Номер 1.65, страница 29 - гдз по алгебре 9 класс учебник Арефьева, Пирютко

Алгебра, 9 класс Учебник, авторы: Арефьева Ирина Глебовна, Пирютко Ольга Николаевна, издательство Народная асвета, Минск, 2019, голубого цвета

Авторы: Арефьева И. Г., Пирютко О. Н.

Тип: Учебник

Издательство: Народная асвета

Год издания: 2019 - 2025

Цвет обложки: голубой, синий с графиком

ISBN: 978-985-03-3077-2

Допущено Министерством образования Республики Беларусь

Популярные ГДЗ в 9 классе

Глава 1. Рациональные выражения. Параграф 2. Основное свойство рациональной дроби. Сокращение рациональных дробей - номер 1.65, страница 29.

№1.65 (с. 29)
Условие. №1.65 (с. 29)
скриншот условия
Алгебра, 9 класс Учебник, авторы: Арефьева Ирина Глебовна, Пирютко Ольга Николаевна, издательство Народная асвета, Минск, 2019, голубого цвета, страница 29, номер 1.65, Условие

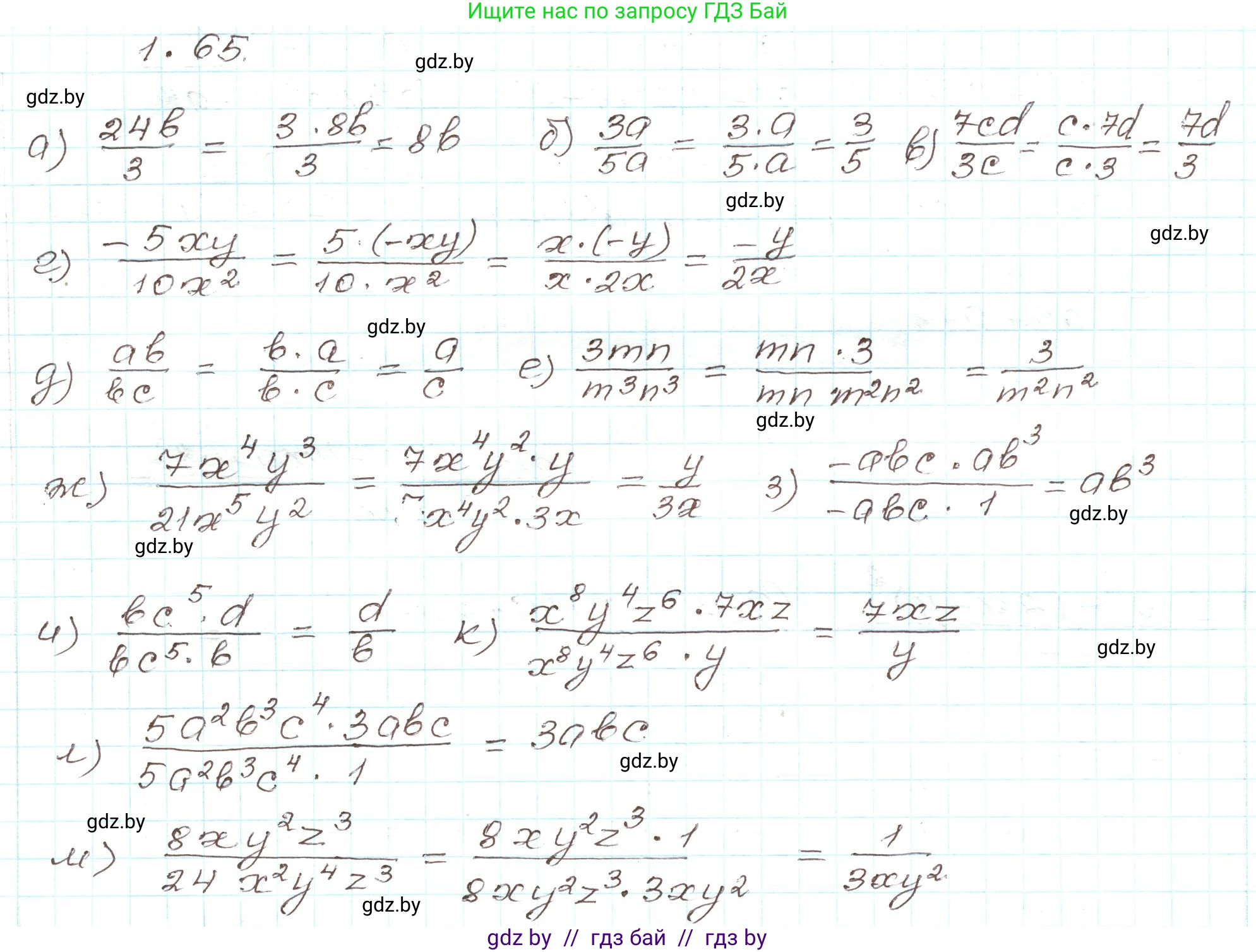
1.65. Используя алгоритм, сократите дробь:

a) $\frac{24b}{3}$;

