Номер 2.6, страница 84 - гдз по алгебре 9 класс учебник Арефьева, Пирютко

Алгебра, 9 класс Учебник, авторы: Арефьева Ирина Глебовна, Пирютко Ольга Николаевна, издательство Народная асвета, Минск, 2019, голубого цвета

Авторы: Арефьева И. Г., Пирютко О. Н.

Тип: Учебник

Издательство: Народная асвета

Год издания: 2019 - 2025

Цвет обложки: голубой, синий с графиком

ISBN: 978-985-03-3077-2

Допущено Министерством образования Республики Беларусь

Популярные ГДЗ в 9 классе

Глава 2. Функции. Параграф 6. Функция числового аргумента. Область определения, множество значений. Способы задания функции - номер 2.6, страница 84.

№2.6 (с. 84)
Условие. №2.6 (с. 84)
скриншот условия
Алгебра, 9 класс Учебник, авторы: Арефьева Ирина Глебовна, Пирютко Ольга Николаевна, издательство Народная асвета, Минск, 2019, голубого цвета, страница 84, номер 2.6, Условие

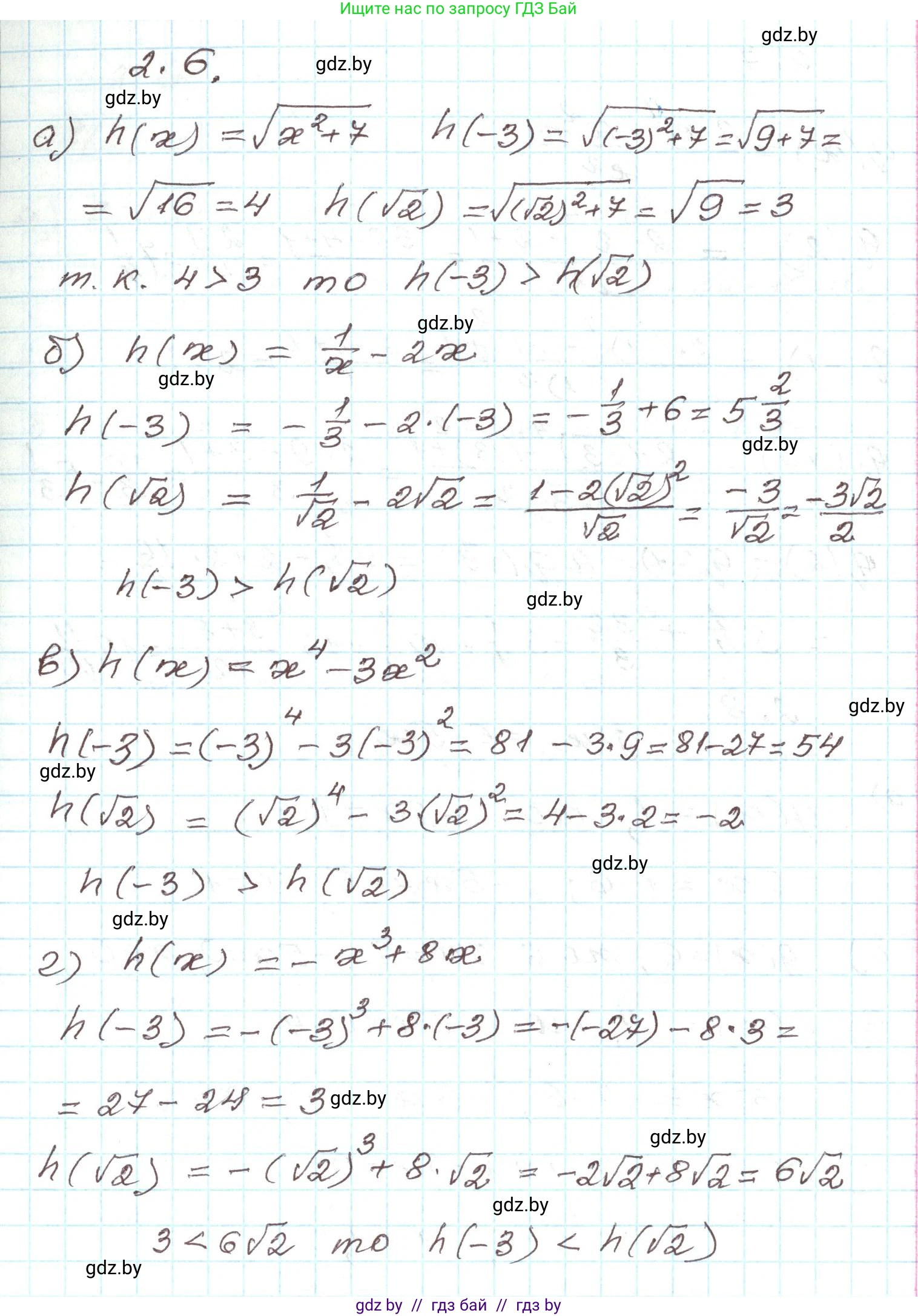
2.6. Сравните значения $h(-3)$ и $h(\sqrt{2})$, если функция задана формулой:

а) $h(x) = \sqrt{x^2 + 7}$;

б) $h(x) = \frac{1}{x} - 2x$;

в) $h(x) = x^4 - 3x^2$;

г) $h(x) = -x^3 + 8x$.

