Номер 3.20, страница 148 - гдз по алгебре 9 класс учебник Арефьева, Пирютко

Алгебра, 9 класс Учебник, авторы: Арефьева Ирина Глебовна, Пирютко Ольга Николаевна, издательство Народная асвета, Минск, 2019, голубого цвета

Авторы: Арефьева И. Г., Пирютко О. Н.

Тип: Учебник

Издательство: Народная асвета

Год издания: 2019 - 2025

Цвет обложки: голубой, синий с графиком

ISBN: 978-985-03-3077-2

Допущено Министерством образования Республики Беларусь

Популярные ГДЗ в 9 классе

Глава 3. Дробно-рациональные уравнения и неравенства. Параграф 10. Дробно-рациональные уравнения - номер 3.20, страница 148.

№3.20 (с. 148)
Условие. №3.20 (с. 148)
скриншот условия
Алгебра, 9 класс Учебник, авторы: Арефьева Ирина Глебовна, Пирютко Ольга Николаевна, издательство Народная асвета, Минск, 2019, голубого цвета, страница 148, номер 3.20, Условие

3.20. Решите уравнение:

a) $\frac{x+4}{x-2} - \frac{x-3}{x^2-2x} = \frac{x-2}{x};$

б) $\frac{1}{x} - \frac{x-7}{x-6} + \frac{6}{6x-x^2} = 0;$

В) $\frac{x+1}{x-5} + \frac{12}{x^2-25} = 1;$

Г) $\frac{2}{x-1} + \frac{3}{x+1} = \frac{7x}{x^2-1};$

Д) $\frac{x}{3x+7} - \frac{3}{3x-7} = \frac{9x+21}{49-9x^2};$

е) $\frac{6}{x^2-36} + \frac{x-12}{x^2+6x} = \frac{3}{x^2-6x}.$

Решение. №3.20 (с. 148)
Алгебра, 9 класс Учебник, авторы: Арефьева Ирина Глебовна, Пирютко Ольга Николаевна, издательство Народная асвета, Минск, 2019, голубого цвета, страница 148, номер 3.20, Решение Алгебра, 9 класс Учебник, авторы: Арефьева Ирина Глебовна, Пирютко Ольга Николаевна, издательство Народная асвета, Минск, 2019, голубого цвета, страница 148, номер 3.20, Решение (продолжение 2)
Решение 2. №3.20 (с. 148)

