Номер 3.53, страница 153 - гдз по алгебре 9 класс учебник Арефьева, Пирютко

Алгебра, 9 класс Учебник, авторы: Арефьева Ирина Глебовна, Пирютко Ольга Николаевна, издательство Народная асвета, Минск, 2019, голубого цвета

Авторы: Арефьева И. Г., Пирютко О. Н.

Тип: Учебник

Издательство: Народная асвета

Год издания: 2019 - 2025

Цвет обложки: голубой, синий с графиком

ISBN: 978-985-03-3077-2

Допущено Министерством образования Республики Беларусь

Популярные ГДЗ в 9 классе

Глава 3. Дробно-рациональные уравнения и неравенства. Параграф 10. Дробно-рациональные уравнения - номер 3.53, страница 153.

№3.53 (с. 153)
Условие. №3.53 (с. 153)
скриншот условия
Алгебра, 9 класс Учебник, авторы: Арефьева Ирина Глебовна, Пирютко Ольга Николаевна, издательство Народная асвета, Минск, 2019, голубого цвета, страница 153, номер 3.53, Условие

3.53*. Выполните замену переменной и решите уравнение:

a) $x^2 - 15 + \frac{1}{x^2 - 15} = 2;$

б) $\frac{x^2 - 3}{x} + \frac{x}{x^2 - 3} = 2\frac{1}{2};$

В) $x^2 + x + \frac{8}{x^2 + x} = 6;$

г) $\frac{3}{x^2 + x + 1} = 3 - x^2 - x;$

Д) $\frac{x^2 + x - 4}{2} - \frac{3}{2x^2 + 2x - 8} = 1;$

е) $\frac{1}{x^2 + 4x} - \frac{1}{(x + 2)^2} = \frac{4}{5}.$

Решение. №3.53 (с. 153)
Алгебра, 9 класс Учебник, авторы: Арефьева Ирина Глебовна, Пирютко Ольга Николаевна, издательство Народная асвета, Минск, 2019, голубого цвета, страница 153, номер 3.53, Решение Алгебра, 9 класс Учебник, авторы: Арефьева Ирина Глебовна, Пирютко Ольга Николаевна, издательство Народная асвета, Минск, 2019, голубого цвета, страница 153, номер 3.53, Решение (продолжение 2)
Решение 2. №3.53 (с. 153)

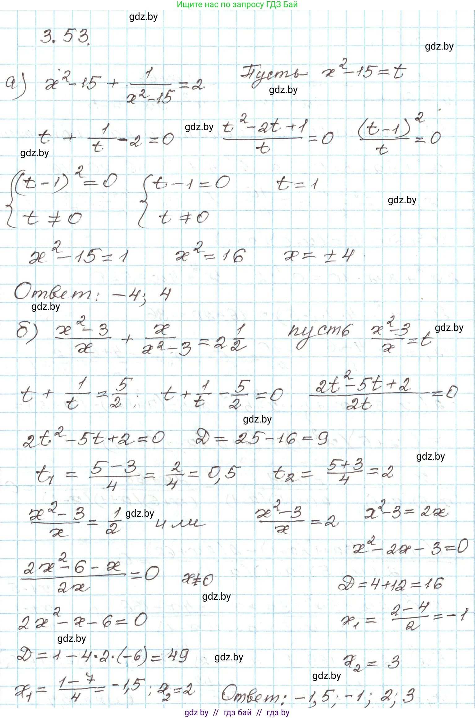
а) Исходное уравнение: $x^2 - 15 + \frac{1}{x^2 - 15} = 2$.

Область допустимых значений (ОДЗ): $x^2 - 15 \neq 0$, то есть $x^2 \neq 15$, $x \neq \pm\sqrt{15}$.

Выполним замену переменной. Пусть $t = x^2 - 15$. Тогда уравнение принимает вид:

$t + \frac{1}{t} = 2$

При условии $t \neq 0$, умножим обе части на $t$:

$t^2 + 1 = 2t$

$t^2 - 2t + 1 = 0$

Это полный квадрат: $(t - 1)^2 = 0$.

Отсюда $t = 1$.

Выполним обратную замену:

$x^2 - 15 = 1$

$x^2 = 16$

$x = \pm\sqrt{16}$, то есть $x_1 = 4$ и $x_2 = -4$.

