Номер 3.16, страница 147 - гдз по алгебре 9 класс учебник Арефьева, Пирютко

Алгебра, 9 класс Учебник, авторы: Арефьева Ирина Глебовна, Пирютко Ольга Николаевна, издательство Народная асвета, Минск, 2019, голубого цвета

Авторы: Арефьева И. Г., Пирютко О. Н.

Тип: Учебник

Издательство: Народная асвета

Год издания: 2019 - 2025

Цвет обложки: голубой, синий с графиком

ISBN: 978-985-03-3077-2

Допущено Министерством образования Республики Беларусь

Популярные ГДЗ в 9 классе

Глава 3. Дробно-рациональные уравнения и неравенства. Параграф 10. Дробно-рациональные уравнения - номер 3.16, страница 147.

№3.16 (с. 147)
Условие. №3.16 (с. 147)
скриншот условия
Алгебра, 9 класс Учебник, авторы: Арефьева Ирина Глебовна, Пирютко Ольга Николаевна, издательство Народная асвета, Минск, 2019, голубого цвета, страница 147, номер 3.16, Условие

3.16. Найдите корни уравнения:

а) $\frac{2}{x-2} - \frac{5}{x+2} = 1;$

б) $\frac{x+5}{2x} + \frac{2x}{x+5} = 2;$

в) $\frac{3x-9}{x-1} + \frac{x+6}{x+1} = 3;$

г) $\frac{3x-1}{2x-3} - 4 = \frac{7}{2x+3};$

д) $\frac{1}{x+1} + \frac{2}{x+2} = \frac{6}{x+3};$

е) $\frac{4}{x+2} + \frac{3}{x+3} = \frac{8x+3}{x+1}.$

Решение. №3.16 (с. 147)
Алгебра, 9 класс Учебник, авторы: Арефьева Ирина Глебовна, Пирютко Ольга Николаевна, издательство Народная асвета, Минск, 2019, голубого цвета, страница 147, номер 3.16, Решение Алгебра, 9 класс Учебник, авторы: Арефьева Ирина Глебовна, Пирютко Ольга Николаевна, издательство Народная асвета, Минск, 2019, голубого цвета, страница 147, номер 3.16, Решение (продолжение 2)
Решение 2. №3.16 (с. 147)

а) Решим уравнение $\frac{2}{x-2} - \frac{5}{x+2} = 1$.
Область допустимых значений (ОДЗ): $x-2 \neq 0$ и $x+2 \neq 0$, то есть $x \neq 2$ и $x \neq -2$.
Приведем дроби в левой части к общему знаменателю $(x-2)(x+2) = x^2-4$:
$\frac{2(x+2) - 5(x-2)}{(x-2)(x+2)} = 1$
$\frac{2x+4 - 5x+10}{x^2-4} = 1$
$\frac{-3x+14}{x^2-4} = 1$
Умножим обе части на знаменатель $x^2-4$ (который не равен нулю в ОДЗ):
$-3x+14 = x^2-4$
Перенесем все члены в правую часть, чтобы получить стандартное квадратное уравнение:
$x^2 + 3x - 14 - 4 = 0$
$x^2 + 3x - 18 = 0$
По теореме Виета, сумма корней $x_1+x_2 = -3$ и произведение корней $x_1 \cdot x_2 = -18$. Подбором находим корни:
$x_1 = -6$ и $x_2 = 3$.
Оба корня удовлетворяют ОДЗ.
Ответ: $x_1 = -6, x_2 = 3$.

б) Решим уравнение $\frac{x+5}{2x} + \frac{2x}{x+5} = 2$.
ОДЗ: $2x \neq 0$ и $x+5 \neq 0$, то есть $x \neq 0$ и $x \neq -5$.
Заметим, что вторая дробь является обратной к первой. Сделаем замену: пусть $y = \frac{x+5}{2x}$. Тогда уравнение примет вид:
$y + \frac{1}{y} = 2$
Умножим обе части на $y$ (так как $y \neq 0$):
$y^2 + 1 = 2y$
$y^2 - 2y + 1 = 0$
$(y-1)^2 = 0$
Отсюда $y=1$.
Сделаем обратную замену:
$\frac{x+5}{2x} = 1$
$x+5 = 2x$
$x = 5$.
Корень $x=5$ удовлетворяет ОДЗ.
Ответ: $x = 5$.