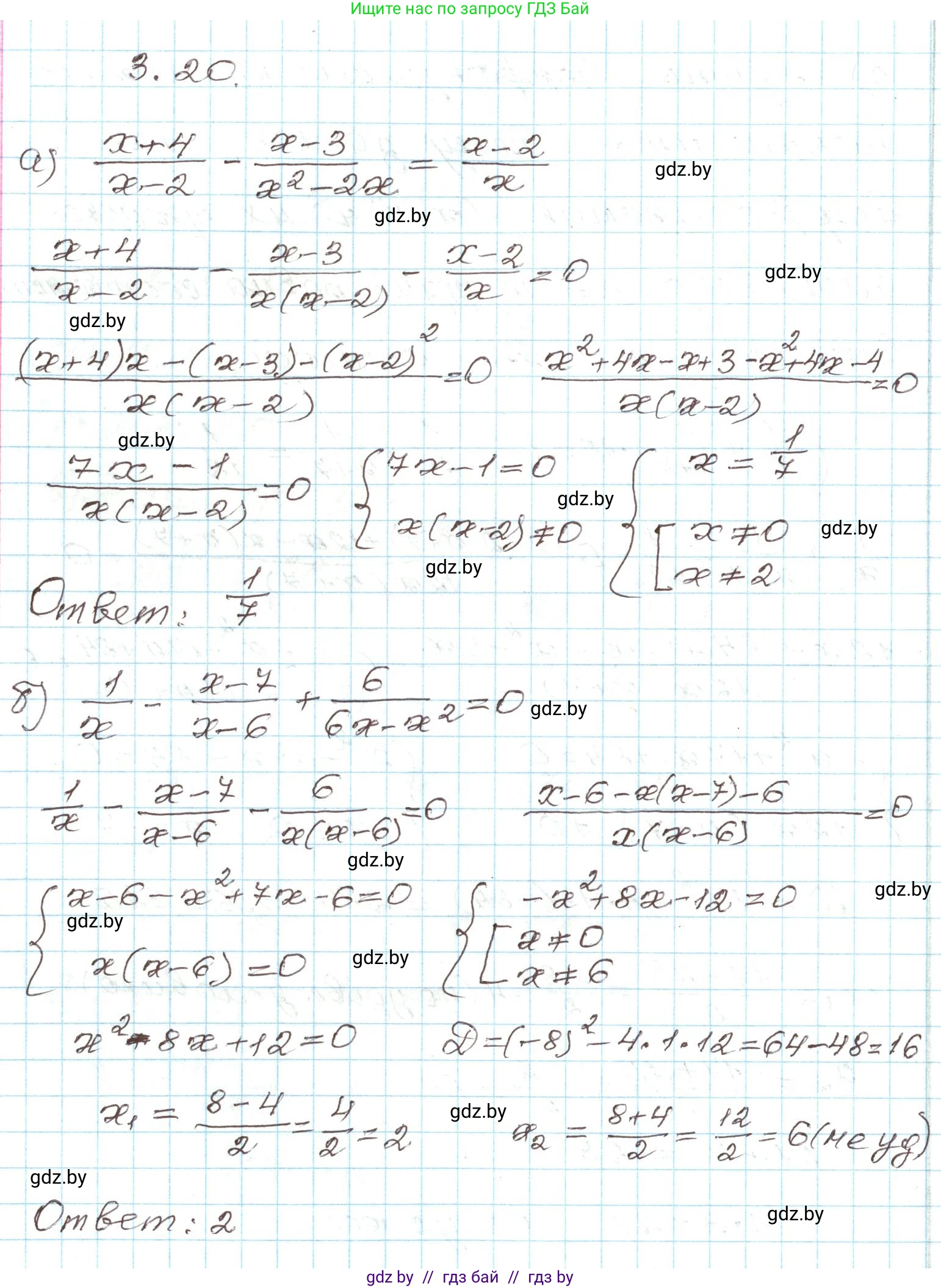
а) Исходное уравнение: $ \frac{x+4}{x-2} - \frac{x-3}{x^2-2x} = \frac{x-2}{x} $
Разложим знаменатель $ x^2-2x $ на множители: $ x^2-2x = x(x-2) $.
Уравнение примет вид: $ \frac{x+4}{x-2} - \frac{x-3}{x(x-2)} = \frac{x-2}{x} $
Область допустимых значений (ОДЗ): знаменатели не должны быть равны нулю, поэтому $ x \neq 2 $ и $ x \neq 0 $.
Приведем все дроби к общему знаменателю $ x(x-2) $: $$ \frac{x(x+4)}{x(x-2)} - \frac{x-3}{x(x-2)} = \frac{(x-2)(x-2)}{x(x-2)} $$ Умножим обе части уравнения на общий знаменатель, чтобы избавиться от дробей: $$ x(x+4) - (x-3) = (x-2)^2 $$ Раскроем скобки и упростим: $$ x^2 + 4x - x + 3 = x^2 - 4x + 4 $$ $$ x^2 + 3x + 3 = x^2 - 4x + 4 $$ Перенесем все члены с $x$ в одну сторону, а константы в другую: $$ 3x + 4x = 4 - 3 $$ $$ 7x = 1 $$ $$ x = \frac{1}{7} $$ Полученный корень $ x = \frac{1}{7} $ удовлетворяет ОДЗ ($ x \neq 2 $ и $ x \neq 0 $).
Ответ: $ \frac{1}{7} $

б) Исходное уравнение: $ \frac{1}{x} - \frac{x-7}{x-6} + \frac{6}{6x-x^2} = 0 $
Разложим знаменатель $ 6x-x^2 $ на множители: $ 6x-x^2 = x(6-x) = -x(x-6) $.
Уравнение примет вид: $ \frac{1}{x} - \frac{x-7}{x-6} - \frac{6}{x(x-6)} = 0 $
ОДЗ: $ x \neq 0 $ и $ x \neq 6 $.
Приведем все дроби к общему знаменателю $ x(x-6) $: $$ \frac{1 \cdot (x-6)}{x(x-6)} - \frac{x(x-7)}{x(x-6)} - \frac{6}{x(x-6)} = 0 $$ Умножим обе части уравнения на $ x(x-6) $: $$ (x-6) - x(x-7) - 6 = 0 $$ Раскроем скобки и упростим: $$ x - 6 - x^2 + 7x - 6 = 0 $$ $$ -x^2 + 8x - 12 = 0 $$ Умножим на -1: $$ x^2 - 8x + 12 = 0 $$ Найдем корни квадратного уравнения по теореме Виета: $ x_1 + x_2 = 8 $, $ x_1 \cdot x_2 = 12 $. Корни $ x_1 = 2 $, $ x_2 = 6 $.
Проверим корни по ОДЗ. $ x_1 = 2 $ удовлетворяет условию. $ x_2 = 6 $ не удовлетворяет ОДЗ ($ x \neq 6 $), поэтому является посторонним корнем.
Ответ: 2

