Номер 2.9, страница 84 - гдз по алгебре 9 класс учебник Арефьева, Пирютко

Алгебра, 9 класс Учебник, авторы: Арефьева Ирина Глебовна, Пирютко Ольга Николаевна, издательство Народная асвета, Минск, 2019, голубого цвета

Авторы: Арефьева И. Г., Пирютко О. Н.

Тип: Учебник

Издательство: Народная асвета

Год издания: 2019 - 2025

Цвет обложки: голубой, синий с графиком

ISBN: 978-985-03-3077-2

Допущено Министерством образования Республики Беларусь

Популярные ГДЗ в 9 классе

Глава 2. Функции. Параграф 6. Функция числового аргумента. Область определения, множество значений. Способы задания функции - номер 2.9, страница 84.

№2.9 (с. 84)
Условие. №2.9 (с. 84)
скриншот условия
Алгебра, 9 класс Учебник, авторы: Арефьева Ирина Глебовна, Пирютко Ольга Николаевна, издательство Народная асвета, Минск, 2019, голубого цвета, страница 84, номер 2.9, Условие

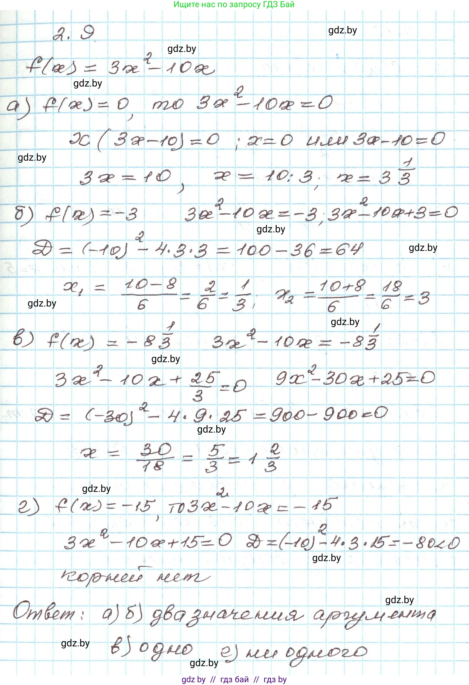
2.9. Известно, что $f(x) = 3x^2 - 10x$. Сколько существует значений аргумента, при которых:

а) $f(x) = 0$;

б) $f(x) = -3$;

в) $f(x) = -8\frac{1}{3}$;

г) $f(x) = -15?

Решение. №2.9 (с. 84)
Алгебра, 9 класс Учебник, авторы: Арефьева Ирина Глебовна, Пирютко Ольга Николаевна, издательство Народная асвета, Минск, 2019, голубого цвета, страница 84, номер 2.9, Решение
Решение 2. №2.9 (с. 84)

Для ответа на вопрос необходимо для каждого случая решить уравнение $f(x) = k$, где $k$ — заданное значение функции, и найти количество действительных корней.

а) $f(x) = 0$
Чтобы найти значения аргумента, при которых $f(x)=0$, решим уравнение:$3x^2 - 10x = 0$
Это неполное квадратное уравнение. Вынесем $x$ за скобки:$x(3x - 10) = 0$
Произведение равно нулю, когда один из множителей равен нулю. Отсюда получаем два корня:$x_1 = 0$
$3x - 10 = 0 \implies 3x = 10 \implies x_2 = \frac{10}{3} = \mathbf{3}\frac{1}{3}$
Уравнение имеет два различных корня. Ответ: 2.

б) $f(x) = -3$
Чтобы найти значения аргумента, при которых $f(x)=-3$, решим уравнение:$3x^2 - 10x = -3$
$3x^2 - 10x + 3 = 0$
Найдем дискриминант $D$ этого квадратного уравнения ($a=3, b=-10, c=3$):$D = b^2 - 4ac = (-10)^2 - 4 \cdot 3 \cdot 3 = 100 - 36 = 64$
Так как $D > 0$, уравнение имеет два различных действительных корня. Найдем их:$x = \frac{-(-10) \pm \sqrt{64}}{2 \cdot 3} = \frac{10 \pm 8}{6}$
$x_1 = \frac{10 + 8}{6} = \frac{18}{6} = 3$
$x_2 = \frac{10 - 8}{6} = \frac{2}{6} = \frac{1}{3}$
Уравнение имеет два различных корня. Ответ: 2.

в) $f(x) = -8\frac{1}{3}$
Сначала преобразуем смешанное число в неправильную дробь: $-8\frac{1}{3} = -\frac{25}{3}$.
Решим уравнение:$3x^2 - 10x = -\frac{25}{3}$
Умножим обе части уравнения на 3, чтобы избавиться от знаменателя:$9x^2 - 30x = -25$
$9x^2 - 30x + 25 = 0$
Найдем дискриминант $D$ ($a=9, b=-30, c=25$):$D = b^2 - 4ac = (-30)^2 - 4 \cdot 9 \cdot 25 = 900 - 900 = 0$
Так как $D = 0$, уравнение имеет один действительный корень. Его можно найти по формуле $x = -\frac{b}{2a}$:$x = \frac{-(-30)}{2 \cdot 9} = \frac{30}{18} = \frac{5}{3} = \mathbf{1}\frac{2}{3}$
Уравнение имеет один корень. Ответ: 1.

г) $f(x) = -15$
Чтобы найти значения аргумента, при которых $f(x)=-15$, решим уравнение:$3x^2 - 10x = -15$
$3x^2 - 10x + 15 = 0$
Найдем дискриминант $D$ этого квадратного уравнения ($a=3, b=-10, c=15$):$D = b^2 - 4ac = (-10)^2 - 4 \cdot 3 \cdot 15 = 100 - 180 = -80$
Так как $D < 0$, уравнение не имеет действительных корней.
Следовательно, не существует значений аргумента, при которых значение функции равно -15. Ответ: 0.

Помогло решение? Оставьте отзыв в комментариях ниже.

Присоединяйтесь к Телеграм-группе @gdz_by_belarus

Присоединиться

Мы подготовили для вас ответ c подробным объяснением домашего задания по алгебре за 9 класс, для упражнения номер 2.9 расположенного на странице 84 к учебнику 2019 года издания для учащихся школ и гимназий.

Теперь на нашем сайте ГДЗ.ТОП вы всегда легко и бесплатно найдёте условие с правильным ответом на вопрос «Как решить ДЗ» и «Как сделать» задание по алгебре к упражнению №2.9 (с. 84), авторов: Арефьева (Ирина Глебовна), Пирютко (Ольга Николаевна), учебного пособия издательства Народная асвета.