Номер 3.211, страница 199 - гдз по алгебре 9 класс учебник Арефьева, Пирютко

Алгебра, 9 класс Учебник, авторы: Арефьева Ирина Глебовна, Пирютко Ольга Николаевна, издательство Народная асвета, Минск, 2019, голубого цвета

Авторы: Арефьева И. Г., Пирютко О. Н.

Тип: Учебник

Издательство: Народная асвета

Год издания: 2019 - 2025

Цвет обложки: голубой, синий с графиком

ISBN: 978-985-03-3077-2

Допущено Министерством образования Республики Беларусь

Популярные ГДЗ в 9 классе

Глава 3. Дробно-рациональные уравнения и неравенства. Параграф 13. Дробно-рациональные неравенства. Метод интервалов для решения рациональных неравенств - номер 3.211, страница 199.

№3.211 (с. 199)
Условие. №3.211 (с. 199)
скриншот условия
Алгебра, 9 класс Учебник, авторы: Арефьева Ирина Глебовна, Пирютко Ольга Николаевна, издательство Народная асвета, Минск, 2019, голубого цвета, страница 199, номер 3.211, Условие

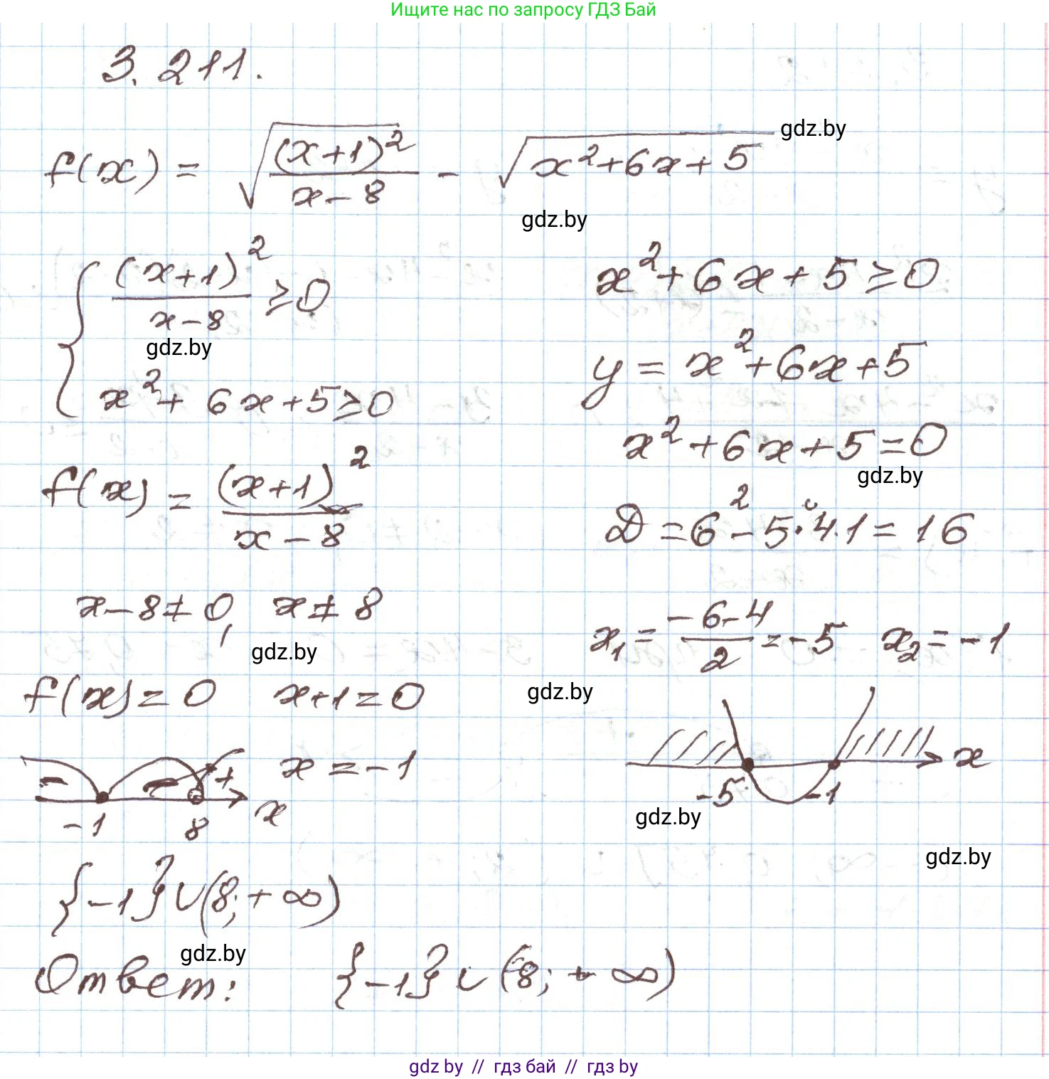
3.211. Найдите область определения функции

$f(x) = \sqrt{\frac{(x+1)^2}{x-8}} - \sqrt{x^2 + 6x + 5}$.