Решение. №2.6 (с. 84)
Алгебра, 9 класс Учебник, авторы: Арефьева Ирина Глебовна, Пирютко Ольга Николаевна, издательство Народная асвета, Минск, 2019, голубого цвета, страница 84, номер 2.6, Решение
Решение 2. №2.6 (с. 84)

а) Для функции $h(x) = \sqrt{x^2 + 7}$ найдем значения $h(-3)$ и $h(\sqrt{2})$.

1. Вычислим $h(-3)$:
$h(-3) = \sqrt{(-3)^2 + 7} = \sqrt{9 + 7} = \sqrt{16} = 4$.

2. Вычислим $h(\sqrt{2})$:
$h(\sqrt{2}) = \sqrt{(\sqrt{2})^2 + 7} = \sqrt{2 + 7} = \sqrt{9} = 3$.

3. Сравним полученные значения:
$4 > 3$, следовательно, $h(-3) > h(\sqrt{2})$.

Ответ: $h(-3) > h(\sqrt{2})$.

б) Для функции $h(x) = \frac{1}{x} - 2x$ найдем значения $h(-3)$ и $h(\sqrt{2})$.

1. Вычислим $h(-3)$:
$h(-3) = \frac{1}{-3} - 2(-3) = -\frac{1}{3} + 6 = 5\frac{2}{3}$.

2. Вычислим $h(\sqrt{2})$:
$h(\sqrt{2}) = \frac{1}{\sqrt{2}} - 2\sqrt{2} = \frac{\sqrt{2}}{2} - 2\sqrt{2} = \frac{\sqrt{2} - 4\sqrt{2}}{2} = -\frac{3\sqrt{2}}{2}$.

3. Сравним полученные значения:
$h(-3) = 5\frac{2}{3}$ — положительное число.
$h(\sqrt{2}) = -\frac{3\sqrt{2}}{2}$ — отрицательное число.
Любое положительное число больше любого отрицательного, поэтому $5\frac{2}{3} > -\frac{3\sqrt{2}}{2}$.

Ответ: $h(-3) > h(\sqrt{2})$.

в) Для функции $h(x) = x^4 - 3x^2$ найдем значения $h(-3)$ и $h(\sqrt{2})$.

1. Вычислим $h(-3)$:
$h(-3) = (-3)^4 - 3(-3)^2 = 81 - 3 \cdot 9 = 81 - 27 = 54$.

2. Вычислим $h(\sqrt{2})$:
$h(\sqrt{2}) = (\sqrt{2})^4 - 3(\sqrt{2})^2 = ((\sqrt{2})^2)^2 - 3 \cdot 2 = 2^2 - 6 = 4 - 6 = -2$.

3. Сравним полученные значения:
$54 > -2$, следовательно, $h(-3) > h(\sqrt{2})$.

Ответ: $h(-3) > h(\sqrt{2})$.

г) Для функции $h(x) = -x^3 + 8x$ найдем значения $h(-3)$ и $h(\sqrt{2})$.

1. Вычислим $h(-3)$:
$h(-3) = -(-3)^3 + 8(-3) = -(-27) - 24 = 27 - 24 = 3$.

2. Вычислим $h(\sqrt{2})$:
$h(\sqrt{2}) = -(\sqrt{2})^3 + 8(\sqrt{2}) = -2\sqrt{2} + 8\sqrt{2} = 6\sqrt{2}$.

3. Сравним полученные значения $3$ и $6\sqrt{2}$.
Так как оба числа положительные, мы можем сравнить их квадраты:
$3^2 = 9$.
$(6\sqrt{2})^2 = 6^2 \cdot (\sqrt{2})^2 = 36 \cdot 2 = 72$.
Поскольку $9 < 72$, то $3 < 6\sqrt{2}$.

Ответ: $h(-3) < h(\sqrt{2})$.

Помогло решение? Оставьте отзыв в комментариях ниже.

Присоединяйтесь к Телеграм-группе @gdz_by_belarus

Присоединиться

Мы подготовили для вас ответ c подробным объяснением домашего задания по алгебре за 9 класс, для упражнения номер 2.6 расположенного на странице 84 к учебнику 2019 года издания для учащихся школ и гимназий.

Теперь на нашем сайте ГДЗ.ТОП вы всегда легко и бесплатно найдёте условие с правильным ответом на вопрос «Как решить ДЗ» и «Как сделать» задание по алгебре к упражнению №2.6 (с. 84), авторов: Арефьева (Ирина Глебовна), Пирютко (Ольга Николаевна), учебного пособия издательства Народная асвета.