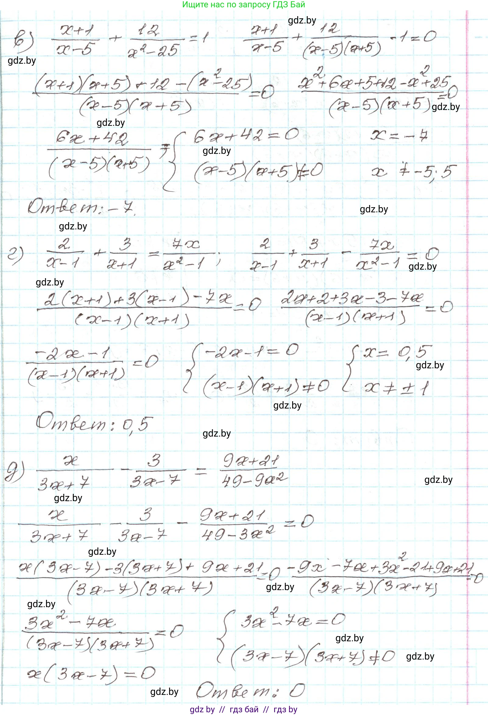
в) Исходное уравнение: $ \frac{x+1}{x-5} + \frac{12}{x^2-25} = 1 $
Разложим знаменатель $ x^2-25 $ по формуле разности квадратов: $ x^2-25 = (x-5)(x+5) $.
ОДЗ: $ x \neq 5 $ и $ x \neq -5 $.
Приведем к общему знаменателю $ (x-5)(x+5) $: $$ \frac{(x+1)(x+5)}{(x-5)(x+5)} + \frac{12}{(x-5)(x+5)} = \frac{(x-5)(x+5)}{(x-5)(x+5)} $$ Умножим обе части на $ (x-5)(x+5) $: $$ (x+1)(x+5) + 12 = (x-5)(x+5) $$ Раскроем скобки: $$ x^2 + 5x + x + 5 + 12 = x^2 - 25 $$ $$ x^2 + 6x + 17 = x^2 - 25 $$ $$ 6x = -25 - 17 $$ $$ 6x = -42 $$ $$ x = -7 $$ Корень $ x = -7 $ удовлетворяет ОДЗ.
Ответ: -7

г) Исходное уравнение: $ \frac{2}{x-1} + \frac{3}{x+1} = \frac{7x}{x^2-1} $
Разложим знаменатель $ x^2-1 $ по формуле разности квадратов: $ x^2-1 = (x-1)(x+1) $.
ОДЗ: $ x \neq 1 $ и $ x \neq -1 $.
Приведем к общему знаменателю $ (x-1)(x+1) $: $$ \frac{2(x+1)}{(x-1)(x+1)} + \frac{3(x-1)}{(x-1)(x+1)} = \frac{7x}{(x-1)(x+1)} $$ Умножим обе части на $ (x-1)(x+1) $: $$ 2(x+1) + 3(x-1) = 7x $$ Раскроем скобки: $$ 2x + 2 + 3x - 3 = 7x $$ $$ 5x - 1 = 7x $$ $$ -1 = 2x $$ $$ x = -\frac{1}{2} $$ Корень $ x = -\frac{1}{2} $ удовлетворяет ОДЗ.
Ответ: $ -\frac{1}{2} $

д) Исходное уравнение: $ \frac{x}{3x+7} - \frac{3}{3x-7} = \frac{9x+21}{49-9x^2} $
Преобразуем знаменатель: $ 49-9x^2 = -(9x^2-49) = -(3x-7)(3x+7) $.
Уравнение примет вид: $ \frac{x}{3x+7} - \frac{3}{3x-7} = -\frac{9x+21}{(3x-7)(3x+7)} $
ОДЗ: $ 3x+7 \neq 0 \Rightarrow x \neq -\frac{7}{3} $ и $ 3x-7 \neq 0 \Rightarrow x \neq \frac{7}{3} $.
Приведем к общему знаменателю $ (3x-7)(3x+7) $: $$ \frac{x(3x-7)}{(3x-7)(3x+7)} - \frac{3(3x+7)}{(3x-7)(3x+7)} = -\frac{9x+21}{(3x-7)(3x+7)} $$ Умножим обе части на $ (3x-7)(3x+7) $: $$ x(3x-7) - 3(3x+7) = -(9x+21) $$ Раскроем скобки: $$ 3x^2 - 7x - 9x - 21 = -9x - 21 $$ $$ 3x^2 - 16x - 21 = -9x - 21 $$ $$ 3x^2 - 16x + 9x = 0 $$ $$ 3x^2 - 7x = 0 $$ Вынесем $x$ за скобки: $$ x(3x-7) = 0 $$ Получаем два возможных корня: $ x_1 = 0 $ или $ 3x-7 = 0 \Rightarrow x_2 = \frac{7}{3} $.
Проверим корни по ОДЗ. $ x_1 = 0 $ удовлетворяет условию. $ x_2 = \frac{7}{3} $ не удовлетворяет ОДЗ ($ x \neq \frac{7}{3} $), поэтому является посторонним корнем.
Ответ: 0

