Номер 3.167, страница 193 - гдз по алгебре 9 класс учебник Арефьева, Пирютко

Алгебра, 9 класс Учебник, авторы: Арефьева Ирина Глебовна, Пирютко Ольга Николаевна, издательство Народная асвета, Минск, 2019, голубого цвета

Авторы: Арефьева И. Г., Пирютко О. Н.

Тип: Учебник

Издательство: Народная асвета

Год издания: 2019 - 2025

Цвет обложки: голубой, синий с графиком

ISBN: 978-985-03-3077-2

Допущено Министерством образования Республики Беларусь

Популярные ГДЗ в 9 классе

Глава 3. Дробно-рациональные уравнения и неравенства. Параграф 13. Дробно-рациональные неравенства. Метод интервалов для решения рациональных неравенств - номер 3.167, страница 193.

№3.167 (с. 193)
Условие. №3.167 (с. 193)
скриншот условия
Алгебра, 9 класс Учебник, авторы: Арефьева Ирина Глебовна, Пирютко Ольга Николаевна, издательство Народная асвета, Минск, 2019, голубого цвета, страница 193, номер 3.167, Условие

3.167. Решите неравенство двумя способами:

а) $(x - 3)(x - 5) < 0;$

б) $(x + 7)(x - 1) > 0;$

в) $(x + 9)(x + 3) \le 0;$

г) $(2x - 8)(x + 6) \ge 0;$

д) $(3x - 1)(x - 7) < 0;$

е) $x(5x + 2) \ge 0.$

Решение. №3.167 (с. 193)
Алгебра, 9 класс Учебник, авторы: Арефьева Ирина Глебовна, Пирютко Ольга Николаевна, издательство Народная асвета, Минск, 2019, голубого цвета, страница 193, номер 3.167, Решение Алгебра, 9 класс Учебник, авторы: Арефьева Ирина Глебовна, Пирютко Ольга Николаевна, издательство Народная асвета, Минск, 2019, голубого цвета, страница 193, номер 3.167, Решение (продолжение 2)
Решение 2. №3.167 (с. 193)

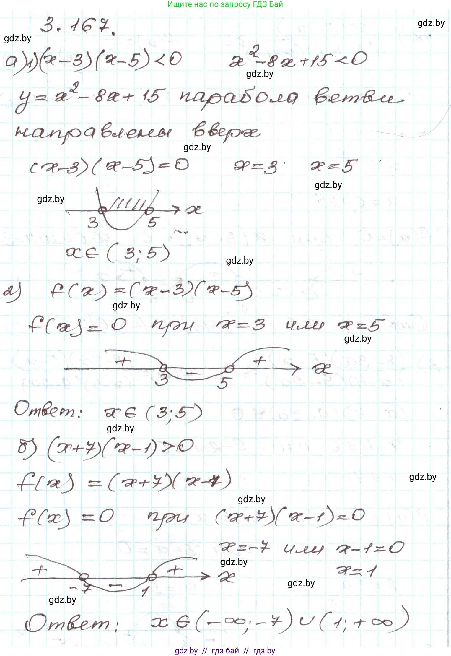
а) $(x-3)(x-5)<0$

Способ 1: Метод интервалов

  1. Найдем корни уравнения $(x-3)(x-5)=0$. Корнями являются $x_1=3$ и $x_2=5$.
  2. Отметим эти точки на числовой прямой. Так как неравенство строгое ($<$), точки будут выколотыми (не включены в решение). Прямая делится на три интервала: $(-\infty; 3)$, $(3; 5)$ и $(5; +\infty)$.
  3. Определим знак выражения в каждом интервале, подставив любое значение из него:
    • При $x < 3$ (например, $x=0$): $(0-3)(0-5)=(-3)(-5)=15 > 0$. Знак "+".
    • При $3 < x < 5$ (например, $x=4$): $(4-3)(4-5)=(1)(-1)=-1 < 0$. Знак "-".
    • При $x > 5$ (например, $x=6$): $(6-3)(6-5)=(3)(1)=3 > 0$. Знак "+".
  4. Нас интересуют значения $x$, при которых выражение меньше нуля (знак "-"). Это интервал $(3; 5)$.

Способ 2: Графический метод (парабола)

  1. Рассмотрим функцию $y=(x-3)(x-5)$. Это квадратичная функция $y=x^2-8x+15$, график которой — парабола.
  2. Корни $x_1=3$ и $x_2=5$ являются точками пересечения параболы с осью Ox.
  3. Коэффициент при $x^2$ равен 1 (положительный), следовательно, ветви параболы направлены вверх.
  4. Неравенство $(x-3)(x-5)<0$ выполняется там, где график функции находится ниже оси Ox, то есть между корнями.

Ответ: $x \in (3; 5)$.

