Номер 7, страница 134 - гдз по алгебре 9 класс учебник Арефьева, Пирютко

Алгебра, 9 класс Учебник, авторы: Арефьева Ирина Глебовна, Пирютко Ольга Николаевна, издательство Народная асвета, Минск, 2019, голубого цвета

Авторы: Арефьева И. Г., Пирютко О. Н.

Тип: Учебник

Издательство: Народная асвета

Год издания: 2019 - 2025

Цвет обложки: голубой, синий с графиком

ISBN: 978-985-03-3077-2

Допущено Министерством образования Республики Беларусь

Популярные ГДЗ в 9 классе

Глава 2. Функции. Я проверяю свои знания - номер 7, страница 134.

№7 (с. 134)
Условие. №7 (с. 134)
скриншот условия
Алгебра, 9 класс Учебник, авторы: Арефьева Ирина Глебовна, Пирютко Ольга Николаевна, издательство Народная асвета, Минск, 2019, голубого цвета, страница 134, номер 7, Условие

7. Найдите область определения функции, заданной формулой:

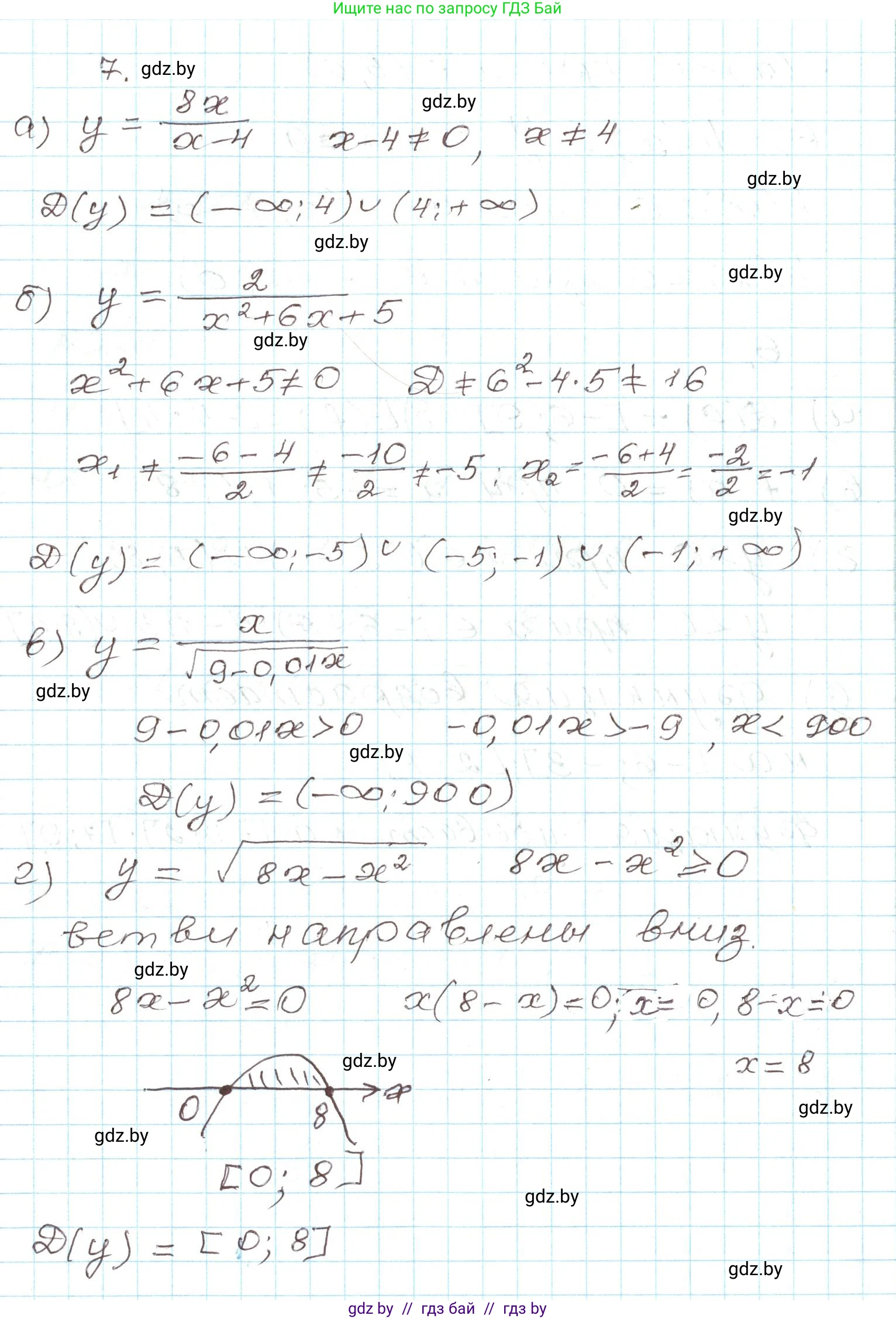
а) $y = \frac{8x}{x-4}$;