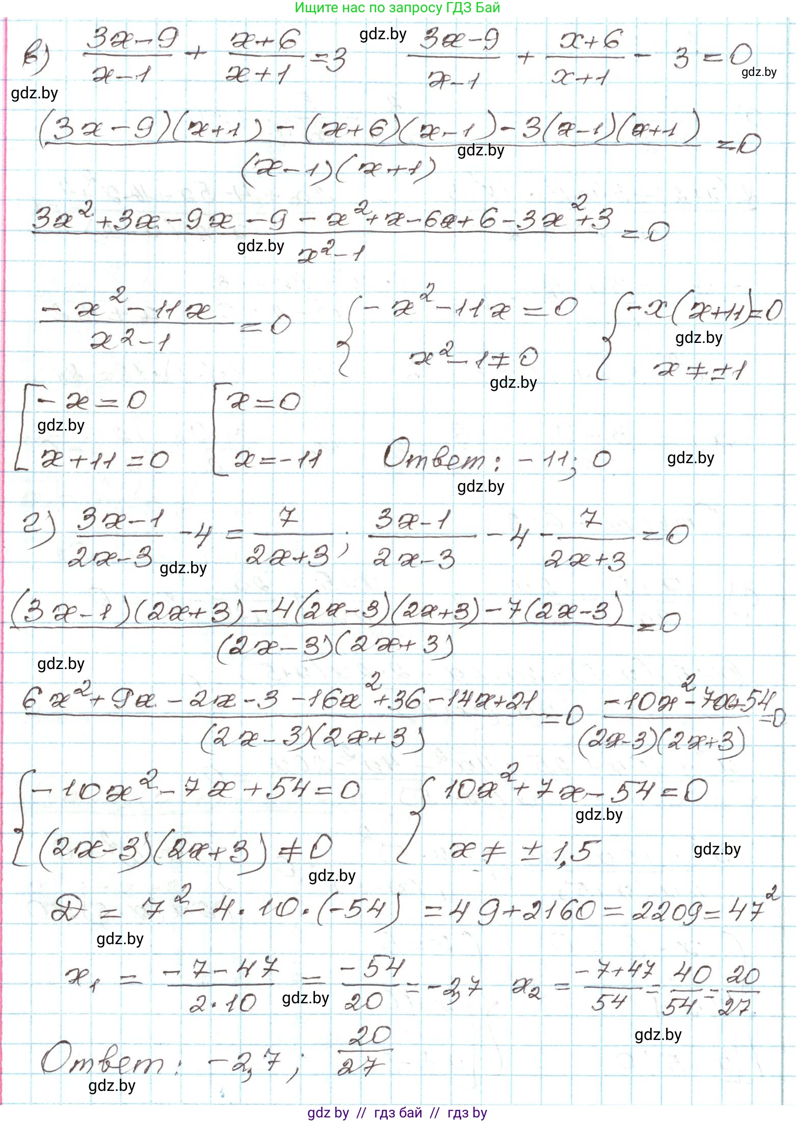
в) Решим уравнение $\frac{3x-9}{x-1} + \frac{x+6}{x+1} = 3$.
ОДЗ: $x-1 \neq 0$ и $x+1 \neq 0$, то есть $x \neq 1$ и $x \neq -1$.
Приведем дроби в левой части к общему знаменателю $(x-1)(x+1) = x^2-1$:
$\frac{(3x-9)(x+1) + (x+6)(x-1)}{(x-1)(x+1)} = 3$
$\frac{(3x^2+3x-9x-9) + (x^2-x+6x-6)}{x^2-1} = 3$
$\frac{3x^2-6x-9 + x^2+5x-6}{x^2-1} = 3$
$\frac{4x^2-x-15}{x^2-1} = 3$
$4x^2-x-15 = 3(x^2-1)$
$4x^2-x-15 = 3x^2-3$
$4x^2-3x^2-x-15+3 = 0$
$x^2-x-12 = 0$
По теореме Виета: $x_1+x_2 = 1$ и $x_1 \cdot x_2 = -12$. Корни:
$x_1=4$ и $x_2=-3$.
Оба корня удовлетворяют ОДЗ.
Ответ: $x_1 = 4, x_2 = -3$.

