Номер 8, страница 134 - гдз по алгебре 9 класс учебник Арефьева, Пирютко

Алгебра, 9 класс Учебник, авторы: Арефьева Ирина Глебовна, Пирютко Ольга Николаевна, издательство Народная асвета, Минск, 2019, голубого цвета

Авторы: Арефьева И. Г., Пирютко О. Н.

Тип: Учебник

Издательство: Народная асвета

Год издания: 2019 - 2025

Цвет обложки: голубой, синий с графиком

ISBN: 978-985-03-3077-2

Допущено Министерством образования Республики Беларусь

Популярные ГДЗ в 9 классе

Глава 2. Функции. Я проверяю свои знания - номер 8, страница 134.

№8 (с. 134)
Условие. №8 (с. 134)
скриншот условия
Алгебра, 9 класс Учебник, авторы: Арефьева Ирина Глебовна, Пирютко Ольга Николаевна, издательство Народная асвета, Минск, 2019, голубого цвета, страница 134, номер 8, Условие

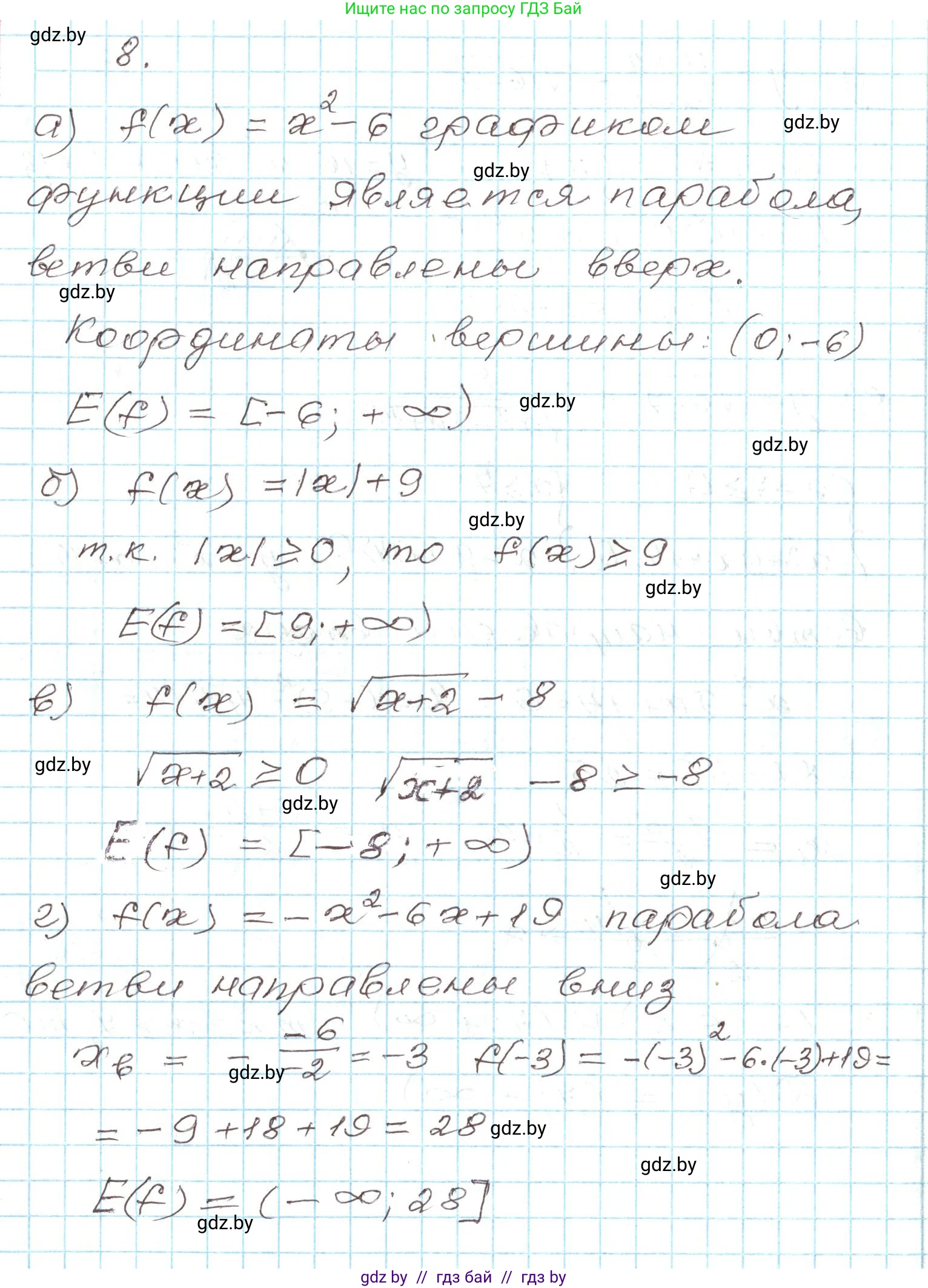
8. Проанализируйте условие и найдите множество зна-чений функции:

а) $f(x) = x^2 - 6;$

б) $f(x) = |x| + 9;$

в) $f(x) = \sqrt{x + 2} - 8;$

г) $f(x) = -x^2 - 6x + 19.$

Решение. №8 (с. 134)
Алгебра, 9 класс Учебник, авторы: Арефьева Ирина Глебовна, Пирютко Ольга Николаевна, издательство Народная асвета, Минск, 2019, голубого цвета, страница 134, номер 8, Решение
Решение 2. №8 (с. 134)

Для нахождения множества значений функции необходимо определить все возможные значения, которые может принимать переменная $y$ (или $f(x)$). Множество значений функции также называют областью значений и обозначают как $E(f)$.