б) $y = \frac{2}{x^2+6x+5}$;

в) $y = \frac{x}{\sqrt{9-0,01x}}$;

г) $y = \sqrt{8x-x^2}$;

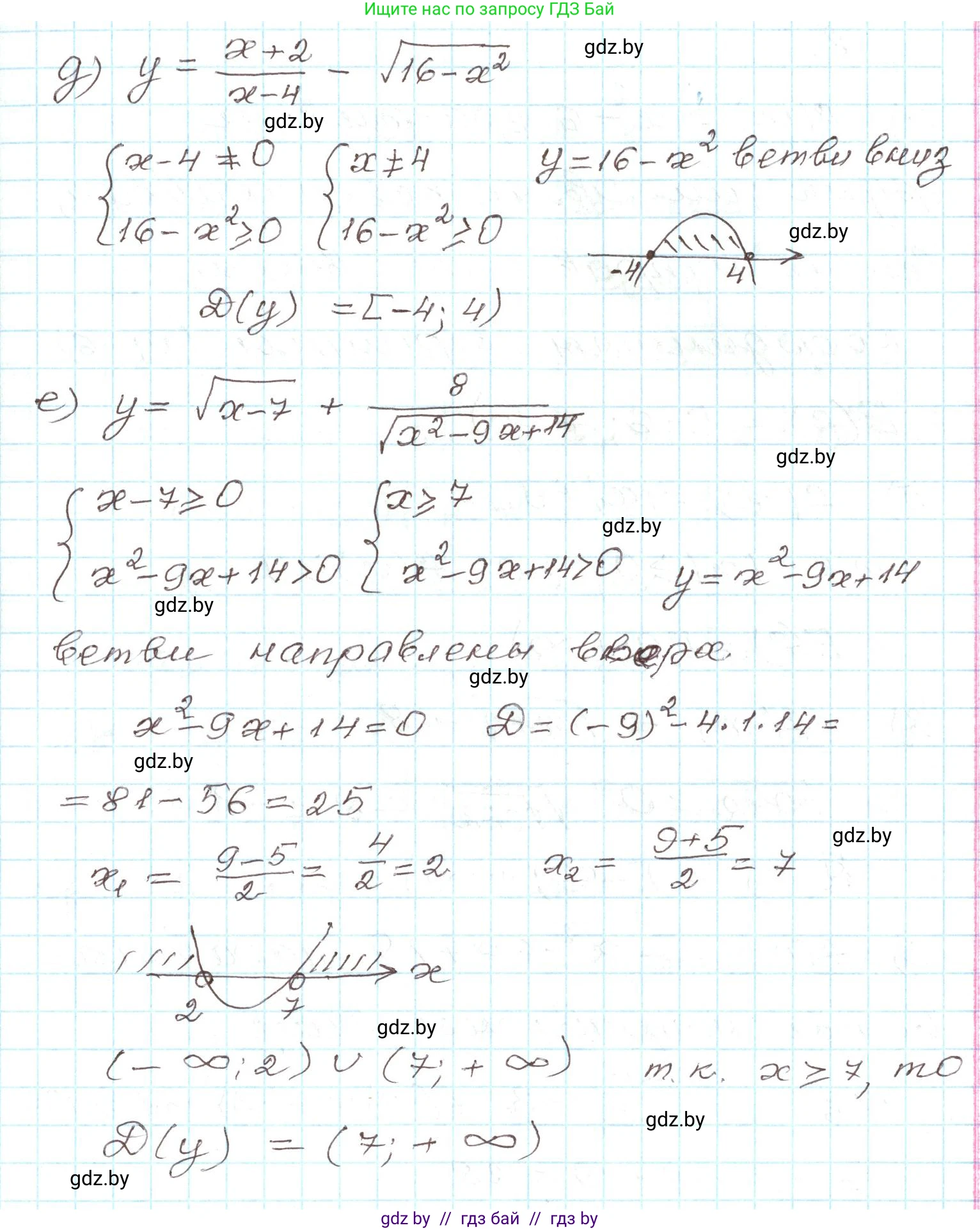
д) $y = \frac{x+2}{x-4} - \sqrt{16-x^2}$;

е) $y = \sqrt{x-7} + \frac{8}{\sqrt{x^2-9x+14}}$.

