Номер 3.13, страница 146 - гдз по алгебре 9 класс учебник Арефьева, Пирютко

Алгебра, 9 класс Учебник, авторы: Арефьева Ирина Глебовна, Пирютко Ольга Николаевна, издательство Народная асвета, Минск, 2019, голубого цвета

Авторы: Арефьева И. Г., Пирютко О. Н.

Тип: Учебник

Издательство: Народная асвета

Год издания: 2019 - 2025

Цвет обложки: голубой, синий с графиком

ISBN: 978-985-03-3077-2

Допущено Министерством образования Республики Беларусь

Популярные ГДЗ в 9 классе

Глава 3. Дробно-рациональные уравнения и неравенства. Параграф 10. Дробно-рациональные уравнения - номер 3.13, страница 146.

№3.13 (с. 146)
Условие. №3.13 (с. 146)
скриншот условия
Алгебра, 9 класс Учебник, авторы: Арефьева Ирина Глебовна, Пирютко Ольга Николаевна, издательство Народная асвета, Минск, 2019, голубого цвета, страница 146, номер 3.13, Условие

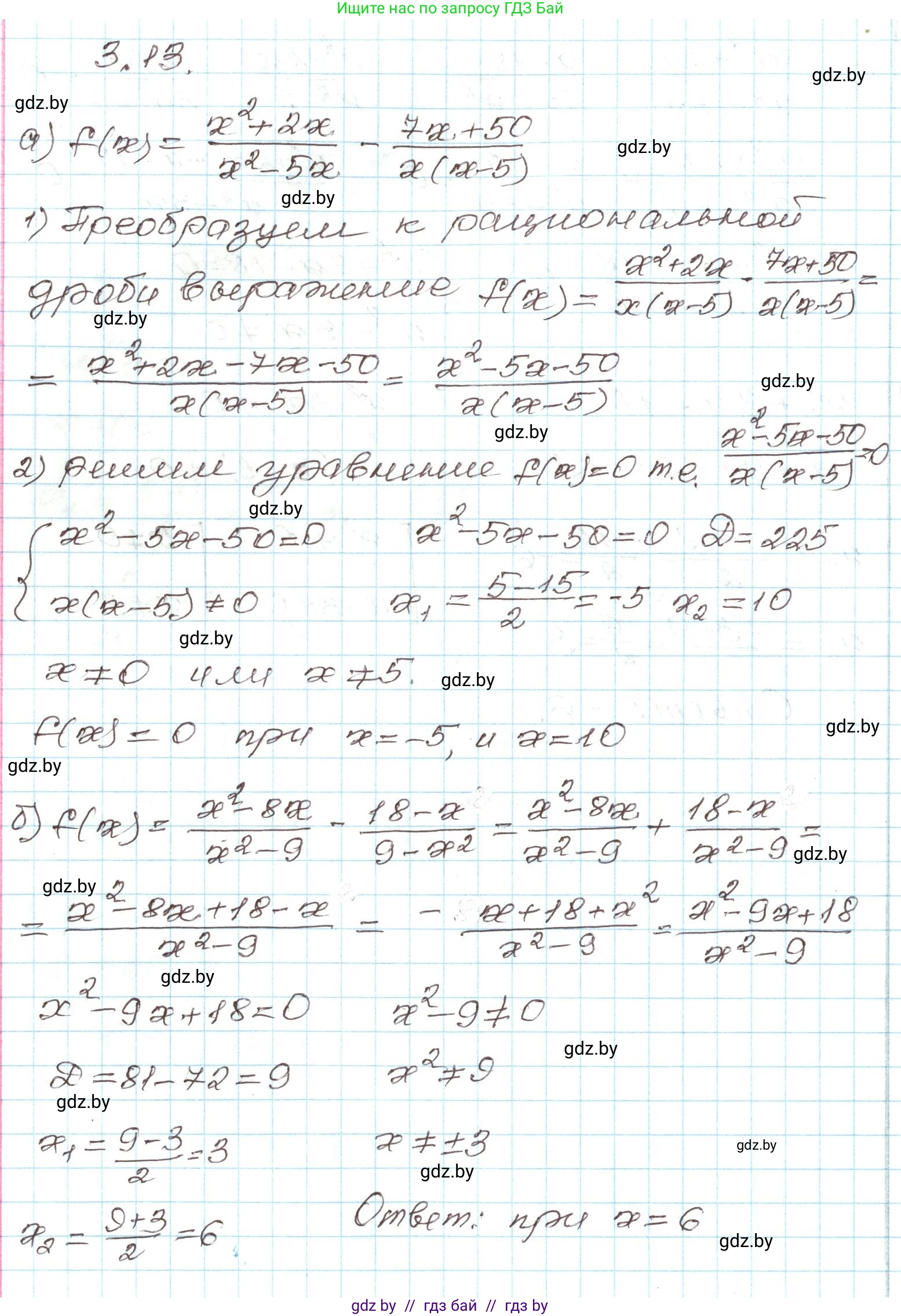
3.13. Составьте план решения и найдите нули функции:

а) $f(x) = \frac{x^2 + 2x}{x^2 - 5x} - \frac{7x + 50}{x(x-5)};$

б) $f(x) = \frac{x^2 - 8x}{x^2 - 9} - \frac{18 - x}{9 - x^2}.$

Решение. №3.13 (с. 146)
Алгебра, 9 класс Учебник, авторы: Арефьева Ирина Глебовна, Пирютко Ольга Николаевна, издательство Народная асвета, Минск, 2019, голубого цвета, страница 146, номер 3.13, Решение
Решение 2. №3.13 (с. 146)

