Номер 3.165, страница 192 - гдз по алгебре 9 класс учебник Арефьева, Пирютко

Алгебра, 9 класс Учебник, авторы: Арефьева Ирина Глебовна, Пирютко Ольга Николаевна, издательство Народная асвета, Минск, 2019, голубого цвета

Авторы: Арефьева И. Г., Пирютко О. Н.

Тип: Учебник

Издательство: Народная асвета

Год издания: 2019 - 2025

Цвет обложки: голубой, синий с графиком

ISBN: 978-985-03-3077-2

Допущено Министерством образования Республики Беларусь

Популярные ГДЗ в 9 классе

Глава 3. Дробно-рациональные уравнения и неравенства. Параграф 13. Дробно-рациональные неравенства. Метод интервалов для решения рациональных неравенств - номер 3.165, страница 192.

№3.165 (с. 192)
Условие. №3.165 (с. 192)
скриншот условия
Алгебра, 9 класс Учебник, авторы: Арефьева Ирина Глебовна, Пирютко Ольга Николаевна, издательство Народная асвета, Минск, 2019, голубого цвета, страница 192, номер 3.165, Условие

3.165. Найдите все значения переменной, при которых:

a) $(3 - x)(x - 1)(x + 6) \le 0$;

б) $(x - 10)(2x + 9)(7 - 2x) \ge 0$;

в) $(7 - x)(5 - x)(3x - 10) < 0$;

г) $-(5 - 2x)(4 - x)(5x - 1) > 0$.

Решение. №3.165 (с. 192)
Алгебра, 9 класс Учебник, авторы: Арефьева Ирина Глебовна, Пирютко Ольга Николаевна, издательство Народная асвета, Минск, 2019, голубого цвета, страница 192, номер 3.165, Решение Алгебра, 9 класс Учебник, авторы: Арефьева Ирина Глебовна, Пирютко Ольга Николаевна, издательство Народная асвета, Минск, 2019, голубого цвета, страница 192, номер 3.165, Решение (продолжение 2)
Решение 2. №3.165 (с. 192)

Для решения данных неравенств используется метод интервалов. Суть метода заключается в следующем:

  1. Все члены неравенства переносятся в левую часть, чтобы справа остался ноль.
  2. Левая часть раскладывается на множители.
  3. Находятся корни каждого множителя (точки, в которых выражение равно нулю).
  4. Эти точки наносятся на числовую прямую, которая разбивается на интервалы.
  5. Определяется знак выражения на каждом интервале.
  6. Выбираются интервалы, соответствующие знаку неравенства.

