Номер 3.173, страница 193 - гдз по алгебре 9 класс учебник Арефьева, Пирютко

Алгебра, 9 класс Учебник, авторы: Арефьева Ирина Глебовна, Пирютко Ольга Николаевна, издательство Народная асвета, Минск, 2019, голубого цвета

Авторы: Арефьева И. Г., Пирютко О. Н.

Тип: Учебник

Издательство: Народная асвета

Год издания: 2019 - 2025

Цвет обложки: голубой, синий с графиком

ISBN: 978-985-03-3077-2

Допущено Министерством образования Республики Беларусь

Популярные ГДЗ в 9 классе

Глава 3. Дробно-рациональные уравнения и неравенства. Параграф 13. Дробно-рациональные неравенства. Метод интервалов для решения рациональных неравенств - номер 3.173, страница 193.

№3.173 (с. 193)
Условие. №3.173 (с. 193)
скриншот условия
Алгебра, 9 класс Учебник, авторы: Арефьева Ирина Глебовна, Пирютко Ольга Николаевна, издательство Народная асвета, Минск, 2019, голубого цвета, страница 193, номер 3.173, Условие

3.173. Решите систему неравенств:

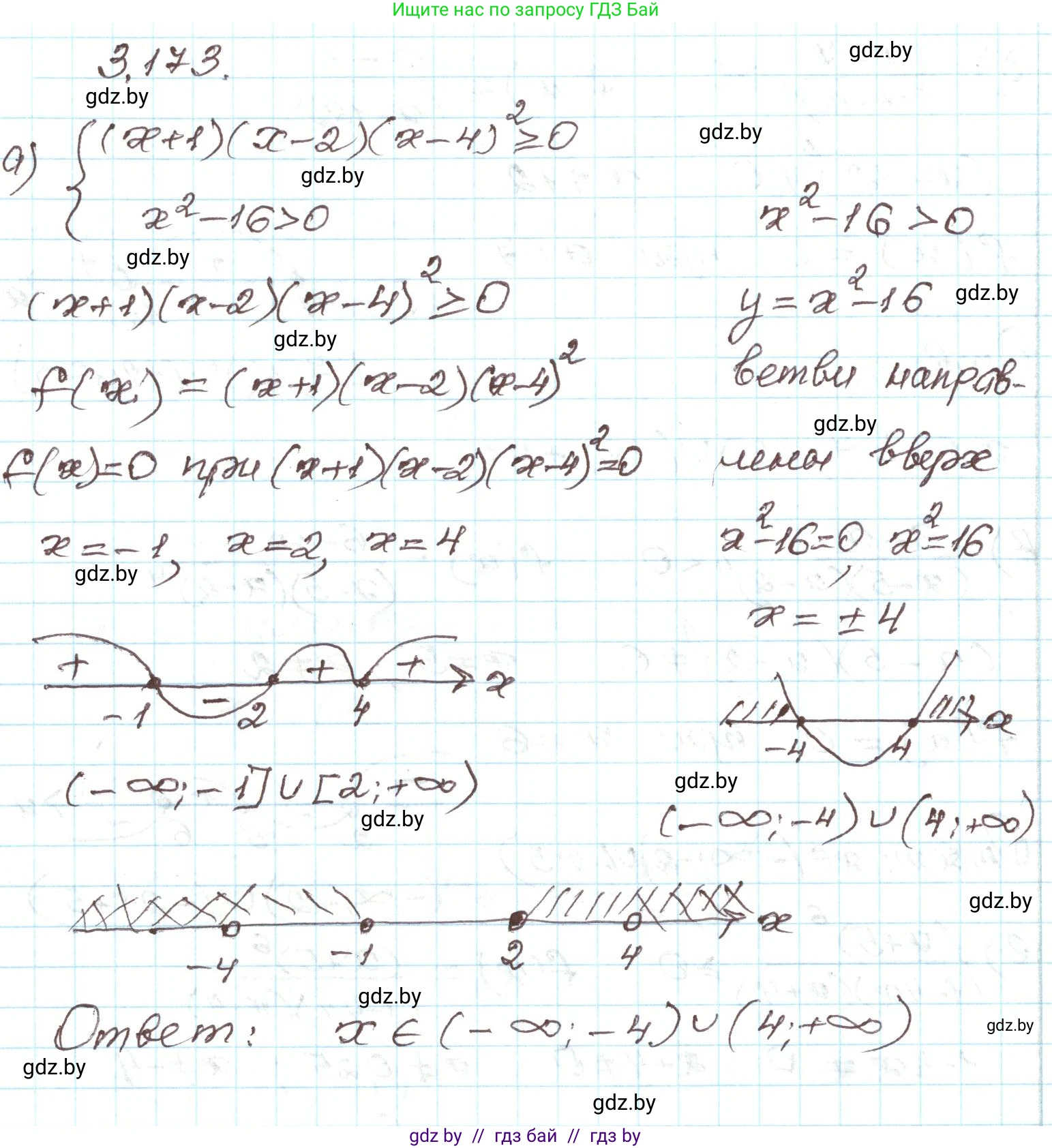
а) $\begin{cases} (x+1)(x-2)(x-4)^2 \ge 0, \\ x^2 - 16 > 0; \end{cases}$