Оба корня удовлетворяют ОДЗ.

Ответ: $x = \pm 4$.


б) Исходное уравнение: $\frac{x^2 - 3}{x} + \frac{x}{x^2 - 3} = 2\frac{1}{2}$.

ОДЗ: $x \neq 0$ и $x^2 - 3 \neq 0$, то есть $x \neq \pm\sqrt{3}$.

Выполним замену. Пусть $t = \frac{x^2 - 3}{x}$. Тогда $\frac{x}{x^2 - 3} = \frac{1}{t}$. Уравнение принимает вид:

$t + \frac{1}{t} = \frac{5}{2}$

При $t \neq 0$, умножим на $2t$:

$2t^2 + 2 = 5t$

$2t^2 - 5t + 2 = 0$

Решим квадратное уравнение. Дискриминант $D = (-5)^2 - 4 \cdot 2 \cdot 2 = 25 - 16 = 9 = 3^2$.

$t_1 = \frac{5 - 3}{2 \cdot 2} = \frac{2}{4} = \frac{1}{2}$

$t_2 = \frac{5 + 3}{2 \cdot 2} = \frac{8}{4} = 2$

Выполним обратную замену для каждого значения $t$:

1) $t = 2$: $\frac{x^2 - 3}{x} = 2 \implies x^2 - 3 = 2x \implies x^2 - 2x - 3 = 0$. Корни: $x_1 = 3, x_2 = -1$.

2) $t = \frac{1}{2}$: $\frac{x^2 - 3}{x} = \frac{1}{2} \implies 2(x^2 - 3) = x \implies 2x^2 - x - 6 = 0$. Дискриминант $D = (-1)^2 - 4 \cdot 2 \cdot (-6) = 1 + 48 = 49 = 7^2$. Корни: $x_3 = \frac{1+7}{4} = 2$, $x_4 = \frac{1-7}{4} = -\frac{6}{4} = -\frac{3}{2} = -1\frac{1}{2}$.

Все корни удовлетворяют ОДЗ.

Ответ: $x_1 = 3, x_2 = -1, x_3 = 2, x_4 = -1\frac{1}{2}$.


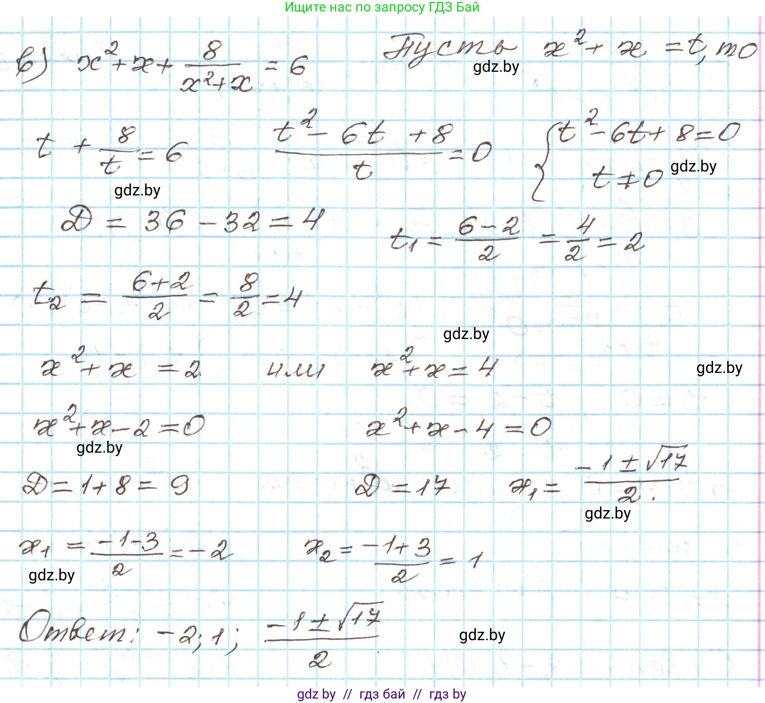
в) Исходное уравнение: $x^2 + x + \frac{8}{x^2 + x} = 6$.

ОДЗ: $x^2 + x \neq 0 \implies x(x+1) \neq 0$, то есть $x \neq 0$ и $x \neq -1$.