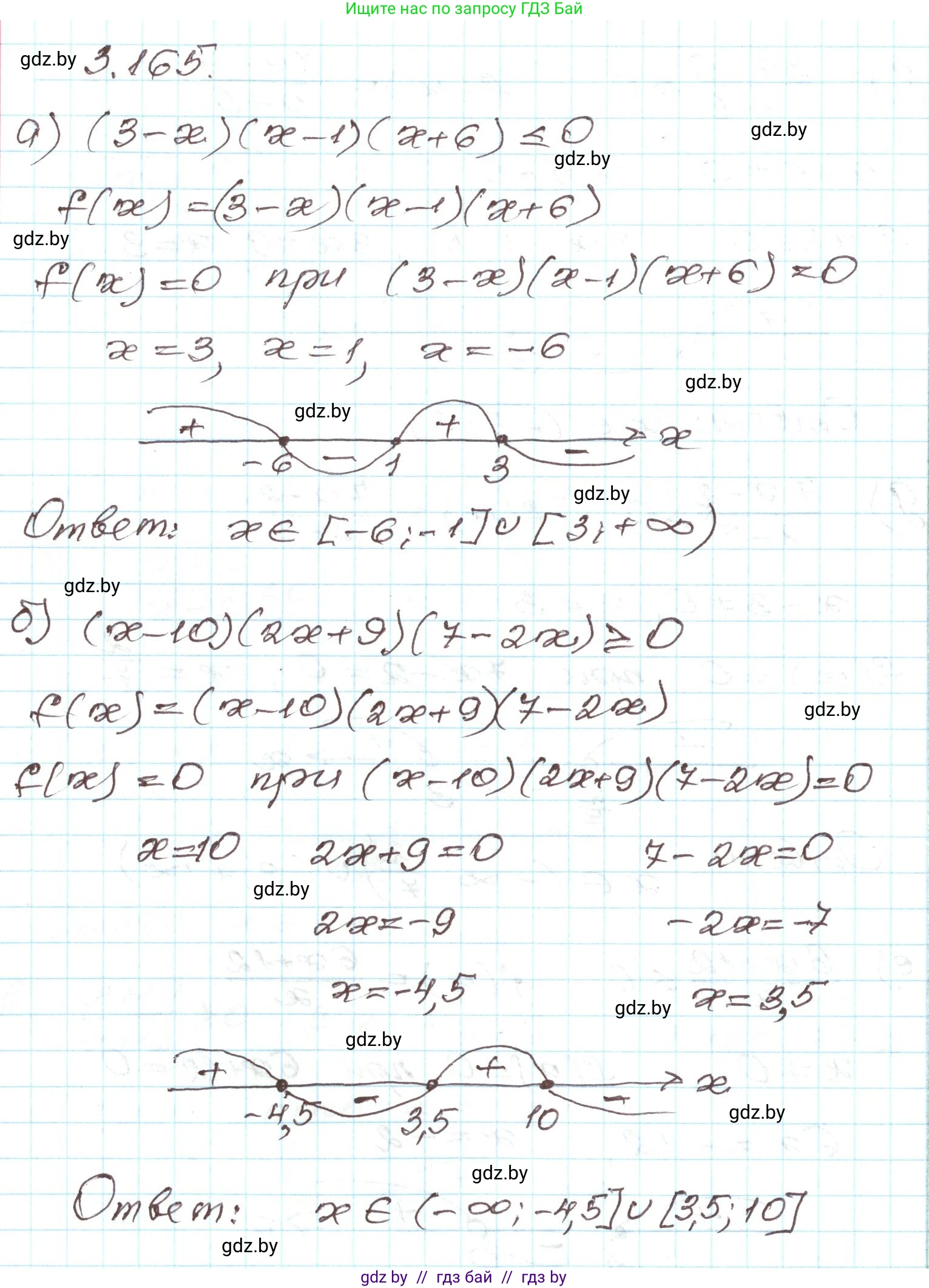
а) $(3 - x)(x - 1)(x + 6) \le 0$

Приведем неравенство к стандартному виду, чтобы коэффициент при $x$ в каждой скобке был положительным. Для этого вынесем $-1$ из скобки $(3-x)$:
$-(x - 3)(x - 1)(x + 6) \le 0$
Умножим обе части неравенства на $-1$, изменив знак неравенства на противоположный:
$(x - 3)(x - 1)(x + 6) \ge 0$

Найдем корни уравнения, приравняв левую часть к нулю:
$(x - 3)(x - 1)(x + 6) = 0$
Корни уравнения: $x_1 = 3$, $x_2 = 1$, $x_3 = -6$.

Отметим эти корни на числовой прямой. Так как неравенство нестрогое ($\ge$), точки будут включены в решение (закрашенные).
Точки разбивают прямую на четыре интервала: $(-\infty, -6]$, $[-6, 1]$, $[1, 3]$, $[3, +\infty)$.
Определим знак выражения $(x - 3)(x - 1)(x + 6)$ на каждом интервале, подставив любое значение из него:

  • При $x > 3$ (например, $x=4$): $(+)(+)(+) = +$
  • При $1 < x < 3$ (например, $x=2$): $(-)(+)(+) = -$
  • При $-6 < x < 1$ (например, $x=0$): $(-)(-)(+) = +$
  • При $x < -6$ (например, $x=-7$): $(-)(-)(-) = -$

Нам нужны интервалы, где выражение больше или равно нулю (знак "+").

Ответ: $x \in [-6, 1] \cup [3, +\infty)$.

б) $(x - 10)(2x + 9)(7 - 2x) \ge 0$

Приведем множитель $(7 - 2x)$ к стандартному виду:
$-(x - 10)(2x + 9)(2x - 7) \ge 0$
Умножим на $-1$ и сменим знак неравенства:
$(x - 10)(2x + 9)(2x - 7) \le 0$

Найдем корни уравнения:
$x - 10 = 0 \implies x_1 = 10$
$2x + 9 = 0 \implies x_2 = -9/2 = -4.5$
$2x - 7 = 0 \implies x_3 = 7/2 = 3.5$

Отметим корни $-4.5$, $3.5$, $10$ на числовой прямой. Точки закрашенные ($\le$).
Интервалы: $(-\infty, -4.5]$, $[-4.5, 3.5]$, $[3.5, 10]$, $[10, +\infty)$.
Определим знаки выражения $(x - 10)(2x + 9)(2x - 7)$:

  • При $x > 10$: $(+)(+)(+) = +$
  • При $3.5 < x < 10$: $(-)(+)(+) = -$
  • При $-4.5 < x < 3.5$: $(-)(+)(-) = +$
  • При $x < -4.5$: $(-)(-)(-) = -$

Нам нужны интервалы, где выражение меньше или равно нулю (знак "−").