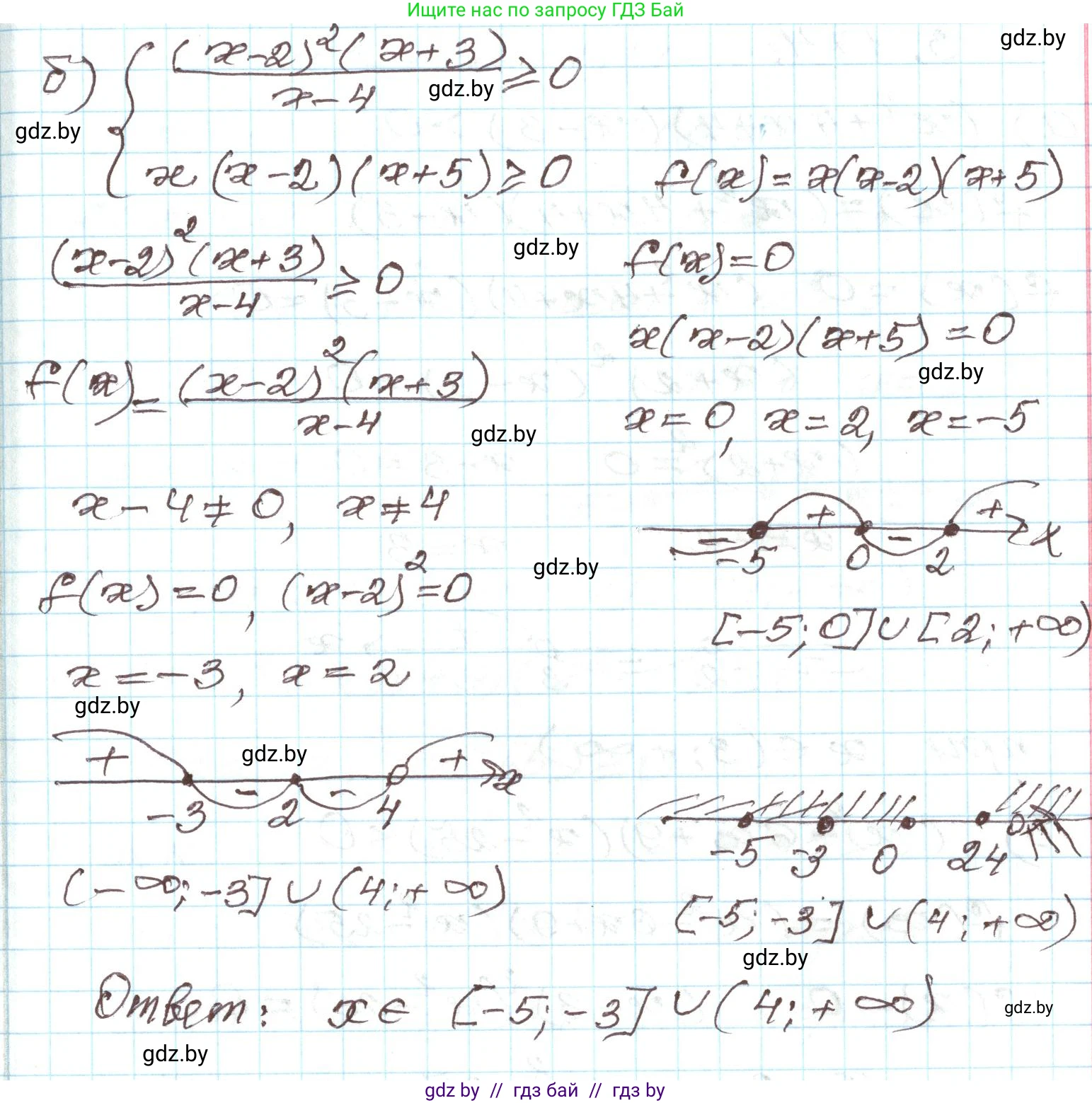
б) $\begin{cases} \frac{(x-2)^2(x+3)}{x-4} \ge 0, \\ x(x-2)(x+5) \ge 0. \end{cases}$