б) $(x+7)(x-1)>0$

Способ 1: Метод интервалов

  1. Найдем корни уравнения $(x+7)(x-1)=0$. Корнями являются $x_1=-7$ и $x_2=1$.
  2. Отметим точки -7 и 1 на числовой прямой выколотыми кружками (неравенство строгое, $>$). Получим интервалы: $(-\infty; -7)$, $(-7; 1)$ и $(1; +\infty)$.
  3. Определим знаки выражения на интервалах:
    • При $x < -7$ (например, $x=-8$): $(-8+7)(-8-1)=(-1)(-9)=9 > 0$. Знак "+".
    • При $-7 < x < 1$ (например, $x=0$): $(0+7)(0-1)=(7)(-1)=-7 < 0$. Знак "-".
    • При $x > 1$ (например, $x=2$): $(2+7)(2-1)=(9)(1)=9 > 0$. Знак "+".
  4. Нас интересуют значения $x$, при которых выражение больше нуля (знак "+"). Это объединение интервалов $(-\infty; -7)$ и $(1; +\infty)$.

Способ 2: Графический метод (парабола)

  1. Рассмотрим функцию $y=(x+7)(x-1) = x^2+6x-7$. График — парабола.
  2. Корни $x_1=-7$ и $x_2=1$ — точки пересечения с осью Ox.
  3. Коэффициент при $x^2$ равен 1 (положительный), ветви параболы направлены вверх.
  4. Неравенство $(x+7)(x-1)>0$ выполняется там, где график функции находится выше оси Ox, то есть левее меньшего корня и правее большего корня.

Ответ: $x \in (-\infty; -7) \cup (1; +\infty)$.

