Номер 3.208, страница 198 - гдз по алгебре 9 класс учебник Арефьева, Пирютко
Авторы: Арефьева И. Г., Пирютко О. Н.
Тип: Учебник
Издательство: Народная асвета
Год издания: 2019 - 2025
Цвет обложки: голубой, синий с графиком
ISBN: 978-985-03-3077-2
Допущено Министерством образования Республики Беларусь
Популярные ГДЗ в 9 классе
Глава 3. Дробно-рациональные уравнения и неравенства. Параграф 13. Дробно-рациональные неравенства. Метод интервалов для решения рациональных неравенств - номер 3.208, страница 198.
№3.208 (с. 198)
Условие. №3.208 (с. 198)
скриншот условия
$x + 3 \quad 2 - x \quad x + 2$
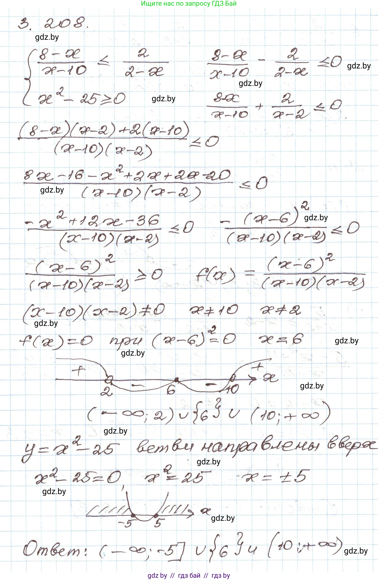
3.208. Решите систему неравенств
$\begin{cases} \frac{8-x}{x-10} \le \frac{2}{2-x}, \\ x^2 - 25 \ge 0. \end{cases}$
Решение. №3.208 (с. 198)
Решение 2. №3.208 (с. 198)
Для решения системы необходимо решить каждое неравенство по отдельности, а затем найти пересечение их решений.
1. Решим первое неравенство: $ \frac{8-x}{x-10} \le \frac{2}{2-x} $
Перенесем все члены в левую часть неравенства:
$ \frac{8-x}{x-10} - \frac{2}{2-x} \le 0 $
Приведем дроби к общему знаменателю. Для этого заметим, что $ 2-x = -(x-2) $. Тогда:
$ \frac{8-x}{x-10} + \frac{2}{x-2} \le 0 $
$ \frac{(8-x)(x-2) + 2(x-10)}{(x-10)(x-2)} \le 0 $
Раскроем скобки в числителе и приведем подобные слагаемые:
$ \frac{8x - 16 - x^2 + 2x + 2x - 20}{(x-10)(x-2)} \le 0 $
$ \frac{-x^2 + 12x - 36}{(x-10)(x-2)} \le 0 $
Вынесем знак минус в числителе и свернем его по формуле квадрата разности:
$ \frac{-(x^2 - 12x + 36)}{(x-10)(x-2)} \le 0 $
$ \frac{-(x-6)^2}{(x-10)(x-2)} \le 0 $
Умножим обе части неравенства на -1, при этом знак неравенства изменится на противоположный:
$ \frac{(x-6)^2}{(x-10)(x-2)} \ge 0 $
Решим полученное неравенство методом интервалов. Найдем нули числителя и знаменателя:
- Нуль числителя: $ x = 6 $. Так как множитель $ (x-6) $ стоит в четной степени (2), то при переходе через точку $ x=6 $ знак выражения меняться не будет. Точка $ x=6 $ включается в решение, так как неравенство нестрогое.
- Нули знаменателя: $ x = 10 $ и $ x = 2 $. Эти точки не включаются в решение (выколотые точки).
Отметим точки на числовой оси и определим знаки в каждом интервале.

Выбираем промежутки со знаком "+" и изолированную точку, где выражение равно нулю. Решение первого неравенства: $ x \in (-\infty, 2) \cup \{6\} \cup (10, +\infty) $.
2. Решим второе неравенство: $ x^2 - 25 \ge 0 $
Разложим левую часть на множители по формуле разности квадратов:
$ (x-5)(x+5) \ge 0 $
Нули левой части: $ x = 5 $ и $ x = -5 $. Это парабола $ y=x^2-25 $ с ветвями вверх, поэтому она принимает неотрицательные значения при $ x $ левее меньшего корня и правее большего корня.

Решение второго неравенства: $ x \in (-\infty, -5] \cup [5, +\infty) $.
3. Найдем решение системы неравенств
Теперь найдем пересечение множеств решений первого и второго неравенств:
$ ((-\infty, 2) \cup \{6\} \cup (10, +\infty)) \cap ((-\infty, -5] \cup [5, +\infty)) $
Для наглядности нанесем оба решения на общую числовую ось и найдем их пересечение.

Из рисунка видно, что пересечением являются:
- Промежуток $ (-\infty, -5] $
- Изолированная точка $ x=6 $
- Промежуток $ (10, +\infty) $
Объединив эти части, получим окончательный ответ.
Ответ: $ x \in (-\infty, -5] \cup \{6\} \cup (10, +\infty) $.
Другие задания:
Помогло решение? Оставьте отзыв в комментариях ниже.
Присоединяйтесь к Телеграм-группе @gdz_by_belarus
ПрисоединитьсяМы подготовили для вас ответ c подробным объяснением домашего задания по алгебре за 9 класс, для упражнения номер 3.208 расположенного на странице 198 к учебнику 2019 года издания для учащихся школ и гимназий.
Теперь на нашем сайте ГДЗ.ТОП вы всегда легко и бесплатно найдёте условие с правильным ответом на вопрос «Как решить ДЗ» и «Как сделать» задание по алгебре к упражнению №3.208 (с. 198), авторов: Арефьева (Ирина Глебовна), Пирютко (Ольга Николаевна), учебного пособия издательства Народная асвета.