим формулу разности квадратов): $$ x^2 - y^2 + 36 - 12x = (x^2 - 12x + 36) - y^2 = (x-6)^2 - y^2 = (x-6-y)(x-6+y) = (x-y-6)(x+y-6) $$ 4. Знаменатель второй дроби (разность квадратов): $$ x^2 - y^2 = (x-y)(x+y) $$ Теперь подставим разложенные на множители выражения в исходное уравнение: $$ \frac{x(x+y)}{-(x-y)(x+y-6)} \cdot \frac{(x-y-6)(x+y-6)}{(x-y)(x+y)} $$ Сократим общие множители $ (x+y) $ и $ (x+y-6) $: $$ \frac{x}{-(x-y)} \cdot \frac{x-y-6}{x-y} = -\frac{x(x-y-6)}{(x-y)^2} = \frac{x(6-x+y)}{(x-y)^2} $$ Раскроем скобки в числителе и знаменателе: $$ \frac{6x - x^2 + xy}{x^2 - 2xy + y^2} $$ Полученная дробь является неправильной, так как степень многочлена в числителе (2) равна степени многочлена в знаменателе (2). Выделим целую часть, выполнив деление многочленов: $$ \frac{-x^2 + xy + 6x}{x^2 - 2xy + y^2} = \frac{-(x^2 - 2xy + y^2) - 2xy + y^2 + xy + 6x}{x^2 - 2xy + y^2} = -1 + \frac{-xy + y^2 + 6x}{x^2 - 2xy + y^2} $$ Таким образом, получаем:

Ответ: $ -1 + \frac{y^2 - xy + 6x}{(x-y)^2} $

б) Выполним действия с рациональными дробями: $$ \frac{m+n}{m^2-5n+5m-n^2} : \frac{m^2+mn}{25-n^2-m^2-2mn} $$ Заменим деление на умножение, перевернув вторую дробь: $$ \frac{m+n}{m^2-5n+5m-n^2} \cdot \frac{25-n^2-m^2-2mn}{m^2+mn} $$ Разложим числители и знаменатели на множители.
1. Знаменатель первой дроби: $$ m^2-5n+5m-n^2 = (m^2-n^2) + (5m-5n) = (m-n)(m+n)+5(m-n) = (m-n)(m+n+5) $$ 2. Числитель второй дроби (перевернутой): $$ 25-n^2-m^2-2mn = 25 - (m^2+2mn+n^2) = 5^2 - (m+n)^2 = (5-(m+n))(5+(m+n)) = (5-m-n)(m+n+5) $$ 3. Знаменатель второй дроби (перевернутой): $$ m^2+mn = m(m+n) $$ Подставим разложенные выражения: $$ \frac{m+n}{(m-n)(m+n+5)} \cdot \frac{(5-m-n)(m+n+5)}{m(m+n)} $$ Сократим общие множители $ (m+n) $ и $ (m+n+5) $: $$ \frac{1}{m-n} \cdot \frac{5-m-n}{m} = \frac{5-m-n}{m(m-n)} $$ Полученная дробь $ \frac{5-m-n}{m^2-mn} $ является правильной, так как степень числителя (1) меньше степени знаменателя (2). Следовательно, ее целая часть равна 0, и выделять ее не требуется.

Ответ: $ \frac{5-m-n}{m(m-n)} $

Помогло решение? Оставьте отзыв в комментариях ниже.

Присоединяйтесь к Телеграм-группе @gdz_by_belarus

Присоединиться

Мы подготовили для вас ответ c подробным объяснением домашего задания по алгебре за 9 класс, для упражнения номер 1.187 расположенного на странице 55 к учебнику 2019 года издания для учащихся школ и гимназий.

Теперь на нашем сайте ГДЗ.ТОП вы всегда легко и бесплатно найдёте условие с правильным ответом на вопрос «Как решить ДЗ» и «Как сделать» задание по алгебре к упражнению №1.187 (с. 55), авторов: Арефьева (Ирина Глебовна), Пирютко (Ольга Николаевна), учебного пособия издательства Народная асвета.