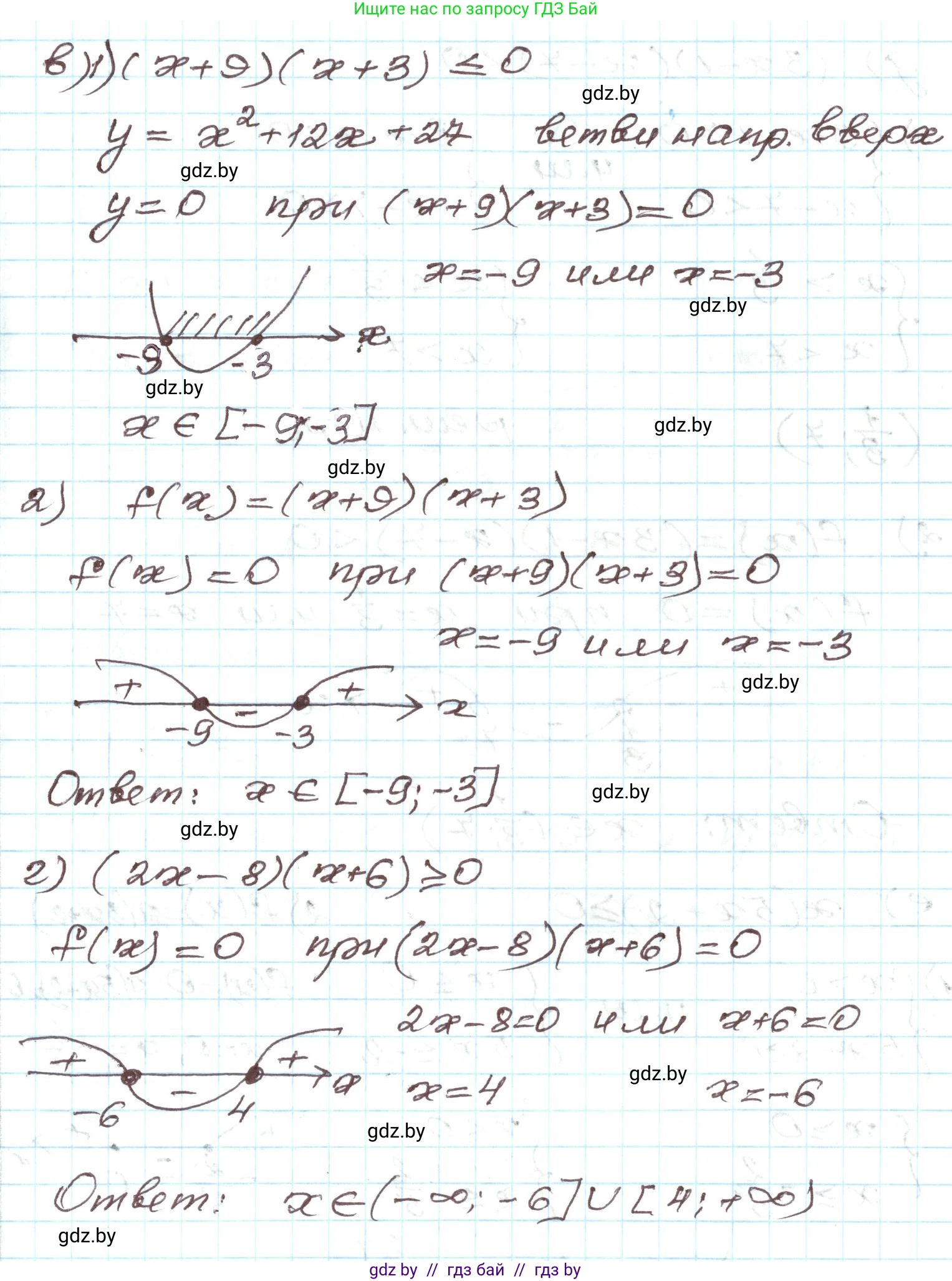
в) $(x+9)(x+3)\leq0$

Способ 1: Метод интервалов

  1. Найдем корни уравнения $(x+9)(x+3)=0$. Корнями являются $x_1=-9$ и $x_2=-3$.
  2. Отметим точки -9 и -3 на числовой прямой закрашенными кружками (неравенство нестрогое, $\leq$). Получим интервалы: $(-\infty; -9]$, $[-9; -3]$ и $[-3; +\infty)$.
  3. Определим знаки выражения на интервалах:
    • При $x \leq -9$ (например, $x=-10$): $(-10+9)(-10+3)=(-1)(-7)=7 > 0$. Знак "+".
    • При $-9 \leq x \leq -3$ (например, $x=-5$): $(-5+9)(-5+3)=(4)(-2)=-8 < 0$. Знак "-".
    • При $x \geq -3$ (например, $x=0$): $(0+9)(0+3)=(9)(3)=27 > 0$. Знак "+".
  4. Нас интересуют значения $x$, при которых выражение меньше или равно нулю (знак "-"). Это отрезок $[-9; -3]$.

Способ 2: Графический метод (парабола)

  1. Рассмотрим функцию $y=(x+9)(x+3) = x^2+12x+27$. График — парабола.
  2. Корни $x_1=-9$ и $x_2=-3$ — точки пересечения с осью Ox.
  3. Коэффициент при $x^2$ равен 1 (положительный), ветви параболы направлены вверх.
  4. Неравенство $(x+9)(x+3)\leq0$ выполняется там, где график функции находится ниже или на оси Ox, то есть между корнями, включая сами корни.

Ответ: $x \in [-9; -3]$.

г) $(2x-8)(x+6)\geq0$

Способ 1: Метод интервалов

  1. Найдем корни уравнения $(2x-8)(x+6)=0$. Корнями являются $x_1=4$ и $x_2=-6$.
  2. Отметим точки -6 и 4 на числовой прямой закрашенными кружками (неравенство нестрогое, $\geq$). Получим интервалы: $(-\infty; -6]$, $[-6; 4]$ и $[4; +\infty)$.
  3. Определим знаки выражения на интервалах:
    • При $x \leq -6$ (например, $x=-7$): $(2(-7)-8)(-7+6)=(-22)(-1)=22 > 0$. Знак "+".
    • При $-6 \leq x \leq 4$ (например, $x=0$): $(2(0)-8)(0+6)=(-8)(6)=-48 < 0$. Знак "-".
    • При $x \geq 4$ (например, $x=5$): $(2(5)-8)(5+6)=(2)(11)=22 > 0$. Знак "+".
  4. Нас интересуют значения $x$, при которых выражение больше или равно нулю (знак "+"). Это объединение промежутков $(-\infty; -6]$ и $[4; +\infty)$.

Способ 2: Графический метод (парабола)

  1. Рассмотрим функцию $y=(2x-8)(x+6) = 2x^2+4x-48$. График — парабола.
  2. Корни $x_1=-6$ и $x_2=4$ — точки пересечения с осью Ox.
  3. Коэффициент при $x^2$ равен 2 (положительный), ветви параболы направлены вверх.
  4. Неравенство $(2x-8)(x+6)\geq0$ выполняется там, где график функции находится выше или на оси Ox, то есть левее меньшего корня и правее большего корня, включая сами корни.

Ответ: $x \in (-\infty; -6] \cup [4; +\infty)$.

