Номер 3.30, страница 150 - гдз по алгебре 9 класс учебник Арефьева, Пирютко

Алгебра, 9 класс Учебник, авторы: Арефьева Ирина Глебовна, Пирютко Ольга Николаевна, издательство Народная асвета, Минск, 2019, голубого цвета

Авторы: Арефьева И. Г., Пирютко О. Н.

Тип: Учебник

Издательство: Народная асвета

Год издания: 2019 - 2025

Цвет обложки: голубой, синий с графиком

ISBN: 978-985-03-3077-2

Допущено Министерством образования Республики Беларусь

Популярные ГДЗ в 9 классе

Глава 3. Дробно-рациональные уравнения и неравенства. Параграф 10. Дробно-рациональные уравнения - номер 3.30, страница 150.

№3.30 (с. 150)
Условие. №3.30 (с. 150)
скриншот условия
Алгебра, 9 класс Учебник, авторы: Арефьева Ирина Глебовна, Пирютко Ольга Николаевна, издательство Народная асвета, Минск, 2019, голубого цвета, страница 150, номер 3.30, Условие

3.30*. Выполните замену переменной и решите уравнение:

а) $3x^2 - 2 + \frac{1}{3x^2 - 2} = 2;$

б) $\frac{x^2 + 2}{x} + \frac{x}{x^2 + 2} = 3\frac{1}{3};$

в) $x^2 - 4x - \frac{15}{x^2 - 4x} = 2;$

г) $\frac{21}{x^2 - 4x + 10} - x^2 + 4x = 6;$

д) $\frac{x^2 + x - 10}{2} - \frac{3}{2x^2 + 2x - 20} = 1;$

е) $\frac{1}{x^2 + 6x} - \frac{1}{(x + 3)^2} = \frac{9}{10}.$

Решение. №3.30 (с. 150)
Алгебра, 9 класс Учебник, авторы: Арефьева Ирина Глебовна, Пирютко Ольга Николаевна, издательство Народная асвета, Минск, 2019, голубого цвета, страница 150, номер 3.30, Решение Алгебра, 9 класс Учебник, авторы: Арефьева Ирина Глебовна, Пирютко Ольга Николаевна, издательство Народная асвета, Минск, 2019, голубого цвета, страница 150, номер 3.30, Решение (продолжение 2)
Решение 2. №3.30 (с. 150)

а) Исходное уравнение: $3x^2 - 2 + \frac{1}{3x^2 - 2} = 2$.

Область допустимых значений (ОДЗ): знаменатель не должен быть равен нулю, т.е. $3x^2 - 2 \neq 0$, откуда $x^2 \neq \frac{2}{3}$ или $x \neq \pm \sqrt{\frac{2}{3}}$.

Введем замену переменной. Пусть $t = 3x^2 - 2$. Тогда уравнение примет вид:

$t + \frac{1}{t} = 2$

Умножим обе части уравнения на $t$ (при условии $t \neq 0$, что соответствует ОДЗ):

$t^2 + 1 = 2t$

$t^2 - 2t + 1 = 0$

Это полный квадрат: $(t-1)^2 = 0$.

Отсюда $t = 1$.

Выполним обратную замену:

$3x^2 - 2 = 1$

$3x^2 = 3$

$x^2 = 1$

$x = \pm 1$

Полученные корни удовлетворяют ОДЗ.

Ответ: $\pm 1$.

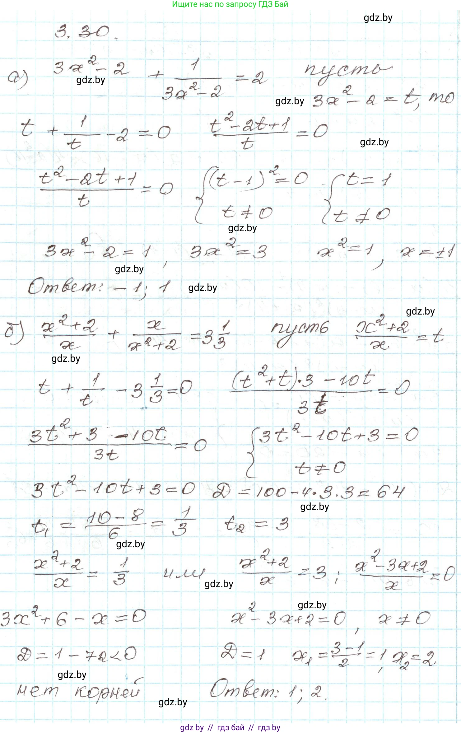
б) Исходное уравнение: $\frac{x^2+2}{x} + \frac{x}{x^2+2} = 3\frac{1}{3}$. (Предполагается, что "б" в начале является обозначением пункта, а не множителем 6).