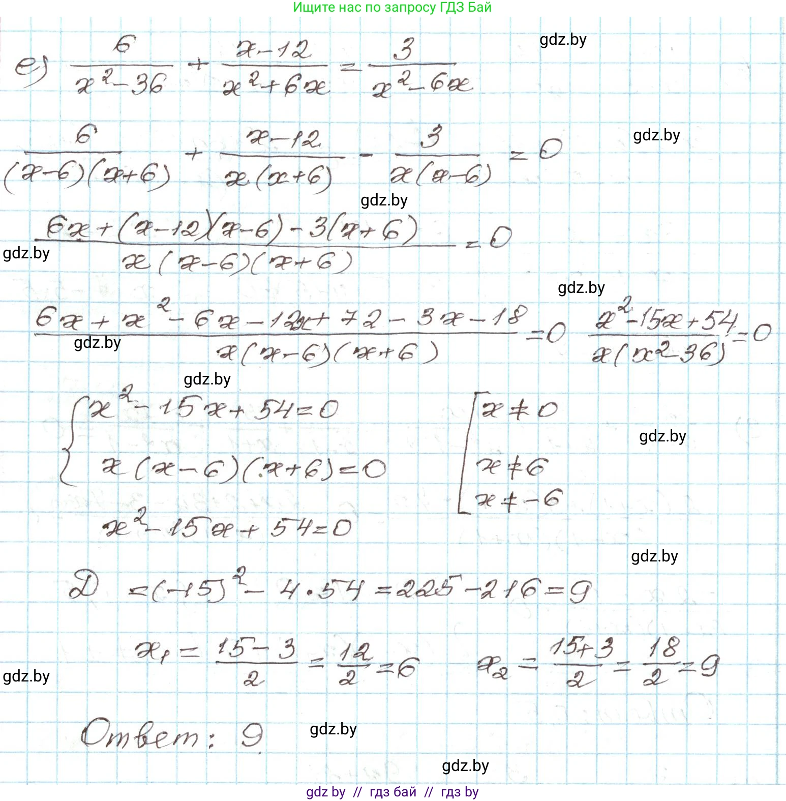
е) Исходное уравнение: $ \frac{6}{x^2-36} + \frac{x-12}{x^2+6x} = \frac{3}{x^2-6x} $
Разложим знаменатели на множители: $ x^2-36 = (x-6)(x+6) $, $ x^2+6x = x(x+6) $, $ x^2-6x = x(x-6) $.
ОДЗ: $ x \neq 0 $, $ x \neq 6 $, $ x \neq -6 $.
Общий знаменатель $ x(x-6)(x+6) $. Приведем дроби к нему: $$ \frac{6x}{x(x-6)(x+6)} + \frac{(x-12)(x-6)}{x(x-6)(x+6)} = \frac{3(x+6)}{x(x-6)(x+6)} $$ Умножим обе части на $ x(x-6)(x+6) $: $$ 6x + (x-12)(x-6) = 3(x+6) $$ Раскроем скобки: $$ 6x + x^2 - 6x - 12x + 72 = 3x + 18 $$ $$ x^2 - 12x + 72 = 3x + 18 $$ Перенесем все члены в левую часть: $$ x^2 - 12x - 3x + 72 - 18 = 0 $$ $$ x^2 - 15x + 54 = 0 $$ Найдем корни по теореме Виета: $ x_1 + x_2 = 15 $, $ x_1 \cdot x_2 = 54 $. Корни $ x_1 = 6 $, $ x_2 = 9 $.
Проверим корни по ОДЗ. $ x_1 = 6 $ не удовлетворяет ОДЗ ($ x \neq 6 $), поэтому является посторонним корнем. $ x_2 = 9 $ удовлетворяет ОДЗ.
Ответ: 9

Помогло решение? Оставьте отзыв в комментариях ниже.

Присоединяйтесь к Телеграм-группе @gdz_by_belarus

Присоединиться

Мы подготовили для вас ответ c подробным объяснением домашего задания по алгебре за 9 класс, для упражнения номер 3.20 расположенного на странице 148 к учебнику 2019 года издания для учащихся школ и гимназий.

Теперь на нашем сайте ГДЗ.ТОП вы всегда легко и бесплатно найдёте условие с правильным ответом на вопрос «Как решить ДЗ» и «Как сделать» задание по алгебре к упражнению №3.20 (с. 148), авторов: Арефьева (Ирина Глебовна), Пирютко (Ольга Николаевна), учебного пособия издательства Народная асвета.