Ответ: $x \in (-\infty, -4\frac{1}{2}] \cup [3\frac{1}{2}, 10]$.

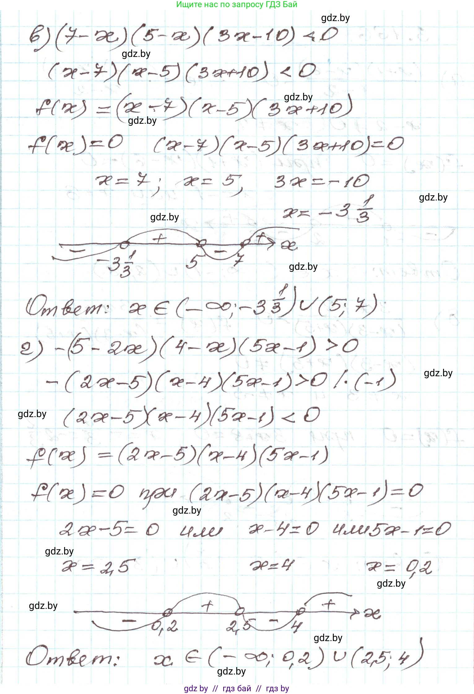
в) $(7 - x)(5 - x)(3x - 10) < 0$

Преобразуем множители $(7 - x)$ и $(5 - x)$:
$(-(x - 7))(-(x - 5))(3x - 10) < 0$
Так как $(-1) \cdot (-1) = 1$, знак неравенства не меняется:
$(x - 7)(x - 5)(3x - 10) < 0$

Найдем корни уравнения:
$x - 7 = 0 \implies x_1 = 7$
$x - 5 = 0 \implies x_2 = 5$
$3x - 10 = 0 \implies x_3 = 10/3$

Отметим корни $10/3$, $5$, $7$ на числовой прямой. Точки выколотые, так как неравенство строгое ($<$).
Определим знаки выражения $(x - 7)(x - 5)(3x - 10)$:

  • При $x > 7$: $(+)(+)(+) = +$
  • При $5 < x < 7$: $(-)(+)(+) = -$
  • При $10/3 < x < 5$: $(-)(-)(+) = +$
  • При $x < 10/3$: $(-)(-)(-) = -$

Нам нужны интервалы, где выражение меньше нуля (знак "−").

Ответ: $x \in (-\infty, 3\frac{1}{3}) \cup (5, 7)$.

г) $-(5 - 2x)(4 - x)(5x - 1) > 0$

Умножим неравенство на $-1$ и изменим знак:
$(5 - 2x)(4 - x)(5x - 1) < 0$
Приведем множители к стандартному виду:
$(-(2x - 5))(-(x - 4))(5x - 1) < 0$
$(2x - 5)(x - 4)(5x - 1) < 0$

Найдем корни уравнения:
$2x - 5 = 0 \implies x_1 = 5/2 = 2.5$
$x - 4 = 0 \implies x_2 = 4$
$5x - 1 = 0 \implies x_3 = 1/5$

Отметим корни $1/5$, $5/2$, $4$ на числовой прямой. Точки выколотые ($<$).
Определим знаки выражения $(2x - 5)(x - 4)(5x - 1)$:

  • При $x > 4$: $(+)(+)(+) = +$
  • При $5/2 < x < 4$: $(+)(-)(+) = -$
  • При $1/5 < x < 5/2$: $(-)(-)(+) = +$
  • При $x < 1/5$: $(-)(-)(-) = -$

Нам нужны интервалы, где выражение меньше нуля (знак "−").

Ответ: $x \in (-\infty, \frac{1}{5}) \cup (2\frac{1}{2}, 4)$.

Помогло решение? Оставьте отзыв в комментариях ниже.

Присоединяйтесь к Телеграм-группе @gdz_by_belarus

Присоединиться

Мы подготовили для вас ответ c подробным объяснением домашего задания по алгебре за 9 класс, для упражнения номер 3.165 расположенного на странице 192 к учебнику 2019 года издания для учащихся школ и гимназий.

Теперь на нашем сайте ГДЗ.ТОП вы всегда легко и бесплатно найдёте условие с правильным ответом на вопрос «Как решить ДЗ» и «Как сделать» задание по алгебре к упражнению №3.165 (с. 192), авторов: Арефьева (Ирина Глебовна), Пирютко (Ольга Николаевна), учебного пособия издательства Народная асвета.