Выполним замену. Пусть $t = x^2 + x$. Уравнение примет вид:

$t + \frac{8}{t} = 6$

Умножим на $t \neq 0$:

$t^2 + 8 = 6t$

$t^2 - 6t + 8 = 0$

По теореме Виета, $t_1 = 2, t_2 = 4$.

Выполним обратную замену:

1) $t = 2$: $x^2 + x = 2 \implies x^2 + x - 2 = 0$. Корни: $x_1 = 1, x_2 = -2$.

2) $t = 4$: $x^2 + x = 4 \implies x^2 + x - 4 = 0$. Дискриминант $D = 1^2 - 4 \cdot 1 \cdot (-4) = 17$. Корни: $x_{3,4} = \frac{-1 \pm \sqrt{17}}{2}$.

Все корни удовлетворяют ОДЗ.

Ответ: $x_1=1, x_2=-2, x_{3,4}=\frac{-1 \pm \sqrt{17}}{2}$.


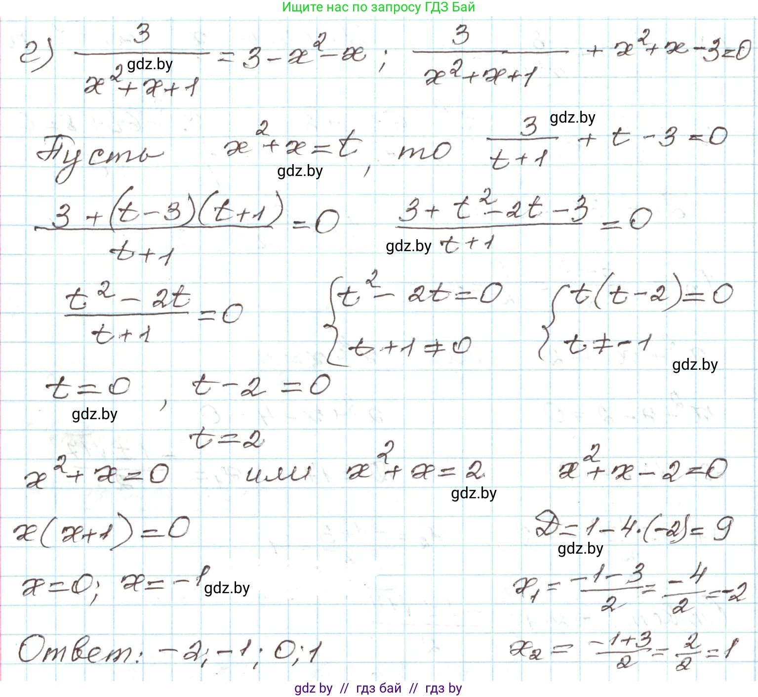
г) Исходное уравнение: $\frac{3}{x^2 + x + 1} = 3 - x^2 - x$.

Перепишем уравнение: $\frac{3}{x^2 + x + 1} = 3 - (x^2 + x)$.

Знаменатель $x^2+x+1$ всегда положителен (дискриминант $D=1-4=-3<0$), поэтому ОДЗ: $x \in \mathbb{R}$.

Выполним замену. Пусть $t = x^2 + x$. Уравнение примет вид:

$\frac{3}{t + 1} = 3 - t$

Умножим на $(t+1)$ (мы знаем, что $t+1 = x^2+x+1 > 0$):

$3 = (3 - t)(t + 1)$

$3 = 3t + 3 - t^2 - t$

$3 = -t^2 + 2t + 3$

$t^2 - 2t = 0 \implies t(t-2) = 0$.

Отсюда $t_1 = 0, t_2 = 2$.

Выполним обратную замену:

1) $t = 0$: $x^2 + x = 0 \implies x(x+1)=0$. Корни: $x_1 = 0, x_2 = -1$.

2) $t = 2$: $x^2 + x = 2 \implies x^2 + x - 2 = 0$. Корни: $x_3 = 1, x_4 = -2$.

Ответ: $x_1 = 0, x_2 = -1, x_3 = 1, x_4 = -2$.