Решение. №3.173 (с. 193)
Алгебра, 9 класс Учебник, авторы: Арефьева Ирина Глебовна, Пирютко Ольга Николаевна, издательство Народная асвета, Минск, 2019, голубого цвета, страница 193, номер 3.173, Решение Алгебра, 9 класс Учебник, авторы: Арефьева Ирина Глебовна, Пирютко Ольга Николаевна, издательство Народная асвета, Минск, 2019, голубого цвета, страница 193, номер 3.173, Решение (продолжение 2)
Решение 2. №3.173 (с. 193)

а) Рассмотрим систему неравенств:

$$ \begin{cases} (x+1)(x-2)(x-4)^2 \ge 0 \\ x^2 - 16 > 0 \end{cases} $$

1. Решим первое неравенство $(x+1)(x-2)(x-4)^2 \ge 0$.

Используем метод интервалов. Найдем корни левой части: $x = -1$, $x = 2$, $x = 4$.
Корень $x=4$ имеет четную кратность (2), поэтому при переходе через эту точку знак выражения меняться не будет. Точки $x=-1, x=2, x=4$ являются решениями, так как неравенство нестрогое ($\ge$).
Определим знаки на интервалах:

  • При $x > 4$ (например, $x=5$): $(5+1)(5-2)(5-4)^2 = 6 \cdot 3 \cdot 1 > 0$. Интервал $(4, \infty)$ является решением.
  • При $2 < x < 4$ (например, $x=3$): $(3+1)(3-2)(3-4)^2 = 4 \cdot 1 \cdot 1 > 0$. Интервал $(2, 4)$ является решением.
  • При $-1 < x < 2$ (например, $x=0$): $(0+1)(0-2)(0-4)^2 = 1 \cdot (-2) \cdot 16 < 0$.
  • При $x < -1$ (например, $x=-2$): $(-2+1)(-2-2)(-2-4)^2 = (-1) \cdot (-4) \cdot 36 > 0$. Интервал $(-\infty, -1)$ является решением.

Объединяя интервалы и точки, где выражение равно нулю, получаем решение первого неравенства: $x \in (-\infty, -1] \cup [2, \infty)$.

2. Решим второе неравенство $x^2 - 16 > 0$.