Решение. №7 (с. 134)
Алгебра, 9 класс Учебник, авторы: Арефьева Ирина Глебовна, Пирютко Ольга Николаевна, издательство Народная асвета, Минск, 2019, голубого цвета, страница 134, номер 7, Решение Алгебра, 9 класс Учебник, авторы: Арефьева Ирина Глебовна, Пирютко Ольга Николаевна, издательство Народная асвета, Минск, 2019, голубого цвета, страница 134, номер 7, Решение (продолжение 2)
Решение 2. №7 (с. 134)

а) Областью определения функции $y = \frac{8x}{x-4}$ являются все действительные числа, кроме тех, при которых знаменатель $x-4$ равен нулю.
Найдем недопустимое значение $x$:
$x - 4 = 0$
$x = 4$
Таким образом, область определения функции — это все действительные числа, кроме $x=4$.
Ответ: $(-\infty; 4) \cup (4; +\infty)$.

б) Областью определения функции $y = \frac{2}{x^2 + 6x + 5}$ являются все действительные числа, кроме тех, при которых знаменатель $x^2 + 6x + 5$ равен нулю.
Решим квадратное уравнение, чтобы найти недопустимые значения $x$:
$x^2 + 6x + 5 = 0$
Используя теорему Виета, находим корни:
$x_1 + x_2 = -6$
$x_1 \cdot x_2 = 5$
$x_1 = -5$, $x_2 = -1$.
Следовательно, область определения — это все действительные числа, кроме $-5$ и $-1$.
Ответ: $(-\infty; -5) \cup (-5; -1) \cup (-1; +\infty)$.

в) В функции $y = \frac{x}{\sqrt{9 - 0.01x}}$ выражение в знаменателе находится под знаком квадратного корня. Это накладывает два условия: подкоренное выражение должно быть неотрицательным, и сам знаменатель не должен быть равен нулю. Объединив эти условия, получаем, что подкоренное выражение должно быть строго больше нуля.
Решим неравенство:
$9 - 0.01x > 0$
$9 > 0.01x$
$x < \frac{9}{0.01}$
$x < 900$
Ответ: $(-\infty; 900)$.

г) Для функции $y = \sqrt{8x - x^2}$ область определения — это все значения $x$, при которых подкоренное выражение неотрицательно.
Решим неравенство:
$8x - x^2 \ge 0$
$x(8 - x) \ge 0$
Найдем нули выражения: $x=0$ и $x=8$. Графиком функции $f(x) = 8x - x^2$ является парабола, ветви которой направлены вниз. Неотрицательные значения функция принимает на отрезке между корнями.
Следовательно, $0 \le x \le 8$.
Ответ: $[0; 8]$.

д) Область определения функции $y = \frac{x+2}{x-4} - \sqrt{16-x^2}$ является пересечением областей определения двух ее частей.
1. Для дроби $\frac{x+2}{x-4}$ знаменатель не может быть равен нулю: $x-4 \neq 0 \implies x \neq 4$.
2. Для корня $\sqrt{16-x^2}$ подкоренное выражение должно быть неотрицательным: $16-x^2 \ge 0 \implies x^2 \le 16 \implies -4 \le x \le 4$.
Найдем пересечение этих двух условий: $x$ должен принадлежать отрезку $[-4; 4]$ и при этом не быть равным 4.
Ответ: $[-4; 4)$.

е) Область определения функции $y = \sqrt{x-7} + \frac{8}{\sqrt{x^2 - 9x + 14}}$ является пересечением областей определения двух слагаемых.
1. Для первого слагаемого $\sqrt{x-7}$ должно выполняться условие: $x-7 \ge 0 \implies x \ge 7$.
2. Для второго слагаемого $\frac{8}{\sqrt{x^2 - 9x + 14}}$ подкоренное выражение в знаменателе должно быть строго положительным: $x^2 - 9x + 14 > 0$.
Найдем корни уравнения $x^2 - 9x + 14 = 0$. По теореме Виета, $x_1=2$, $x_2=7$.
Так как это парабола с ветвями вверх, неравенство $x^2 - 9x + 14 > 0$ выполняется при $x < 2$ или $x > 7$.
Найдем пересечение двух условий: $x \ge 7$ и ($x < 2$ или $x > 7$). Общим решением является $x > 7$.
Ответ: $(7; +\infty)$.

Помогло решение? Оставьте отзыв в комментариях ниже.

Присоединяйтесь к Телеграм-группе @gdz_by_belarus

Присоединиться

Мы подготовили для вас ответ c подробным объяснением домашего задания по алгебре за 9 класс, для упражнения номер 7 расположенного на странице 134 к учебнику 2019 года издания для учащихся школ и гимназий.

Теперь на нашем сайте ГДЗ.ТОП вы всегда легко и бесплатно найдёте условие с правильным ответом на вопрос «Как решить ДЗ» и «Как сделать» задание по алгебре к упражнению №7 (с. 134), авторов: Арефьева (Ирина Глебовна), Пирютко (Ольга Николаевна), учебного пособия издательства Народная асвета.