Номер 2.147, страница 128 - гдз по алгебре 9 класс учебник Арефьева, Пирютко

Алгебра, 9 класс Учебник, авторы: Арефьева Ирина Глебовна, Пирютко Ольга Николаевна, издательство Народная асвета, Минск, 2019, голубого цвета

Авторы: Арефьева И. Г., Пирютко О. Н.

Тип: Учебник

Издательство: Народная асвета

Год издания: 2019 - 2025

Цвет обложки: голубой, синий с графиком

ISBN: 978-985-03-3077-2

Допущено Министерством образования Республики Беларусь

Популярные ГДЗ в 9 классе

Глава 2. Функции. Параграф 9. Построение графиков функций y=f(x)±b, y=f(x±a) - номер 2.147, страница 128.

№2.147 (с. 128)
Условие. №2.147 (с. 128)
скриншот условия
Алгебра, 9 класс Учебник, авторы: Арефьева Ирина Глебовна, Пирютко Ольга Николаевна, издательство Народная асвета, Минск, 2019, голубого цвета, страница 128, номер 2.147, Условие

2.147. С помощью преобразований графика функции $y = -x^2$ постройте графики функций, предварительно представив их в виде $y = -(x - m)^2 + n:$

а) $y = -x^2 + 6x - 9;$

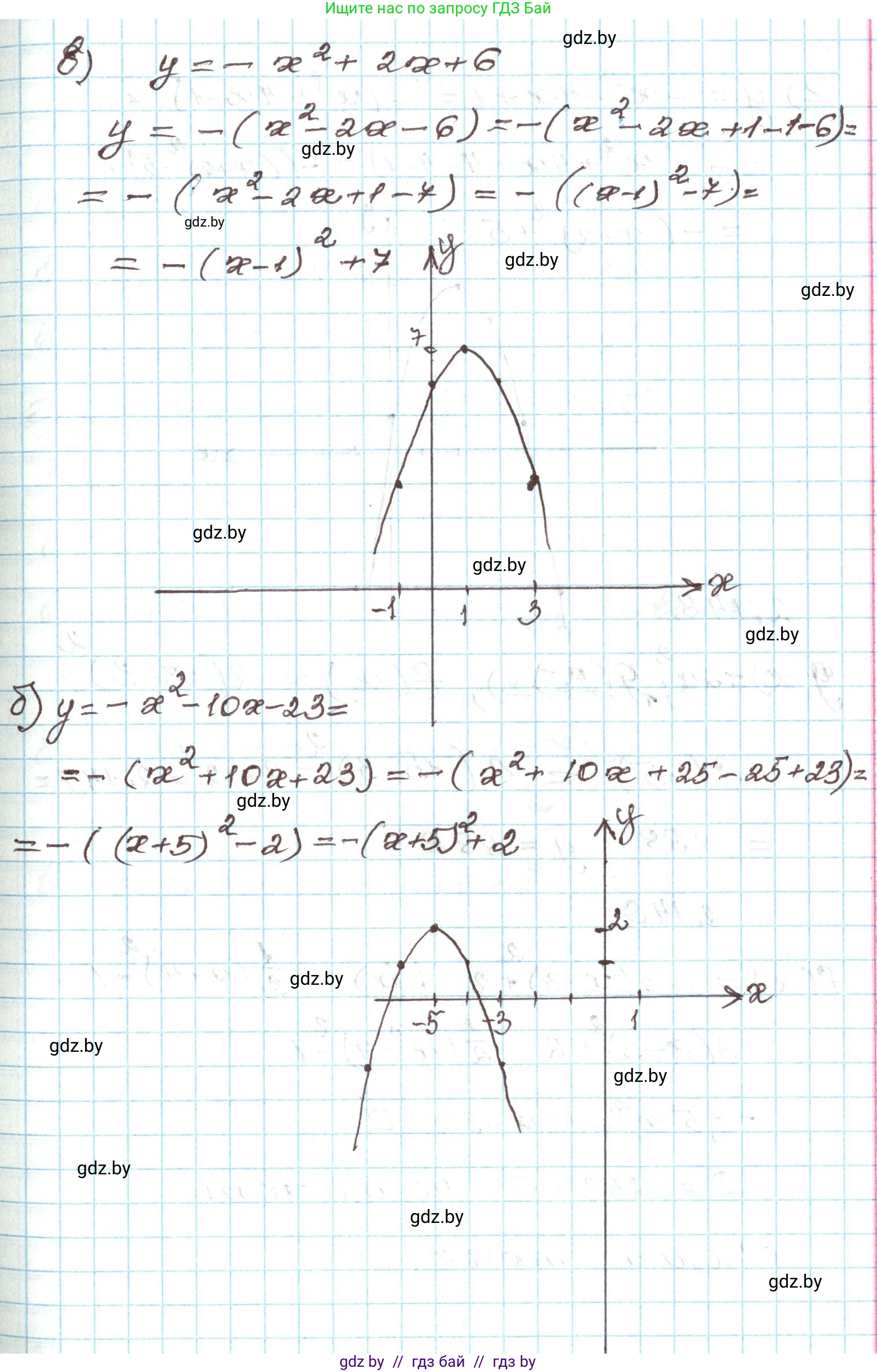
б) $y = -x^2 - 10x - 23;$

в) $y = -x^2 + 2x + 6;$

г) $y = -x^2 - 4x + 1.$

Решение. №2.147 (с. 128)
Алгебра, 9 класс Учебник, авторы: Арефьева Ирина Глебовна, Пирютко Ольга Николаевна, издательство Народная асвета, Минск, 2019, голубого цвета, страница 128, номер 2.147, Решение Алгебра, 9 класс Учебник, авторы: Арефьева Ирина Глебовна, Пирютко Ольга Николаевна, издательство Народная асвета, Минск, 2019, голубого цвета, страница 128, номер 2.147, Решение (продолжение 2)
Решение 2. №2.147 (с. 128)

