Номер 3.37, страница 151 - гдз по алгебре 9 класс учебник Арефьева, Пирютко

Алгебра, 9 класс Учебник, авторы: Арефьева Ирина Глебовна, Пирютко Ольга Николаевна, издательство Народная асвета, Минск, 2019, голубого цвета

Авторы: Арефьева И. Г., Пирютко О. Н.

Тип: Учебник

Издательство: Народная асвета

Год издания: 2019 - 2025

Цвет обложки: голубой, синий с графиком

ISBN: 978-985-03-3077-2

Допущено Министерством образования Республики Беларусь

Популярные ГДЗ в 9 классе

Глава 3. Дробно-рациональные уравнения и неравенства. Параграф 10. Дробно-рациональные уравнения - номер 3.37, страница 151.

№3.37 (с. 151)
Условие. №3.37 (с. 151)
скриншот условия
Алгебра, 9 класс Учебник, авторы: Арефьева Ирина Глебовна, Пирютко Ольга Николаевна, издательство Народная асвета, Минск, 2019, голубого цвета, страница 151, номер 3.37, Условие

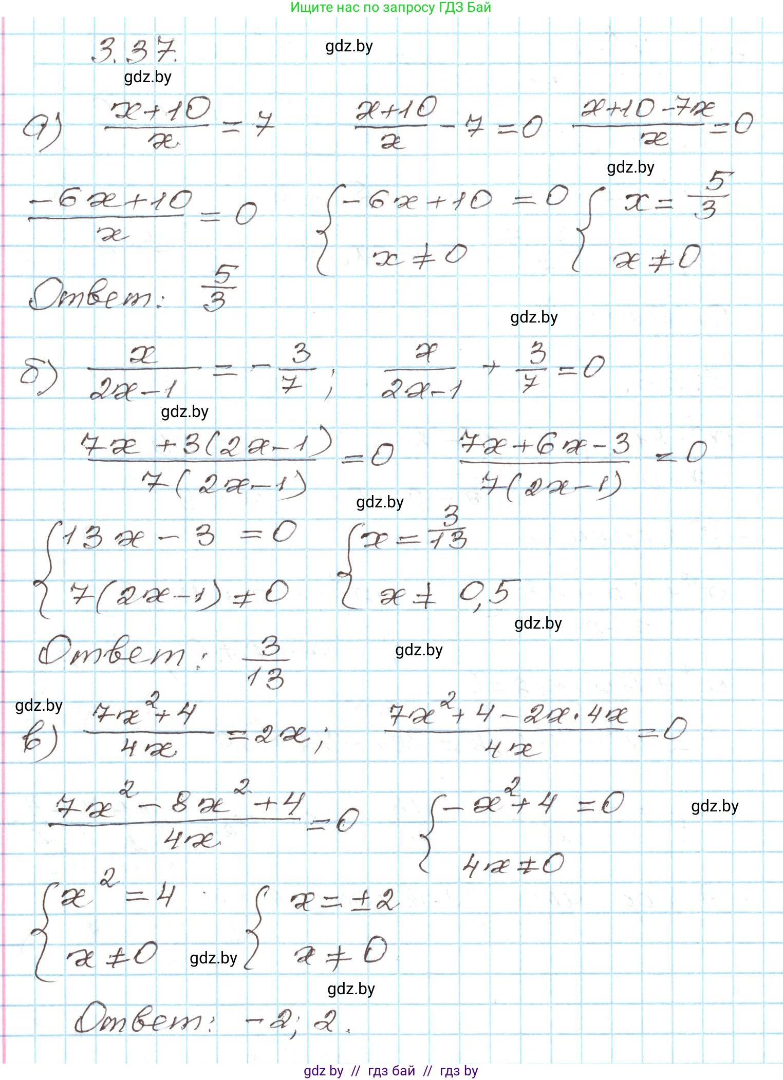
3.37. Решите уравнение, используя алгоритм:

а) $\frac{x + 10}{x} = 7;$

б) $\frac{x}{2x - 1} = -\frac{3}{7};$

в) $\frac{7x^2 + 4}{4x} = 2x;$

г) $\frac{3x^2 + 5}{1 - x^2} = -4.$

Решение. №3.37 (с. 151)
Алгебра, 9 класс Учебник, авторы: Арефьева Ирина Глебовна, Пирютко Ольга Николаевна, издательство Народная асвета, Минск, 2019, голубого цвета, страница 151, номер 3.37, Решение Алгебра, 9 класс Учебник, авторы: Арефьева Ирина Глебовна, Пирютко Ольга Николаевна, издательство Народная асвета, Минск, 2019, голубого цвета, страница 151, номер 3.37, Решение (продолжение 2)
Решение 2. №3.37 (с. 151)

а) $\frac{x+10}{x} = 7$

1. Область допустимых значений (ОДЗ): знаменатель не должен быть равен нулю, следовательно, $x \neq 0$.

2. Умножим обе части уравнения на $x$, чтобы избавиться от дроби (при условии, что $x \neq 0$):

$x \cdot \frac{x+10}{x} = 7 \cdot x$

$x+10 = 7x$

3. Решим полученное линейное уравнение:

$10 = 7x - x$

$10 = 6x$

$x = \frac{10}{6} = \frac{5}{3}$

4. Полученный корень $x=\frac{5}{3}$ удовлетворяет условию ОДЗ ($x \neq 0$). Выделим целую часть из неправильной дроби:

$x = 1\frac{2}{3}$

Ответ: 1$\frac{2}{3}$.


б) $\frac{x}{2x-1} = -\frac{3}{7}$

1. ОДЗ: $2x-1 \neq 0 \implies 2x \neq 1 \implies x \neq \frac{1}{2}$.

2. Используем основное свойство пропорции (перекрестное умножение):

$7 \cdot x = -3 \cdot (2x-1)$

3. Решим полученное линейное уравнение:

$7x = -6x + 3$

$7x + 6x = 3$

$13x = 3$

$x = \frac{3}{13}$

4. Полученный корень $x=\frac{3}{13}$ удовлетворяет условию ОДЗ ($x \neq \frac{1}{2}$).

Ответ: $\frac{3}{13}$.


в) $\frac{7x^2+4}{4x} = 2x$

1. ОДЗ: $4x \neq 0 \implies x \neq 0$.

2. Умножим обе части уравнения на $4x$ (при условии, что $x \neq 0$):

$4x \cdot \frac{7x^2+4}{4x} = 2x \cdot 4x$

$7x^2+4 = 8x^2$

3. Решим полученное квадратное уравнение:

$8x^2 - 7x^2 = 4$

$x^2 = 4$

$x_1 = 2$, $x_2 = -2$

4. Оба корня ($2$ и $-2$) удовлетворяют условию ОДЗ ($x \neq 0$).

Ответ: $\pm2$.


г) $\frac{3x^2+5}{1-x^2} = -4$

1. ОДЗ: $1-x^2 \neq 0 \implies x^2 \neq 1 \implies x \neq 1$ и $x \neq -1$.

2. Умножим обе части уравнения на $(1-x^2)$ (при условии, что $x \neq \pm1$):

$(1-x^2) \cdot \frac{3x^2+5}{1-x^2} = -4 \cdot (1-x^2)$

$3x^2+5 = -4 + 4x^2$

3. Решим полученное квадратное уравнение:

$5+4 = 4x^2 - 3x^2$

$9 = x^2$

$x_1 = 3$, $x_2 = -3$

4. Оба корня ($3$ и $-3$) удовлетворяют условию ОДЗ ($x \neq \pm1$).

Ответ: $\pm3$.

Помогло решение? Оставьте отзыв в комментариях ниже.

Присоединяйтесь к Телеграм-группе @gdz_by_belarus

Присоединиться

Мы подготовили для вас ответ c подробным объяснением домашего задания по алгебре за 9 класс, для упражнения номер 3.37 расположенного на странице 151 к учебнику 2019 года издания для учащихся школ и гимназий.

Теперь на нашем сайте ГДЗ.ТОП вы всегда легко и бесплатно найдёте условие с правильным ответом на вопрос «Как решить ДЗ» и «Как сделать» задание по алгебре к упражнению №3.37 (с. 151), авторов: Арефьева (Ирина Глебовна), Пирютко (Ольга Николаевна), учебного пособия издательства Народная асвета.