План решения:

  1. Найти область допустимых значений (ОДЗ) функции. Для этого нужно найти все значения $x$, при которых знаменатели дробей в выражении функции не обращаются в ноль.
  2. Приравнять функцию к нулю, $f(x) = 0$.
  3. Упростить полученное уравнение. Как правило, это включает приведение дробей к общему знаменателю.
  4. Решить уравнение, полученное путем приравнивания числителя итоговой дроби к нулю.
  5. Проверить найденные корни на соответствие ОДЗ. Корни, которые не входят в ОДЗ, являются посторонними и отбрасываются. Оставшиеся корни являются нулями функции.

а) Дана функция $f(x) = \frac{x^2+2x}{x^2-5x} - \frac{7x+50}{x(x-5)}$.

1. Найдём область допустимых значений (ОДЗ).

Знаменатель $x^2-5x$ не должен быть равен нулю. Разложим его на множители: $x^2-5x = x(x-5)$.

Таким образом, $x(x-5) \neq 0$, что означает $x \neq 0$ и $x \neq 5$.

ОДЗ: $x \in (-\infty; 0) \cup (0; 5) \cup (5; +\infty)$.

2. Приравняем функцию к нулю.

$f(x) = 0 \Rightarrow \frac{x^2+2x}{x^2-5x} - \frac{7x+50}{x(x-5)} = 0$.

Поскольку $x^2-5x = x(x-5)$, знаменатели дробей одинаковы. Приведём их к общему знаменателю:

$\frac{x^2+2x - (7x+50)}{x(x-5)} = 0$.

3. Решим уравнение.

Дробь равна нулю, когда её числитель равен нулю, а знаменатель не равен нулю (это условие мы учли в ОДЗ). Приравниваем числитель к нулю:

$x^2+2x - 7x - 50 = 0$

$x^2-5x-50 = 0$

Это квадратное уравнение. Решим его с помощью дискриминанта $D = b^2 - 4ac$:

$D = (-5)^2 - 4 \cdot 1 \cdot (-50) = 25 + 200 = 225 = 15^2$.

Найдём корни:

$x_1 = \frac{-(-5) + \sqrt{225}}{2 \cdot 1} = \frac{5+15}{2} = \frac{20}{2} = 10$.

$x_2 = \frac{-(-5) - \sqrt{225}}{2 \cdot 1} = \frac{5-15}{2} = \frac{-10}{2} = -5$.

4. Проверим корни.

Найденные значения $x=10$ и $x=-5$ не совпадают с ограничениями ОДЗ ($x \neq 0, x \neq 5$). Следовательно, оба являются нулями функции.

Ответ: -5; 10.

б) Дана функция $f(x) = \frac{x^2-8x}{x^2-9} - \frac{18-x}{9-x^2}$.

1. Найдём область допустимых значений (ОДЗ).

Знаменатели не должны быть равны нулю:

$x^2-9 \neq 0 \Rightarrow (x-3)(x+3) \neq 0 \Rightarrow x \neq 3$ и $x \neq -3$.

Знаменатель $9-x^2 = -(x^2-9)$ также не равен нулю при тех же условиях.

ОДЗ: $x \in (-\infty; -3) \cup (-3; 3) \cup (3; +\infty)$.

2. Приравняем функцию к нулю и упростим.

$f(x) = 0 \Rightarrow \frac{x^2-8x}{x^2-9} - \frac{18-x}{9-x^2} = 0$.

Преобразуем вторую дробь, вынеся минус из знаменателя:

$\frac{x^2-8x}{x^2-9} - \frac{18-x}{-(x^2-9)} = 0$

$\frac{x^2-8x}{x^2-9} + \frac{18-x}{x^2-9} = 0$

Сложим дроби с одинаковыми знаменателями:

$\frac{x^2-8x+18-x}{x^2-9} = 0$

$\frac{x^2-9x+18}{x^2-9} = 0$

3. Решим уравнение.

Приравниваем числитель к нулю:

$x^2 - 9x + 18 = 0$.

По теореме Виета:

$x_1+x_2 = 9$

$x_1 \cdot x_2 = 18$

Подбором находим корни: $x_1 = 3$, $x_2 = 6$.

4. Проверим корни.

Корень $x_1 = 3$ не принадлежит ОДЗ ($x \neq 3$), поэтому это посторонний корень.

Корень $x_2 = 6$ принадлежит ОДЗ.

Таким образом, у функции только один нуль.

Ответ: 6.

Помогло решение? Оставьте отзыв в комментариях ниже.

Присоединяйтесь к Телеграм-группе @gdz_by_belarus

Присоединиться

Мы подготовили для вас ответ c подробным объяснением домашего задания по алгебре за 9 класс, для упражнения номер 3.13 расположенного на странице 146 к учебнику 2019 года издания для учащихся школ и гимназий.

Теперь на нашем сайте ГДЗ.ТОП вы всегда легко и бесплатно найдёте условие с правильным ответом на вопрос «Как решить ДЗ» и «Как сделать» задание по алгебре к упражнению №3.13 (с. 146), авторов: Арефьева (Ирина Глебовна), Пирютко (Ольга Николаевна), учебного пособия издательства Народная асвета.