ОДЗ: $x \neq 0$. Выражение $x^2+2$ всегда положительно.

Введем замену переменной. Пусть $t = \frac{x^2+2}{x}$. Тогда второе слагаемое равно $\frac{1}{t}$. Уравнение примет вид:

$t + \frac{1}{t} = 3\frac{1}{3}$

$t + \frac{1}{t} = \frac{10}{3}$

Умножим обе части на $3t$ (при $t \neq 0$, что выполняется, т.к. $x^2+2 \neq 0$):

$3t^2 + 3 = 10t$

$3t^2 - 10t + 3 = 0$

Решим квадратное уравнение относительно $t$. Дискриминант $D = (-10)^2 - 4 \cdot 3 \cdot 3 = 100 - 36 = 64 = 8^2$.

$t_1 = \frac{10 - 8}{2 \cdot 3} = \frac{2}{6} = \frac{1}{3}$

$t_2 = \frac{10 + 8}{2 \cdot 3} = \frac{18}{6} = 3$

Выполним обратную замену для каждого значения $t$.

1) Если $t = \frac{1}{3}$:

$\frac{x^2+2}{x} = \frac{1}{3} \implies 3(x^2+2) = x \implies 3x^2 - x + 6 = 0$

Дискриминант $D_x = (-1)^2 - 4 \cdot 3 \cdot 6 = 1 - 72 = -71 < 0$. Действительных корней нет.

2) Если $t = 3$:

$\frac{x^2+2}{x} = 3 \implies x^2+2 = 3x \implies x^2 - 3x + 2 = 0$

По теореме Виета, корни $x_1 = 1$, $x_2 = 2$.

Оба корня удовлетворяют ОДЗ.

Ответ: $1; 2$.

в) Исходное уравнение: $x^2 - 4x - \frac{15}{x^2 - 4x} = 2$.

ОДЗ: $x^2 - 4x \neq 0 \implies x(x-4) \neq 0 \implies x \neq 0$ и $x \neq 4$.

Введем замену переменной. Пусть $t = x^2 - 4x$. Уравнение примет вид:

$t - \frac{15}{t} = 2$

Умножим на $t$ (при $t \neq 0$):

$t^2 - 15 = 2t$

$t^2 - 2t - 15 = 0$

По теореме Виета, корни $t_1 = 5$, $t_2 = -3$.

Выполним обратную замену.

1) Если $t = 5$:

$x^2 - 4x = 5 \implies x^2 - 4x - 5 = 0$.

По теореме Виета, корни $x_1 = 5$, $x_2 = -1$.

2) Если $t = -3$:

$x^2 - 4x = -3 \implies x^2 - 4x + 3 = 0$.

По теореме Виета, корни $x_3 = 1$, $x_4 = 3$.

Все четыре корня удовлетворяют ОДЗ.

Ответ: $-1; 1; 3; 5$.

г) Исходное уравнение: $\frac{21}{x^2 - 4x + 10} - x^2 + 4x = 6$.

Преобразуем уравнение: $\frac{21}{x^2 - 4x + 10} - (x^2 - 4x) = 6$.

ОДЗ: знаменатель $x^2 - 4x + 10 \neq 0$. Дискриминант этого квадратного трехчлена $D = (-4)^2 - 4 \cdot 1 \cdot 10 = 16 - 40 = -24 < 0$. Так как коэффициент при $x^2$ положителен, трехчлен всегда положителен. ОДЗ: $x \in \mathbb{R}$.

Введем замену. Пусть $t = x^2 - 4x$. Тогда знаменатель равен $t+10$. Уравнение примет вид:

$\frac{21}{t+10} - t = 6$

Умножим на $(t+10)$ (т.к. $t+10 \neq 0$):

$21 - t(t+10) = 6(t+10)$

$21 - t^2 - 10t = 6t + 60$

$0 = t^2 + 16t + 39$

Решим квадратное уравнение относительно $t$. $D = 16^2 - 4 \cdot 1 \cdot 39 = 256 - 156 = 100 = 10^2$.

$t_1 = \frac{-16 - 10}{2} = -13$

$t_2 = \frac{-16 + 10}{2} = -3$

Выполним обратную замену.

1) Если $t = -13$:

$x^2 - 4x = -13 \implies x^2 - 4x + 13 = 0$.

Дискриминант $D_x = (-4)^2 - 4 \cdot 1 \cdot 13 = 16 - 52 = -36 < 0$. Действительных корней нет.

2) Если $t = -3$:

$x^2 - 4x = -3 \implies x^2 - 4x + 3 = 0$.

