Номер 3.39, страница 151 - гдз по алгебре 9 класс учебник Арефьева, Пирютко

Алгебра, 9 класс Учебник, авторы: Арефьева Ирина Глебовна, Пирютко Ольга Николаевна, издательство Народная асвета, Минск, 2019, голубого цвета

Авторы: Арефьева И. Г., Пирютко О. Н.

Тип: Учебник

Издательство: Народная асвета

Год издания: 2019 - 2025

Цвет обложки: голубой, синий с графиком

ISBN: 978-985-03-3077-2

Допущено Министерством образования Республики Беларусь

Популярные ГДЗ в 9 классе

Глава 3. Дробно-рациональные уравнения и неравенства. Параграф 10. Дробно-рациональные уравнения - номер 3.39, страница 151.

№3.39 (с. 151)
Условие. №3.39 (с. 151)
скриншот условия
Алгебра, 9 класс Учебник, авторы: Арефьева Ирина Глебовна, Пирютко Ольга Николаевна, издательство Народная асвета, Минск, 2019, голубого цвета, страница 151, номер 3.39, Условие

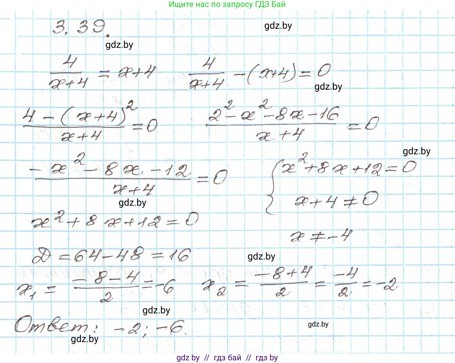
3.39. Найдите все значения переменной, при которых значение дроби $\frac{4}{x+4}$ равно значению выражения $x+4$.

Решение. №3.39 (с. 151)
Алгебра, 9 класс Учебник, авторы: Арефьева Ирина Глебовна, Пирютко Ольга Николаевна, издательство Народная асвета, Минск, 2019, голубого цвета, страница 151, номер 3.39, Решение
Решение 2. №3.39 (с. 151)

Для того чтобы найти все значения переменной, при которых значение дроби равно значению выражения, необходимо их приравнять.

Составим уравнение на основе условия задачи:

$$ \frac{4}{x+4} = x+4 $$

Знаменатель дроби не может быть равен нулю, поэтому определим область допустимых значений (ОДЗ) для переменной $x$:

$$ x+4 \neq 0 $$$$ x \neq -4 $$

Теперь приступим к решению уравнения. Умножим обе части на выражение $(x+4)$, так как мы уже установили, что оно не равно нулю:

$$ 4 = (x+4)(x+4) $$$$ 4 = (x+4)^2 $$

Данное уравнение можно решить, извлекая квадратный корень из обеих частей. Это приведет к двум возможным случаям:

1. $x+4 = \sqrt{4}$

2. $x+4 = -\sqrt{4}$

Найдем значение $x$ для каждого случая:

1) $x+4 = 2$

$$ x_1 = 2 - 4 $$$$ x_1 = -2 $$

2) $x+4 = -2$

$$ x_2 = -2 - 4 $$$$ x_2 = -6 $$

Оба найденных корня, $x_1 = -2$ и $x_2 = -6$, не противоречат области допустимых значений ($x \neq -4$), следовательно, оба являются решениями задачи.

Ответ: -2; -6.

Помогло решение? Оставьте отзыв в комментариях ниже.

Присоединяйтесь к Телеграм-группе @gdz_by_belarus

Присоединиться

Мы подготовили для вас ответ c подробным объяснением домашего задания по алгебре за 9 класс, для упражнения номер 3.39 расположенного на странице 151 к учебнику 2019 года издания для учащихся школ и гимназий.

Теперь на нашем сайте ГДЗ.ТОП вы всегда легко и бесплатно найдёте условие с правильным ответом на вопрос «Как решить ДЗ» и «Как сделать» задание по алгебре к упражнению №3.39 (с. 151), авторов: Арефьева (Ирина Глебовна), Пирютко (Ольга Николаевна), учебного пособия издательства Народная асвета.