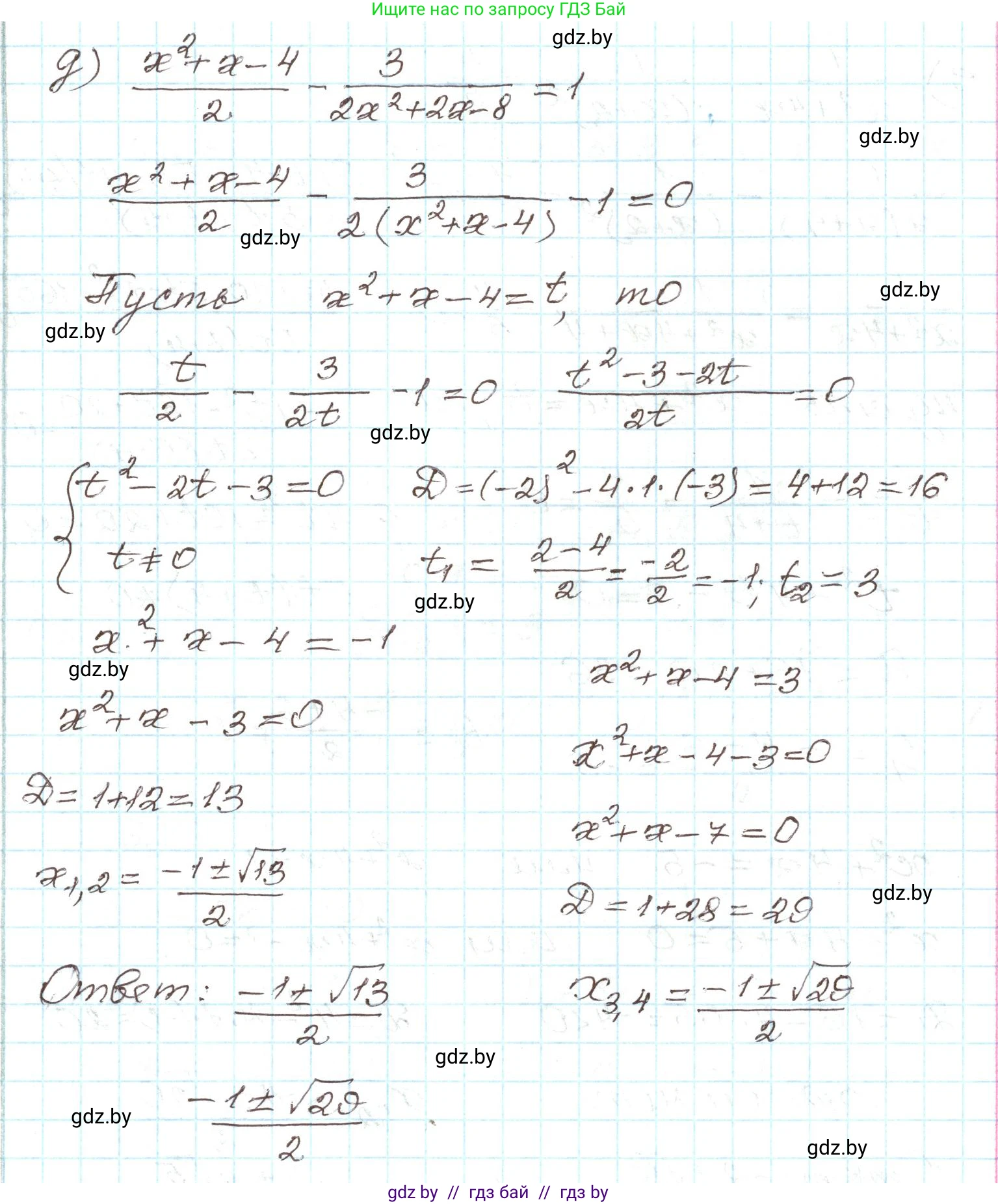
д) Исходное уравнение: $\frac{x^2 + x - 4}{2} - \frac{3}{2x^2 + 2x - 8} = 1$.

Заметим, что $2x^2 + 2x - 8 = 2(x^2 + x - 4)$.

ОДЗ: $2x^2 + 2x - 8 \neq 0 \implies x^2 + x - 4 \neq 0$.

Выполним замену. Пусть $t = x^2 + x - 4$. Уравнение примет вид:

$\frac{t}{2} - \frac{3}{2t} = 1$

Умножим на $2t$ (при $t \neq 0$):

$t^2 - 3 = 2t$

$t^2 - 2t - 3 = 0$

По теореме Виета, $t_1 = 3, t_2 = -1$. Оба значения не равны нулю, значит, ОДЗ для $t$ выполняется.