б) $\frac{3a}{5a}$;

В) $\frac{7cd}{3c}$;

Г) $\frac{-5xy}{10x^2}$;

Д) $\frac{ab}{bc}$;

е) $\frac{3mn}{m^3n^3}$;

Ж) $\frac{7x^4y^3}{21x^5y^2}$;

З) $\frac{-a^2b^4c}{-abc}$;

И) $\frac{bc^5d}{b^2c^5}$;

К) $\frac{7x^9y^4z^7}{x^8y^5z^6}$;

Л) $\frac{15a^3b^4c^5}{5a^2b^3c^4}$;

М) $\frac{8xy^2z^3}{24x^2y^4z^3}$.

Решение. №1.65 (с. 29)
Алгебра, 9 класс Учебник, авторы: Арефьева Ирина Глебовна, Пирютко Ольга Николаевна, издательство Народная асвета, Минск, 2019, голубого цвета, страница 29, номер 1.65, Решение
Решение 2. №1.65 (с. 29)

а) Для сокращения дроби $\frac{24b}{3}$ необходимо найти общие делители у числителя и знаменателя.
1. Числовые коэффициенты: $24$ и $3$. Наибольший общий делитель (НОД) равен $3$. Разделим числитель и знаменатель на $3$: $\frac{24}{3} = 8$.
2. Переменная $b$ находится только в числителе, поэтому она остается.
Результат: $\frac{24b}{3} = 8b$. Так как числовой коэффициент $8$ получен из неправильной дроби $\frac{24}{3}$, выделим его как целую часть.
Ответ: $\mathbf{8}b$

б) Для сокращения дроби $\frac{3a}{5a}$:
1. Числовые коэффициенты $3$ и $5$ являются взаимно простыми, поэтому их сократить нельзя.
2. Переменная $a$ есть и в числителе, и в знаменателе. Сокращаем ее: $\frac{a}{a} = 1$.
Результат: $\frac{3}{5}$.
Ответ: $\frac{3}{5}$

в) Для сокращения дроби $\frac{7cd}{3c}$:
1. Числовые коэффициенты $7$ и $3$ взаимно простые. Их отношение $\frac{7}{3}$ является неправильной дробью.
2. Сокращаем переменную $c$: $\frac{c}{c} = 1$.
3. Переменная $d$ остается в числителе.
Результат: $\frac{7d}{3}$. Представим неправильную дробь $\frac{7}{3}$ в виде смешанного числа: $\frac{7}{3} = 2\frac{1}{3}$. Выделим целую часть.
Ответ: $\mathbf{2}\frac{1}{3}d$

г) Для сокращения дроби $\frac{-5xy}{10x^2}$:
1. Сокращаем числовые коэффициенты $-5$ и $10$. НОД равен $5$. $\frac{-5}{10} = -\frac{1}{2}$.
2. Сокращаем переменные:
- Для $x$: $\frac{x}{x^2} = x^{1-2} = x^{-1} = \frac{1}{x}$.
- Переменная $y$ остается в числителе.
Результат: $-\frac{1 \cdot y}{2 \cdot x} = -\frac{y}{2x}$.
Ответ: $-\frac{y}{2x}$

д) Для сокращения дроби $\frac{ab}{bc}$:
1. Сокращаем общую переменную $b$: $\frac{b}{b} = 1$.
2. Переменная $a$ остается в числителе, а $c$ - в знаменателе.
Результат: $\frac{a}{c}$.
Ответ: $\frac{a}{c}$

е) Для сокращения дроби $\frac{3mn}{m^3n^3}$:
1. Числовой коэффициент $3$ остается в числителе.
2. Сокращаем переменные:
- Для $m$: $\frac{m}{m^3} = m^{1-3} = m^{-2} = \frac{1}{m^2}$.
- Для $n$: $\frac{n}{n^3} = n^{1-3} = n^{-2} = \frac{1}{n^2}$.
Результат: $\frac{3}{m^2n^2}$.
Ответ: $\frac{3}{m^2n^2}$