Для построения графиков заданных функций с помощью преобразований графика функции $y = -x^2$ необходимо представить каждую функцию в виде $y = -(x-m)^2+n$. Этот вид называется вершинной формой параболы, где $(m; n)$ — координаты вершины параболы.

Преобразование в вершинную форму осуществляется методом выделения полного квадрата.

а) $y = -x^2 + 6x - 9$

Вынесем знак минус за скобки, чтобы получить выражение, которое можно свернуть в полный квадрат:

$y = -(x^2 - 6x + 9)$

Заметим, что выражение в скобках является полным квадратом разности по формуле $(a-b)^2 = a^2 - 2ab + b^2$. В нашем случае $a=x$ и $b=3$.

$x^2 - 6x + 9 = (x - 3)^2$

Таким образом, функция принимает вид:

$y = -(x - 3)^2$

В данном случае $m = 3$ и $n = 0$. График этой функции получается из графика $y = -x^2$ путем параллельного переноса (сдвига) на 3 единицы вправо вдоль оси абсцисс (Ox).

Ответ: $y = -(x - 3)^2$.

б) $y = -x^2 - 10x - 23$

Выделим полный квадрат. Сначала вынесем -1 за скобки у членов, содержащих $x$:

$y = -(x^2 + 10x) - 23$

Чтобы выражение в скобках стало полным квадратом $(x+5)^2 = x^2 + 10x + 25$, нам нужно добавить и вычесть 25 внутри скобок:

$y = -(x^2 + 10x + 25 - 25) - 23$

Теперь сгруппируем члены, образующие полный квадрат:

$y = -((x + 5)^2 - 25) - 23$

Раскроем внешние скобки:

$y = -(x + 5)^2 + 25 - 23$

$y = -(x + 5)^2 + 2$

В данном случае $m = -5$ и $n = 2$. График этой функции получается из графика $y = -x^2$ путем сдвига на 5 единиц влево вдоль оси Ox и на 2 единицы вверх вдоль оси ординат (Oy).

Ответ: $y = -(x + 5)^2 + 2$.

в) $y = -x^2 + 2x + 6$

Выделим полный квадрат. Вынесем -1 за скобки у членов, содержащих $x$:

$y = -(x^2 - 2x) + 6$

Для получения полного квадрата $(x-1)^2 = x^2 - 2x + 1$, добавим и вычтем 1 внутри скобок:

$y = -(x^2 - 2x + 1 - 1) + 6$

Сгруппируем члены и раскроем скобки:

$y = -((x - 1)^2 - 1) + 6$

$y = -(x - 1)^2 + 1 + 6$

$y = -(x - 1)^2 + 7$

Здесь $m = 1$ и $n = 7$. График функции получается из графика $y = -x^2$ путем сдвига на 1 единицу вправо вдоль оси Ox и на 7 единиц вверх вдоль оси Oy.

Ответ: $y = -(x - 1)^2 + 7$.

г) $y = -x^2 - 4x + 1$

Выделим полный квадрат. Вынесем -1 за скобки у членов, содержащих $x$:

$y = -(x^2 + 4x) + 1$

Для получения полного квадрата $(x+2)^2 = x^2 + 4x + 4$, добавим и вычтем 4 внутри скобок:

$y = -(x^2 + 4x + 4 - 4) + 1$

Сгруппируем члены и раскроем скобки:

$y = -((x + 2)^2 - 4) + 1$

$y = -(x + 2)^2 + 4 + 1$

$y = -(x + 2)^2 + 5$

Здесь $m = -2$ и $n = 5$. График функции получается из графика $y = -x^2$ путем сдвига на 2 единицы влево вдоль оси Ox и на 5 единиц вверх вдоль оси Oy.

Ответ: $y = -(x + 2)^2 + 5$.

Помогло решение? Оставьте отзыв в комментариях ниже.

Присоединяйтесь к Телеграм-группе @gdz_by_belarus

Присоединиться

Мы подготовили для вас ответ c подробным объяснением домашего задания по алгебре за 9 класс, для упражнения номер 2.147 расположенного на странице 128 к учебнику 2019 года издания для учащихся школ и гимназий.

Теперь на нашем сайте ГДЗ.ТОП вы всегда легко и бесплатно найдёте условие с правильным ответом на вопрос «Как решить ДЗ» и «Как сделать» задание по алгебре к упражнению №2.147 (с. 128), авторов: Арефьева (Ирина Глебовна), Пирютко (Ольга Николаевна), учебного пособия издательства Народная асвета.