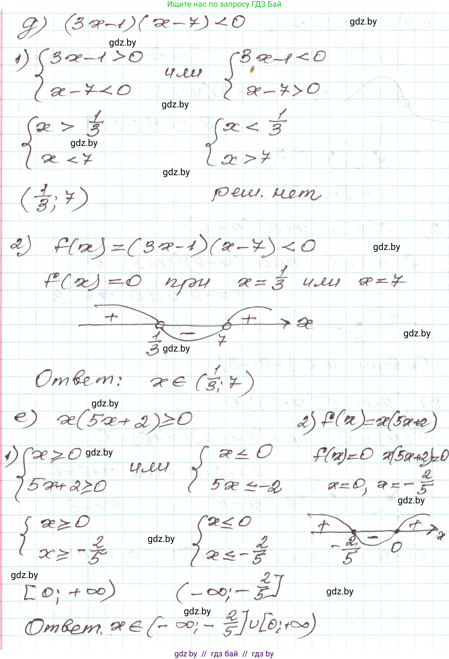
д) $(3x-1)(x-7)<0$

Способ 1: Метод интервалов

  1. Найдем корни уравнения $(3x-1)(x-7)=0$. Корнями являются $x_1=\frac{1}{3}$ и $x_2=7$.
  2. Отметим точки $\frac{1}{3}$ и 7 на числовой прямой выколотыми кружками (неравенство строгое, $<$). Получим интервалы: $(-\infty; \frac{1}{3})$, $(\frac{1}{3}; 7)$ и $(7; +\infty)$.
  3. Определим знаки выражения на интервалах:
    • При $x < \frac{1}{3}$ (например, $x=0$): $(3(0)-1)(0-7)=(-1)(-7)=7 > 0$. Знак "+".
    • При $\frac{1}{3} < x < 7$ (например, $x=1$): $(3(1)-1)(1-7)=(2)(-6)=-12 < 0$. Знак "-".
    • При $x > 7$ (например, $x=8$): $(3(8)-1)(8-7)=(23)(1)=23 > 0$. Знак "+".
  4. Нас интересуют значения $x$, при которых выражение меньше нуля (знак "-"). Это интервал $(\frac{1}{3}; 7)$.

Способ 2: Графический метод (парабола)

  1. Рассмотрим функцию $y=(3x-1)(x-7) = 3x^2-22x+7$. График — парабола.
  2. Корни $x_1=\frac{1}{3}$ и $x_2=7$ — точки пересечения с осью Ox.
  3. Коэффициент при $x^2$ равен 3 (положительный), ветви параболы направлены вверх.
  4. Неравенство $(3x-1)(x-7)<0$ выполняется там, где график функции находится ниже оси Ox, то есть между корнями.

Ответ: $x \in (\frac{1}{3}; 7)$.

е) $x(5x+2)\geq0$

Способ 1: Метод интервалов

  1. Найдем корни уравнения $x(5x+2)=0$. Корнями являются $x_1=0$ и $x_2=-\frac{2}{5}$.
  2. Отметим точки $-\frac{2}{5}$ и 0 на числовой прямой закрашенными кружками (неравенство нестрогое, $\geq$). Получим интервалы: $(-\infty; -\frac{2}{5}]$, $[-\frac{2}{5}; 0]$ и $[0; +\infty)$.
  3. Определим знаки выражения на интервалах:
    • При $x \leq -\frac{2}{5}$ (например, $x=-1$): $(-1)(5(-1)+2)=(-1)(-3)=3 > 0$. Знак "+".
    • При $-\frac{2}{5} \leq x \leq 0$ (например, $x=-0.2$): $(-0.2)(5(-0.2)+2)=(-0.2)(1)=-0.2 < 0$. Знак "-".
    • При $x \geq 0$ (например, $x=1$): $(1)(5(1)+2)=(1)(7)=7 > 0$. Знак "+".
  4. Нас интересуют значения $x$, при которых выражение больше или равно нулю (знак "+"). Это объединение промежутков $(-\infty; -\frac{2}{5}]$ и $[0; +\infty)$.

Способ 2: Графический метод (парабола)

  1. Рассмотрим функцию $y=x(5x+2) = 5x^2+2x$. График — парабола.
  2. Корни $x_1=-\frac{2}{5}$ и $x_2=0$ — точки пересечения с осью Ox.
  3. Коэффициент при $x^2$ равен 5 (положительный), ветви параболы направлены вверх.
  4. Неравенство $x(5x+2)\geq0$ выполняется там, где график функции находится выше или на оси Ox, то есть левее меньшего корня и правее большего корня, включая сами корни.

Ответ: $x \in (-\infty; -\frac{2}{5}] \cup [0; +\infty)$.

Помогло решение? Оставьте отзыв в комментариях ниже.

Присоединяйтесь к Телеграм-группе @gdz_by_belarus

Присоединиться

Мы подготовили для вас ответ c подробным объяснением домашего задания по алгебре за 9 класс, для упражнения номер 3.167 расположенного на странице 193 к учебнику 2019 года издания для учащихся школ и гимназий.

Теперь на нашем сайте ГДЗ.ТОП вы всегда легко и бесплатно найдёте условие с правильным ответом на вопрос «Как решить ДЗ» и «Как сделать» задание по алгебре к упражнению №3.167 (с. 193), авторов: Арефьева (Ирина Глебовна), Пирютко (Ольга Николаевна), учебного пособия издательства Народная асвета.