Выполним обратную замену:

1) $t = 3$: $x^2 + x - 4 = 3 \implies x^2 + x - 7 = 0$. Дискриминант $D = 1^2 - 4 \cdot 1 \cdot (-7) = 29$. Корни: $x_{1,2} = \frac{-1 \pm \sqrt{29}}{2}$.

2) $t = -1$: $x^2 + x - 4 = -1 \implies x^2 + x - 3 = 0$. Дискриминант $D = 1^2 - 4 \cdot 1 \cdot (-3) = 13$. Корни: $x_{3,4} = \frac{-1 \pm \sqrt{13}}{2}$.

Ответ: $x_{1,2} = \frac{-1 \pm \sqrt{29}}{2}, x_{3,4} = \frac{-1 \pm \sqrt{13}}{2}$.


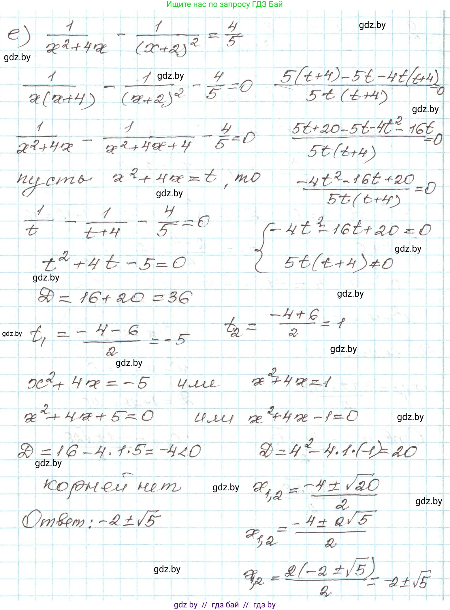
е) Исходное уравнение: $\frac{1}{x^2 + 4x} - \frac{1}{(x+2)^2} = \frac{4}{5}$.

Преобразуем знаменатель: $(x+2)^2 = x^2 + 4x + 4$.

ОДЗ: $x^2 + 4x \neq 0 \implies x(x+4) \neq 0 \implies x \neq 0, x \neq -4$. Также $(x+2)^2 \neq 0 \implies x \neq -2$.

Выполним замену. Пусть $t = x^2 + 4x$. Тогда $x^2 + 4x + 4 = t + 4$. Уравнение примет вид:

$\frac{1}{t} - \frac{1}{t+4} = \frac{4}{5}$

Приведем левую часть к общему знаменателю:

$\frac{t+4-t}{t(t+4)} = \frac{4}{5}$

$\frac{4}{t(t+4)} = \frac{4}{5}$

Так как числители равны и не равны нулю, знаменатели также должны быть равны:

$t(t+4) = 5$

$t^2 + 4t - 5 = 0$

По теореме Виета, $t_1 = 1, t_2 = -5$.

Выполним обратную замену:

1) $t = 1$: $x^2 + 4x = 1 \implies x^2 + 4x - 1 = 0$. Дискриминант $D' = (b/2)^2 - ac = 2^2 - 1(-1) = 5$. Корни: $x_{1,2} = -2 \pm \sqrt{5}$.

2) $t = -5$: $x^2 + 4x = -5 \implies x^2 + 4x + 5 = 0$. Дискриминант $D = 4^2 - 4 \cdot 1 \cdot 5 = 16 - 20 = -4 < 0$. Действительных корней нет.

Корни $x = -2 \pm \sqrt{5}$ удовлетворяют ОДЗ.

Ответ: $x = -2 \pm \sqrt{5}$.

Помогло решение? Оставьте отзыв в комментариях ниже.

Присоединяйтесь к Телеграм-группе @gdz_by_belarus

Присоединиться

Мы подготовили для вас ответ c подробным объяснением домашего задания по алгебре за 9 класс, для упражнения номер 3.53 расположенного на странице 153 к учебнику 2019 года издания для учащихся школ и гимназий.

Теперь на нашем сайте ГДЗ.ТОП вы всегда легко и бесплатно найдёте условие с правильным ответом на вопрос «Как решить ДЗ» и «Как сделать» задание по алгебре к упражнению №3.53 (с. 153), авторов: Арефьева (Ирина Глебовна), Пирютко (Ольга Николаевна), учебного пособия издательства Народная асвета.