Номер 3.50, страница 153 - гдз по алгебре 9 класс учебник Арефьева, Пирютко

Алгебра, 9 класс Учебник, авторы: Арефьева Ирина Глебовна, Пирютко Ольга Николаевна, издательство Народная асвета, Минск, 2019, голубого цвета

Авторы: Арефьева И. Г., Пирютко О. Н.

Тип: Учебник

Издательство: Народная асвета

Год издания: 2019 - 2025

Цвет обложки: голубой, синий с графиком

ISBN: 978-985-03-3077-2

Допущено Министерством образования Республики Беларусь

Популярные ГДЗ в 9 классе

Глава 3. Дробно-рациональные уравнения и неравенства. Параграф 10. Дробно-рациональные уравнения - номер 3.50, страница 153.

№3.50 (с. 153)
Условие. №3.50 (с. 153)
скриншот условия
Алгебра, 9 класс Учебник, авторы: Арефьева Ирина Глебовна, Пирютко Ольга Николаевна, издательство Народная асвета, Минск, 2019, голубого цвета, страница 153, номер 3.50, Условие

3.50. Туристы шли вдоль реки к остановке автобуса. Не дойдя до остановки 3 км, они решили искупаться и потратили на это 15 мин. Чтобы успеть к автобусу вовремя, им пришлось увеличить скорость на $2 \frac{\text{КМ}}{\text{Ч}}$. Найдите, с какой скоростью шли туристы после купания.

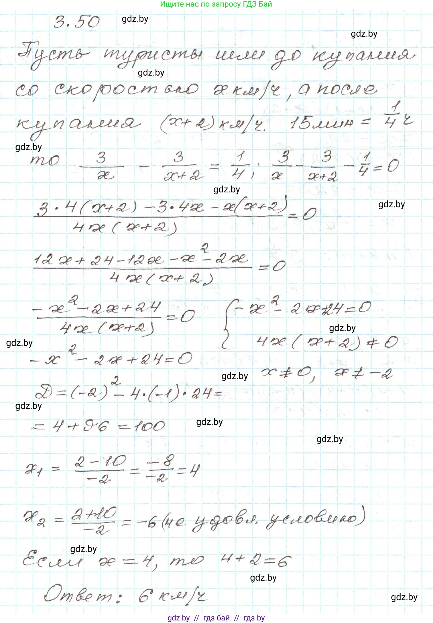
Решение. №3.50 (с. 153)
Алгебра, 9 класс Учебник, авторы: Арефьева Ирина Глебовна, Пирютко Ольга Николаевна, издательство Народная асвета, Минск, 2019, голубого цвета, страница 153, номер 3.50, Решение
Решение 2. №3.50 (с. 153)

Для решения задачи введем переменные. Пусть $v$ (км/ч) — первоначальная скорость туристов. Тогда время, которое они планировали потратить на оставшиеся 3 км, составляет $t_1 = \frac{3}{v}$ часа.

Туристы сделали остановку на 15 минут, что составляет $\frac{15}{60} = \frac{1}{4}$ часа. После остановки их скорость стала $v + 2$ км/ч. Время, которое они шли с новой скоростью, равно $t_2 = \frac{3}{v+2}$ часа.

Чтобы успеть на автобус вовремя, время, которое они планировали потратить изначально, должно быть равно сумме времени на купание и времени, затраченного на путь с увеличенной скоростью. Составим и решим уравнение:

$t_1 = t_2 + \frac{1}{4}$

$\frac{3}{v} = \frac{3}{v+2} + \frac{1}{4}$

Перенесем слагаемые с переменной $v$ в одну сторону:

$\frac{3}{v} - \frac{3}{v+2} = \frac{1}{4}$

Приведем дроби в левой части к общему знаменателю $v(v+2)$:

$\frac{3(v+2) - 3v}{v(v+2)} = \frac{1}{4}$

$\frac{3v + 6 - 3v}{v^2 + 2v} = \frac{1}{4}$

$\frac{6}{v^2 + 2v} = \frac{1}{4}$

Используя свойство пропорции (произведение крайних членов равно произведению средних), получаем:

$v^2 + 2v = 6 \cdot 4$

$v^2 + 2v - 24 = 0$

Мы получили квадратное уравнение. Найдем его корни через дискриминант:

$D = b^2 - 4ac = 2^2 - 4 \cdot 1 \cdot (-24) = 4 + 96 = 100$

$v = \frac{-b \pm \sqrt{D}}{2a} = \frac{-2 \pm \sqrt{100}}{2} = \frac{-2 \pm 10}{2}$

Уравнение имеет два корня:

$v_1 = \frac{-2 + 10}{2} = \frac{8}{2} = 4$

$v_2 = \frac{-2 - 10}{2} = \frac{-12}{2} = -6$

Поскольку скорость не может быть отрицательной, первоначальная скорость туристов была $v = 4$ км/ч.

Вопрос задачи — найти скорость, с которой туристы шли после купания. Эта скорость равна $v + 2$.

$4 + 2 = 6$ км/ч.

С какой скоростью шли туристы после купания: Ответ: 6 км/ч.

Помогло решение? Оставьте отзыв в комментариях ниже.

Присоединяйтесь к Телеграм-группе @gdz_by_belarus

Присоединиться

Мы подготовили для вас ответ c подробным объяснением домашего задания по алгебре за 9 класс, для упражнения номер 3.50 расположенного на странице 153 к учебнику 2019 года издания для учащихся школ и гимназий.

Теперь на нашем сайте ГДЗ.ТОП вы всегда легко и бесплатно найдёте условие с правильным ответом на вопрос «Как решить ДЗ» и «Как сделать» задание по алгебре к упражнению №3.50 (с. 153), авторов: Арефьева (Ирина Глебовна), Пирютко (Ольга Николаевна), учебного пособия издательства Народная асвета.