Номер 3.45, страница 152 - гдз по алгебре 9 класс учебник Арефьева, Пирютко

Алгебра, 9 класс Учебник, авторы: Арефьева Ирина Глебовна, Пирютко Ольга Николаевна, издательство Народная асвета, Минск, 2019, голубого цвета

Авторы: Арефьева И. Г., Пирютко О. Н.

Тип: Учебник

Издательство: Народная асвета

Год издания: 2019 - 2025

Цвет обложки: голубой, синий с графиком

ISBN: 978-985-03-3077-2

Допущено Министерством образования Республики Беларусь

Популярные ГДЗ в 9 классе

Глава 3. Дробно-рациональные уравнения и неравенства. Параграф 10. Дробно-рациональные уравнения - номер 3.45, страница 152.

№3.45 (с. 152)
Условие. №3.45 (с. 152)
скриншот условия
Алгебра, 9 класс Учебник, авторы: Арефьева Ирина Глебовна, Пирютко Ольга Николаевна, издательство Народная асвета, Минск, 2019, голубого цвета, страница 152, номер 3.45, Условие

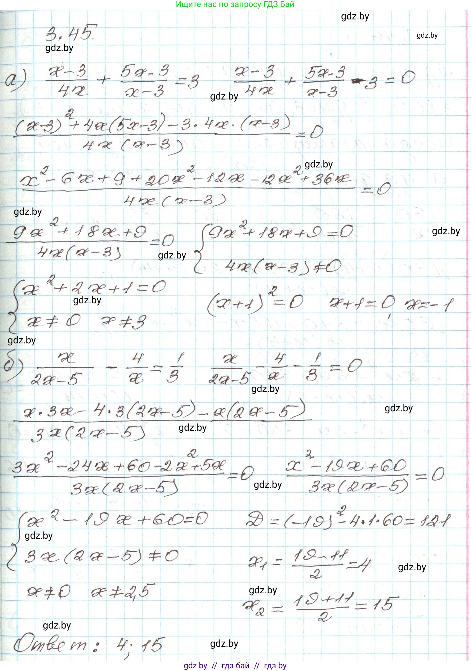
3.45. Найдите все значения переменной, при которых:

а) сумма дробей $ \frac{x-3}{4x} $ и $ \frac{5x-3}{x-3} $ равна 3;

б) разность дробей $ \frac{x}{2x-5} $ и $ \frac{4}{x} $ равна $ \frac{1}{3} $.

Решение. №3.45 (с. 152)
Алгебра, 9 класс Учебник, авторы: Арефьева Ирина Глебовна, Пирютко Ольга Николаевна, издательство Народная асвета, Минск, 2019, голубого цвета, страница 152, номер 3.45, Решение
Решение 2. №3.45 (с. 152)

а) сумма дробей $ \frac{x-3}{4x} $ и $ \frac{5x-3}{x-3} $ равна 3;

Запишем уравнение в соответствии с условием задачи:

$ \frac{x-3}{4x} + \frac{5x-3}{x-3} = 3 $

Определим область допустимых значений (ОДЗ) для переменной $x$. Знаменатели дробей не могут быть равны нулю:

  • $ 4x \neq 0 \implies x \neq 0 $
  • $ x - 3 \neq 0 \implies x \neq 3 $

Для решения уравнения приведем дроби в левой части к общему знаменателю, который равен $ 4x(x-3) $.

$ \frac{(x-3)(x-3)}{4x(x-3)} + \frac{4x(5x-3)}{4x(x-3)} = 3 $

Теперь можно записать числители под одной дробной чертой:

$ \frac{(x-3)^2 + 4x(5x-3)}{4x(x-3)} = 3 $

Умножим обе части уравнения на общий знаменатель $ 4x(x-3) $ (это возможно, так как мы учли, что $x \neq 0$ и $x \neq 3$):

$ (x-3)^2 + 4x(5x-3) = 3 \cdot 4x(x-3) $

Раскроем скобки в обеих частях уравнения:

$ (x^2 - 6x + 9) + (20x^2 - 12x) = 12x^2 - 36x $

Приведем подобные слагаемые в левой части:

$ 21x^2 - 18x + 9 = 12x^2 - 36x $

Перенесем все слагаемые в левую часть, чтобы получить стандартное квадратное уравнение:

$ 21x^2 - 12x^2 - 18x + 36x + 9 = 0 $

$ 9x^2 + 18x + 9 = 0 $

Разделим все уравнение на 9 для упрощения:

$ x^2 + 2x + 1 = 0 $

Левая часть является полным квадратом суммы:

$ (x+1)^2 = 0 $

Из этого следует, что:

$ x + 1 = 0 $

$ x = -1 $

Проверим, удовлетворяет ли найденный корень ОДЗ. Так как $ -1 \neq 0 $ и $ -1 \neq 3 $, корень является действительным решением уравнения.

Ответ: -1.

б) разность дробей $ \frac{x}{2x-5} $ и $ \frac{4}{x} $ равна $ \frac{1}{3} $;

Составим уравнение на основе условия задачи:

$ \frac{x}{2x-5} - \frac{4}{x} = \frac{1}{3} $

Найдем область допустимых значений (ОДЗ). Знаменатели не должны обращаться в ноль:

  • $ 2x - 5 \neq 0 \implies 2x \neq 5 \implies x \neq \frac{5}{2} $
  • $ x \neq 0 $

Для решения перенесем все слагаемые в одну часть и приведем их к общему знаменателю $ 3x(2x-5) $:

$ \frac{x}{2x-5} - \frac{4}{x} - \frac{1}{3} = 0 $

$ \frac{x \cdot 3x}{3x(2x-5)} - \frac{4 \cdot 3(2x-5)}{3x(2x-5)} - \frac{1 \cdot x(2x-5)}{3x(2x-5)} = 0 $

$ \frac{3x^2 - 12(2x-5) - x(2x-5)}{3x(2x-5)} = 0 $

Дробь равна нулю тогда и только тогда, когда ее числитель равен нулю, а знаменатель не равен нулю. Приравниваем числитель к нулю:

$ 3x^2 - 12(2x-5) - x(2x-5) = 0 $

Раскрываем скобки:

$ 3x^2 - 24x + 60 - 2x^2 + 5x = 0 $

Приводим подобные члены:

$ (3x^2 - 2x^2) + (-24x + 5x) + 60 = 0 $

$ x^2 - 19x + 60 = 0 $

Получили квадратное уравнение. Решим его с помощью дискриминанта:

$ D = b^2 - 4ac = (-19)^2 - 4 \cdot 1 \cdot 60 = 361 - 240 = 121 $

Так как $ D > 0 $, уравнение имеет два различных корня:

$ x_1 = \frac{-b - \sqrt{D}}{2a} = \frac{19 - \sqrt{121}}{2 \cdot 1} = \frac{19 - 11}{2} = \frac{8}{2} = 4 $

$ x_2 = \frac{-b + \sqrt{D}}{2a} = \frac{19 + \sqrt{121}}{2 \cdot 1} = \frac{19 + 11}{2} = \frac{30}{2} = 15 $

Также можно было использовать теорему Виета: сумма корней $x_1+x_2 = 19$, а их произведение $x_1 \cdot x_2 = 60$. Этим условиям удовлетворяют числа 4 и 15.

Оба корня, $ x_1 = 4 $ и $ x_2 = 15 $, принадлежат ОДЗ ($ x \neq 0 $ и $ x \neq \frac{5}{2} $).

Ответ: 4; 15.

Помогло решение? Оставьте отзыв в комментариях ниже.

Присоединяйтесь к Телеграм-группе @gdz_by_belarus

Присоединиться

Мы подготовили для вас ответ c подробным объяснением домашего задания по алгебре за 9 класс, для упражнения номер 3.45 расположенного на странице 152 к учебнику 2019 года издания для учащихся школ и гимназий.

Теперь на нашем сайте ГДЗ.ТОП вы всегда легко и бесплатно найдёте условие с правильным ответом на вопрос «Как решить ДЗ» и «Как сделать» задание по алгебре к упражнению №3.45 (с. 152), авторов: Арефьева (Ирина Глебовна), Пирютко (Ольга Николаевна), учебного пособия издательства Народная асвета.