По теореме Виета, корни $x_1 = 1$, $x_2 = 3$.

Ответ: $1; 3$.

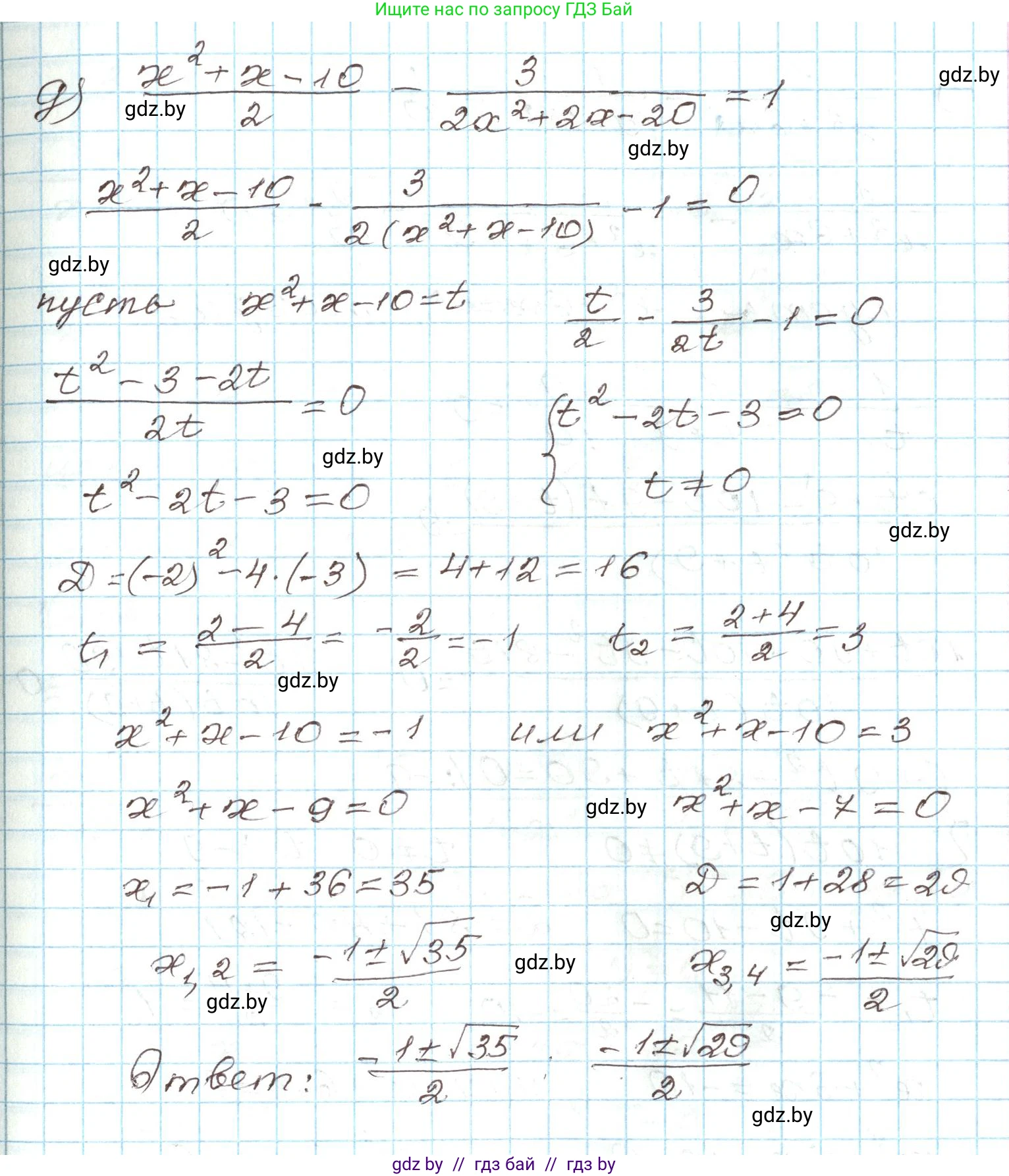
д) Исходное уравнение: $\frac{x^2+x-10}{2} - \frac{3}{2x^2+2x-20} = 1$.

Заметим, что $2x^2+2x-20 = 2(x^2+x-10)$.

ОДЗ: $2x^2+2x-20 \neq 0 \implies x^2+x-10 \neq 0$.

Введем замену. Пусть $t = x^2+x-10$. Уравнение примет вид:

$\frac{t}{2} - \frac{3}{2t} = 1$

Умножим на $2t$ (при $t \neq 0$):

$t^2 - 3 = 2t$

$t^2 - 2t - 3 = 0$

По теореме Виета, корни $t_1 = 3$, $t_2 = -1$. Оба корня не равны нулю, поэтому замена корректна.