Разложим на множители: $(x-4)(x+4) > 0$. Корни $x=4$ и $x=-4$. Ветви параболы $y=x^2-16$ направлены вверх, поэтому неравенство выполняется при $x$ за пределами корней.
Решение второго неравенства: $x \in (-\infty, -4) \cup (4, \infty)$.

3. Найдем пересечение (общее решение) для обоих неравенств:

$$((-\infty, -1] \cup [2, \infty)) \cap ((-\infty, -4) \cup (4, \infty))$$

Изобразив множества на числовой оси, видим, что их пересечением является $x \in (-\infty, -4) \cup (4, \infty)$.

Ответ: $(-\infty, -4) \cup (4, \infty)$.

б) Рассмотрим систему неравенств:

$$ \begin{cases} \frac{(x-2)^2(x+3)}{x-4} \ge 0 \\ x(x-2)(x+5) \ge 0 \end{cases} $$

1. Решим первое неравенство $\frac{(x-2)^2(x+3)}{x-4} \ge 0$.

Используем метод интервалов. Область допустимых значений (ОДЗ): $x \ne 4$.
Нули числителя: $x=2$ (кратность 2), $x=-3$. Нуль знаменателя: $x=4$.
Отмечаем точки на числовой оси: $-3$ (входит в решение), $2$ (входит в решение), $4$ (не входит в решение). При переходе через $x=2$ знак не меняется.
Определим знаки на интервалах:

  • При $x > 4$: $\frac{(+)(+)}{(+)} > 0$.
  • При $2 < x < 4$: $\frac{(+)(+)}{(-)} < 0$.
  • При $-3 < x < 2$: $\frac{(+)(+)}{(-)} < 0$.
  • При $x < -3$: $\frac{(+)(-)}{(-)} > 0$.

Учитывая знак $\ge$ и ОДЗ, решение первого неравенства: $x \in (-\infty, -3] \cup \{2\} \cup (4, \infty)$.

2. Решим второе неравенство $x(x-2)(x+5) \ge 0$.

Используем метод интервалов. Корни: $x=-5, x=0, x=2$. Все корни входят в решение, так как неравенство нестрогое.
Определим знаки на интервалах:

  • При $x > 2$: $(+)(+)(+) > 0$.
  • При $0 < x < 2$: $(+)(-)(+) < 0$.
  • При $-5 < x < 0$: $(-)(-)(+) > 0$.
  • При $x < -5$: $(-)(-)(-) < 0$.

Решение второго неравенства: $x \in [-5, 0] \cup [2, \infty)$.

3. Найдем пересечение решений:

$$((-\infty, -3] \cup \{2\} \cup (4, \infty)) \cap ([-5, 0] \cup [2, \infty))$$

Рассмотрим пересечение по частям:

  • Пересечение $(-\infty, -3]$ и $[-5, 0]$ дает $[-5, -3]$.
  • Точка $\{2\}$ принадлежит обоим множествам, значит, $x=2$ является решением.
  • Пересечение $(4, \infty)$ и $[2, \infty)$ дает $(4, \infty)$.

Объединяя полученные результаты, получаем общее решение системы.

Ответ: $[-5, -3] \cup \{2\} \cup (4, \infty)$.

Помогло решение? Оставьте отзыв в комментариях ниже.

Присоединяйтесь к Телеграм-группе @gdz_by_belarus

Присоединиться

Мы подготовили для вас ответ c подробным объяснением домашего задания по алгебре за 9 класс, для упражнения номер 3.173 расположенного на странице 193 к учебнику 2019 года издания для учащихся школ и гимназий.

Теперь на нашем сайте ГДЗ.ТОП вы всегда легко и бесплатно найдёте условие с правильным ответом на вопрос «Как решить ДЗ» и «Как сделать» задание по алгебре к упражнению №3.173 (с. 193), авторов: Арефьева (Ирина Глебовна), Пирютко (Ольга Николаевна), учебного пособия издательства Народная асвета.