Решение. №3.211 (с. 199)
Алгебра, 9 класс Учебник, авторы: Арефьева Ирина Глебовна, Пирютко Ольга Николаевна, издательство Народная асвета, Минск, 2019, голубого цвета, страница 199, номер 3.211, Решение
Решение 2. №3.211 (с. 199)

Область определения функции — это множество всех значений аргумента $x$, при которых функция имеет смысл. Для данной функции необходимо, чтобы выражения под знаками корня были неотрицательными, а знаменатель дроби не равнялся нулю. Это приводит к системе неравенств:

$\begin{cases} \frac{(x+1)^2}{x-8} \ge 0 \\ x^2+6x+5 \ge 0 \end{cases}$

1. Решим первое неравенство: $\frac{(x+1)^2}{x-8} \ge 0$.

Это неравенство решается методом интервалов.

  • Знаменатель дроби не может быть равен нулю: $x-8 \neq 0 \implies x \neq 8$.
  • Числитель дроби равен нулю при $x+1=0 \implies x=-1$.
  • Числитель $(x+1)^2$ всегда неотрицателен (т.е. $(x+1)^2 \ge 0$) для любого действительного $x$.

Поскольку числитель $(x+1)^2$ неотрицателен, для выполнения неравенства $\frac{(x+1)^2}{x-8} \ge 0$ необходимо рассмотреть два случая:

  1. Дробь равна нулю. Это возможно, когда числитель равен нулю, а знаменатель — нет.
    $(x+1)^2 = 0 \implies x = -1$. При этом $x-8 = -1-8 = -9 \neq 0$. Значит, $x=-1$ является решением.
  2. Дробь строго больше нуля. Так как числитель $(x+1)^2$ положителен при $x \neq -1$, для положительности дроби знаменатель также должен быть положителен.
    $x-8 > 0 \implies x > 8$.

Объединяя оба случая, получаем решение первого неравенства: $x \in \{-1\} \cup (8, +\infty)$.

2. Решим второе неравенство: $x^2+6x+5 \ge 0$.

Сначала найдем корни квадратного уравнения $x^2+6x+5=0$. Используя теорему Виета или формулу для корней квадратного уравнения, находим корни:$D = 6^2 - 4 \cdot 1 \cdot 5 = 36 - 20 = 16 = 4^2$$x_1 = \frac{-6-4}{2} = -5$$x_2 = \frac{-6+4}{2} = -1$

Графиком функции $y=x^2+6x+5$ является парабола, ветви которой направлены вверх. Следовательно, функция принимает неотрицательные значения при $x$ левее меньшего корня и правее большего корня, включая сами корни.

Решение второго неравенства: $x \in (-\infty, -5] \cup [-1, +\infty)$.

3. Найдем пересечение решений системы.

Теперь необходимо найти пересечение множеств решений обоих неравенств:
Решение 1: $x \in \{-1\} \cup (8, +\infty)$
Решение 2: $x \in (-\infty, -5] \cup [-1, +\infty)$

Пересечением этих двух множеств будут значения $x$, которые удовлетворяют обоим условиям.

  • Точка $x=-1$ входит в оба множества решений.
  • Интервал $(8, +\infty)$ полностью входит в множество $x \in [-1, +\infty)$, а значит и в решение второго неравенства.
  • Других общих точек или интервалов нет.

Следовательно, итоговая область определения функции является объединением точки и интервала.

3.211. Ответ: $x \in \{-1\} \cup (8, +\infty)$.

Помогло решение? Оставьте отзыв в комментариях ниже.

Присоединяйтесь к Телеграм-группе @gdz_by_belarus

Присоединиться

Мы подготовили для вас ответ c подробным объяснением домашего задания по алгебре за 9 класс, для упражнения номер 3.211 расположенного на странице 199 к учебнику 2019 года издания для учащихся школ и гимназий.

Теперь на нашем сайте ГДЗ.ТОП вы всегда легко и бесплатно найдёте условие с правильным ответом на вопрос «Как решить ДЗ» и «Как сделать» задание по алгебре к упражнению №3.211 (с. 199), авторов: Арефьева (Ирина Глебовна), Пирютко (Ольга Николаевна), учебного пособия издательства Народная асвета.