а) $f(x) = x^2 - 6$;

Функция $f(x) = x^2 - 6$ является квадратичной. Ее график — это парабола, ветви которой направлены вверх, так как коэффициент при $x^2$ положителен ($a=1$). Следовательно, функция имеет наименьшее значение, которое достигается в вершине параболы.

1. Найдем координаты вершины параболы $(x_v, y_v)$. Абсцисса вершины вычисляется по формуле $x_v = -\frac{b}{2a}$. Для данной функции $a=1, b=0$.
$x_v = -\frac{0}{2 \cdot 1} = 0$.

2. Найдем ординату вершины, подставив $x_v$ в уравнение функции. Это и будет наименьшее значение функции.
$y_v = f(0) = 0^2 - 6 = -6$.

Поскольку ветви параболы уходят в бесконечность вверх, множество значений функции — это все числа от -6 (включительно) и больше.

Таким образом, множество значений функции: $[-6; +\infty)$.
Ответ: $E(f) = [-6; +\infty)$.

б) $f(x) = |x| + 9$;

1. Рассмотрим свойство модуля числа: $|x|$ всегда принимает неотрицательные значения, то есть $|x| \ge 0$ для любого действительного числа $x$.

2. Наименьшее значение выражения $|x|$ равно 0 и достигается при $x=0$.

3. Следовательно, наименьшее значение всей функции $f(x) = |x| + 9$ будет достигаться при наименьшем значении $|x|$:
$f_{min} = 0 + 9 = 9$.

Так как $|x|$ может принимать любое неотрицательное значение, то $f(x)$ будет принимать значения от 9 (включительно) до плюс бесконечности.

Таким образом, множество значений функции: $[9; +\infty)$.
Ответ: $E(f) = [9; +\infty)$.

в) $f(x) = \sqrt{x+2} - 8$;

1. Сначала найдем область определения функции. Выражение под знаком квадратного корня должно быть неотрицательным:
$x+2 \ge 0 \implies x \ge -2$.

2. Арифметический квадратный корень $\sqrt{x+2}$ по определению принимает только неотрицательные значения: $\sqrt{x+2} \ge 0$.

3. Наименьшее значение выражения $\sqrt{x+2}$ равно 0. Оно достигается при наименьшем возможном значении $x$, то есть $x=-2$.

4. Подставим наименьшее значение корня в функцию, чтобы найти ее наименьшее значение:
$f_{min} = 0 - 8 = -8$.

Поскольку $\sqrt{x+2}$ может принимать любое значение от 0 до $+\infty$, то $f(x)$ будет принимать значения от -8 (включительно) до плюс бесконечности.

Таким образом, множество значений функции: $[-8; +\infty)$.
Ответ: $E(f) = [-8; +\infty)$.

г) $f(x) = -x^2 - 6x + 19$;

Функция $f(x) = -x^2 - 6x + 19$ является квадратичной. Ее график — это парабола, ветви которой направлены вниз, так как коэффициент при $x^2$ отрицателен ($a=-1$). Следовательно, функция имеет наибольшее значение, которое достигается в вершине параболы.

1. Найдем координаты вершины параболы $(x_v, y_v)$. Для данной функции $a=-1, b=-6$.
$x_v = -\frac{b}{2a} = -\frac{-6}{2 \cdot (-1)} = \frac{6}{-2} = -3$.

2. Найдем ординату вершины, подставив $x_v$ в уравнение функции. Это и будет наибольшее значение функции.
$y_v = f(-3) = -(-3)^2 - 6(-3) + 19 = -9 + 18 + 19 = 28$.

Поскольку ветви параболы уходят в бесконечность вниз, множество значений функции — это все числа от $-\infty$ до 28 (включительно).

Таким образом, множество значений функции: $(-\infty; 28]$.
Ответ: $E(f) = (-\infty; 28]$.

Помогло решение? Оставьте отзыв в комментариях ниже.

Присоединяйтесь к Телеграм-группе @gdz_by_belarus

Присоединиться

Мы подготовили для вас ответ c подробным объяснением домашего задания по алгебре за 9 класс, для упражнения номер 8 расположенного на странице 134 к учебнику 2019 года издания для учащихся школ и гимназий.

Теперь на нашем сайте ГДЗ.ТОП вы всегда легко и бесплатно найдёте условие с правильным ответом на вопрос «Как решить ДЗ» и «Как сделать» задание по алгебре к упражнению №8 (с. 134), авторов: Арефьева (Ирина Глебовна), Пирютко (Ольга Николаевна), учебного пособия издательства Народная асвета.