Номер 3.24, страница 149 - гдз по алгебре 9 класс учебник Арефьева, Пирютко

Алгебра, 9 класс Учебник, авторы: Арефьева Ирина Глебовна, Пирютко Ольга Николаевна, издательство Народная асвета, Минск, 2019, голубого цвета

Авторы: Арефьева И. Г., Пирютко О. Н.

Тип: Учебник

Издательство: Народная асвета

Год издания: 2019 - 2025

Цвет обложки: голубой, синий с графиком

ISBN: 978-985-03-3077-2

Допущено Министерством образования Республики Беларусь

Популярные ГДЗ в 9 классе

Глава 3. Дробно-рациональные уравнения и неравенства. Параграф 10. Дробно-рациональные уравнения - номер 3.24, страница 149.

№3.24 (с. 149)
Условие. №3.24 (с. 149)
скриншот условия
Алгебра, 9 класс Учебник, авторы: Арефьева Ирина Глебовна, Пирютко Ольга Николаевна, издательство Народная асвета, Минск, 2019, голубого цвета, страница 149, номер 3.24, Условие

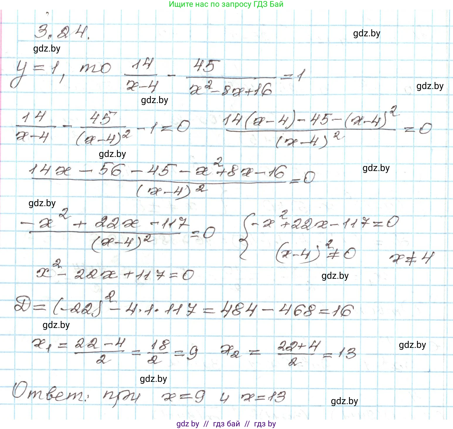
3.24. Найдите все значения аргумента, при которых значение функции $y = \frac{14}{x-4} - \frac{45}{x^2 - 8x + 16}$ равно 1.

Решение. №3.24 (с. 149)
Алгебра, 9 класс Учебник, авторы: Арефьева Ирина Глебовна, Пирютко Ольга Николаевна, издательство Народная асвета, Минск, 2019, голубого цвета, страница 149, номер 3.24, Решение
Решение 2. №3.24 (с. 149)

Для того чтобы найти все значения аргумента ($x$), при которых значение функции равно 1, необходимо решить уравнение:

$ \frac{14}{x-4} - \frac{45}{x^2 - 8x + 16} = 1 $

Сначала определим область допустимых значений (ОДЗ). Знаменатели дробей не должны обращаться в нуль. Заметим, что знаменатель второй дроби является полным квадратом разности: $x^2 - 8x + 16 = (x-4)^2$.

Таким образом, оба знаменателя ($x-4$ и $(x-4)^2$) обращаются в нуль при $x=4$. Следовательно, ОДЗ: $x \neq 4$.

Теперь решим уравнение, приведя левую часть к общему знаменателю $(x-4)^2$:

$\frac{14(x-4)}{(x-4)^2} - \frac{45}{(x-4)^2} = 1$

Объединим дроби в левой части:

$\frac{14(x-4) - 45}{(x-4)^2} = 1$

Раскроем скобки в числителе и упростим выражение:

$\frac{14x - 56 - 45}{(x-4)^2} = 1$

$\frac{14x - 101}{(x-4)^2} = 1$

Так как мы установили, что $x \neq 4$, мы можем умножить обе части уравнения на $(x-4)^2$:

$14x - 101 = (x-4)^2$

Раскроем квадрат разности в правой части по формуле $(a-b)^2 = a^2 - 2ab + b^2$:

$14x - 101 = x^2 - 8x + 16$

Перенесем все члены уравнения в одну сторону, чтобы получить стандартное квадратное уравнение:

$0 = x^2 - 8x - 14x + 16 + 101$

$x^2 - 22x + 117 = 0$

Решим полученное квадратное уравнение. Найдем дискриминант $D$ по формуле $D = b^2 - 4ac$:

$D = (-22)^2 - 4 \cdot 1 \cdot 117 = 484 - 468 = 16$

Так как $D > 0$, уравнение имеет два действительных корня. Найдем их по формуле $x = \frac{-b \pm \sqrt{D}}{2a}$:

$x_1 = \frac{-(-22) + \sqrt{16}}{2 \cdot 1} = \frac{22 + 4}{2} = \frac{26}{2} = 13$

$x_2 = \frac{-(-22) - \sqrt{16}}{2 \cdot 1} = \frac{22 - 4}{2} = \frac{18}{2} = 9$

Оба найденных корня, 9 и 13, не равны 4, следовательно, они удовлетворяют ОДЗ.

Ответ: 9; 13.

Помогло решение? Оставьте отзыв в комментариях ниже.

Присоединяйтесь к Телеграм-группе @gdz_by_belarus

Присоединиться

Мы подготовили для вас ответ c подробным объяснением домашего задания по алгебре за 9 класс, для упражнения номер 3.24 расположенного на странице 149 к учебнику 2019 года издания для учащихся школ и гимназий.

Теперь на нашем сайте ГДЗ.ТОП вы всегда легко и бесплатно найдёте условие с правильным ответом на вопрос «Как решить ДЗ» и «Как сделать» задание по алгебре к упражнению №3.24 (с. 149), авторов: Арефьева (Ирина Глебовна), Пирютко (Ольга Николаевна), учебного пособия издательства Народная асвета.