Выполним обратную замену.

1) Если $t = 3$:

$x^2+x-10 = 3 \implies x^2+x-13 = 0$.

Дискриминант $D = 1^2 - 4 \cdot 1 \cdot (-13) = 1 + 52 = 53$.

Корни $x_{1,2} = \frac{-1 \pm \sqrt{53}}{2}$.

2) Если $t = -1$:

$x^2+x-10 = -1 \implies x^2+x-9 = 0$.

Дискриминант $D = 1^2 - 4 \cdot 1 \cdot (-9) = 1 + 36 = 37$.

Корни $x_{3,4} = \frac{-1 \pm \sqrt{37}}{2}$.

Ответ: $\frac{-1 \pm \sqrt{37}}{2}; \frac{-1 \pm \sqrt{53}}{2}$.

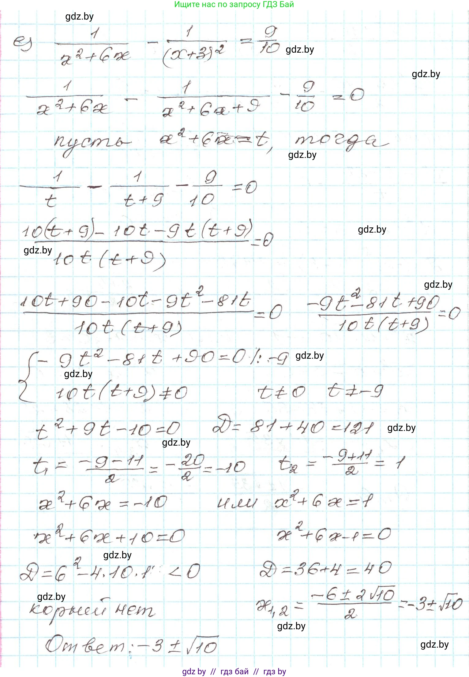
е) Исходное уравнение: $\frac{1}{x^2+6x} - \frac{1}{(x+3)^2} = \frac{9}{10}$.

Преобразуем знаменатель второй дроби: $(x+3)^2 = x^2+6x+9$.

ОДЗ: $x^2+6x \neq 0 \implies x(x+6) \neq 0 \implies x \neq 0$ и $x \neq -6$. Также $(x+3)^2 \neq 0 \implies x \neq -3$.

Введем замену. Пусть $t = x^2+6x$. Тогда $(x+3)^2 = t+9$. Уравнение примет вид:

$\frac{1}{t} - \frac{1}{t+9} = \frac{9}{10}$

Приведем левую часть к общему знаменателю:

$\frac{(t+9)-t}{t(t+9)} = \frac{9}{10}$

$\frac{9}{t(t+9)} = \frac{9}{10}$

Поскольку числители равны и не равны нулю, знаменатели также должны быть равны:

$t(t+9) = 10$

$t^2 + 9t - 10 = 0$

По теореме Виета, корни $t_1 = 1$, $t_2 = -10$.

Выполним обратную замену.

1) Если $t = 1$:

$x^2+6x = 1 \implies x^2+6x-1 = 0$.

Дискриминант $D = 6^2 - 4 \cdot 1 \cdot (-1) = 36 + 4 = 40 = 4 \cdot 10$.

Корни $x_{1,2} = \frac{-6 \pm \sqrt{40}}{2} = \frac{-6 \pm 2\sqrt{10}}{2} = -3 \pm \sqrt{10}$. Оба корня удовлетворяют ОДЗ.

2) Если $t = -10$:

$x^2+6x = -10 \implies x^2+6x+10 = 0$.

Дискриминант $D = 6^2 - 4 \cdot 1 \cdot 10 = 36 - 40 = -4 < 0$. Действительных корней нет.

Ответ: $-3 \pm \sqrt{10}$.

Помогло решение? Оставьте отзыв в комментариях ниже.

Присоединяйтесь к Телеграм-группе @gdz_by_belarus

Присоединиться

Мы подготовили для вас ответ c подробным объяснением домашего задания по алгебре за 9 класс, для упражнения номер 3.30 расположенного на странице 150 к учебнику 2019 года издания для учащихся школ и гимназий.

Теперь на нашем сайте ГДЗ.ТОП вы всегда легко и бесплатно найдёте условие с правильным ответом на вопрос «Как решить ДЗ» и «Как сделать» задание по алгебре к упражнению №3.30 (с. 150), авторов: Арефьева (Ирина Глебовна), Пирютко (Ольга Николаевна), учебного пособия издательства Народная асвета.