ж) Для сокращения дроби $\frac{7x^4y^3}{21x^5y^2}$:
1. Сокращаем числовые коэффициенты $7$ и $21$. НОД равен $7$: $\frac{7}{21} = \frac{1}{3}$.
2. Сокращаем переменные:
- Для $x$: $\frac{x^4}{x^5} = x^{4-5} = x^{-1} = \frac{1}{x}$.
- Для $y$: $\frac{y^3}{y^2} = y^{3-2} = y^1 = y$.
Результат: $\frac{1 \cdot y}{3 \cdot x} = \frac{y}{3x}$.
Ответ: $\frac{y}{3x}$

з) Для сокращения дроби $\frac{-a^2b^4c}{-abc}$:
1. Знак дроби: частное двух отрицательных чисел положительно.
2. Сокращаем переменные:
- Для $a$: $\frac{a^2}{a} = a^{2-1} = a$.
- Для $b$: $\frac{b^4}{b} = b^{4-1} = b^3$.
- Для $c$: $\frac{c}{c} = 1$.
Результат: $ab^3$.
Ответ: $ab^3$

и) Для сокращения дроби $\frac{bc^5d}{b^2c^5}$:
1. Сокращаем переменные:
- Для $b$: $\frac{b}{b^2} = b^{1-2} = b^{-1} = \frac{1}{b}$.
- Для $c$: $\frac{c^5}{c^5} = 1$.
- Переменная $d$ остается в числителе.
Результат: $\frac{d}{b}$.
Ответ: $\frac{d}{b}$

к) Для сокращения дроби $\frac{7x^9y^4z^7}{x^8y^5z^6}$:
1. Числовой коэффициент $7$ остается в числителе.
2. Сокращаем переменные:
- Для $x$: $\frac{x^9}{x^8} = x^{9-8} = x$.
- Для $y$: $\frac{y^4}{y^5} = y^{4-5} = y^{-1} = \frac{1}{y}$.
- Для $z$: $\frac{z^7}{z^6} = z^{7-6} = z$.
Результат: $\frac{7xz}{y}$. Числовой коэффициент $7$ является целой частью неправильной дроби $\frac{7}{1}$.
Ответ: $\frac{\mathbf{7}xz}{y}$

л) Для сокращения дроби $\frac{15a^3b^4c^5}{5a^2b^3c^4}$:
1. Сокращаем числовые коэффициенты $15$ и $5$. НОД равен $5$: $\frac{15}{5} = 3$.
2. Сокращаем переменные:
- Для $a$: $\frac{a^3}{a^2} = a^{3-2} = a$.
- Для $b$: $\frac{b^4}{b^3} = b^{4-1} = b$.
- Для $c$: $\frac{c^5}{c^4} = c^{5-4} = c$.
Результат: $3abc$. Числовой коэффициент $3$ является целой частью неправильной дроби $\frac{15}{5}$.
Ответ: $\mathbf{3}abc$

м) Для сокращения дроби $\frac{8xy^2z^3}{24x^2y^4z^3}$:
1. Сокращаем числовые коэффициенты $8$ и $24$. НОД равен $8$: $\frac{8}{24} = \frac{1}{3}$.
2. Сокращаем переменные:
- Для $x$: $\frac{x}{x^2} = x^{1-2} = x^{-1} = \frac{1}{x}$.
- Для $y$: $\frac{y^2}{y^4} = y^{2-4} = y^{-2} = \frac{1}{y^2}$.
- Для $z$: $\frac{z^3}{z^3} = 1$.
Результат: $\frac{1}{3xy^2}$.
Ответ: $\frac{1}{3xy^2}$

Помогло решение? Оставьте отзыв в комментариях ниже.

Присоединяйтесь к Телеграм-группе @gdz_by_belarus

Присоединиться

Мы подготовили для вас ответ c подробным объяснением домашего задания по алгебре за 9 класс, для упражнения номер 1.65 расположенного на странице 29 к учебнику 2019 года издания для учащихся школ и гимназий.

Теперь на нашем сайте ГДЗ.ТОП вы всегда легко и бесплатно найдёте условие с правильным ответом на вопрос «Как решить ДЗ» и «Как сделать» задание по алгебре к упражнению №1.65 (с. 29), авторов: Арефьева (Ирина Глебовна), Пирютко (Ольга Николаевна), учебного пособия издательства Народная асвета.