г) Решим уравнение $\frac{3x-1}{2x-3} - 4 = \frac{7}{2x+3}$.
ОДЗ: $2x-3 \neq 0$ и $2x+3 \neq 0$, то есть $x \neq \frac{3}{2}$ и $x \neq -\frac{3}{2}$.
Приведем левую часть к общему знаменателю:
$\frac{3x-1-4(2x-3)}{2x-3} = \frac{7}{2x+3}$
$\frac{3x-1-8x+12}{2x-3} = \frac{7}{2x+3}$
$\frac{-5x+11}{2x-3} = \frac{7}{2x+3}$
Воспользуемся свойством пропорции:
$(-5x+11)(2x+3) = 7(2x-3)$
$-10x^2-15x+22x+33 = 14x-21$
$-10x^2+7x+33 = 14x-21$
$-10x^2-7x+54=0$
$10x^2+7x-54=0$
Решим через дискриминант $D = b^2-4ac$:
$D = 7^2 - 4 \cdot 10 \cdot (-54) = 49 + 2160 = 2209 = 47^2$
$x_{1,2} = \frac{-7 \pm 47}{2 \cdot 10}$
$x_1 = \frac{-7+47}{20} = \frac{40}{20} = 2$
$x_2 = \frac{-7-47}{20} = \frac{-54}{20} = -\frac{27}{10}$
Оба корня удовлетворяют ОДЗ.
Ответ: $x_1 = 2, x_2 = -2\frac{7}{10}$.

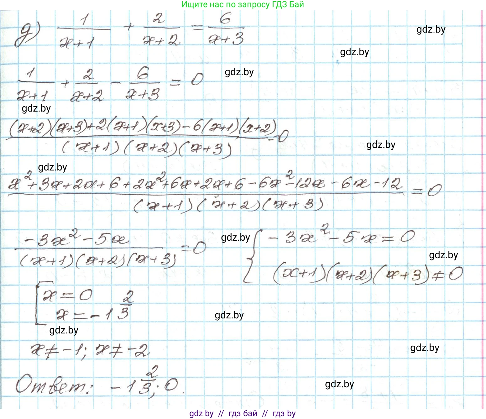
д) Решим уравнение $\frac{1}{x+1} + \frac{2}{x+2} = \frac{6}{x+3}$.
ОДЗ: $x \neq -1, x \neq -2, x \neq -3$.
Приведем к общему знаменателю левую часть:
$\frac{1(x+2)+2(x+1)}{(x+1)(x+2)} = \frac{6}{x+3}$
$\frac{x+2+2x+2}{x^2+3x+2} = \frac{6}{x+3}$
$\frac{3x+4}{x^2+3x+2} = \frac{6}{x+3}$
По свойству пропорции:
$(3x+4)(x+3) = 6(x^2+3x+2)$
$3x^2+9x+4x+12 = 6x^2+18x+12$
$3x^2+13x+12 = 6x^2+18x+12$
$3x^2+5x=0$
$x(3x+5)=0$
Отсюда $x_1=0$ или $3x+5=0 \Rightarrow x_2 = -\frac{5}{3}$.
Оба корня удовлетворяют ОДЗ.
Ответ: $x_1 = 0, x_2 = -1\frac{2}{3}$.

е) Решим уравнение $\frac{4}{x+2} + \frac{3}{x+3} = \frac{8x+3}{x+1}$.
ОДЗ: $x \neq -1, x \neq -2, x \neq -3$.
Приведем к общему знаменателю левую часть:
$\frac{4(x+3)+3(x+2)}{(x+2)(x+3)} = \frac{8x+3}{x+1}$
$\frac{4x+12+3x+6}{x^2+5x+6} = \frac{8x+3}{x+1}$
$\frac{7x+18}{x^2+5x+6} = \frac{8x+3}{x+1}$
По свойству пропорции:
$(7x+18)(x+1) = (8x+3)(x^2+5x+6)$
$7x^2+7x+18x+18 = 8x^3+40x^2+48x+3x^2+15x+18$
$7x^2+25x+18 = 8x^3+43x^2+63x+18$
$8x^3+36x^2+38x=0$
$2x(4x^2+18x+19)=0$
Получаем два уравнения:
1) $2x=0 \Rightarrow x_1=0$.
2) $4x^2+18x+19=0$.
Решим второе уравнение через дискриминант:
$D = 18^2 - 4 \cdot 4 \cdot 19 = 324 - 304 = 20$.
$x_{2,3} = \frac{-18 \pm \sqrt{20}}{2 \cdot 4} = \frac{-18 \pm 2\sqrt{5}}{8} = \frac{-9 \pm \sqrt{5}}{4}$.
Все три корня удовлетворяют ОДЗ. Два корня являются иррациональными, для них невозможно выделить целую часть, как для обыкновенной дроби.
Ответ: $x_1 = 0, x_2 = \frac{-9+\sqrt{5}}{4}, x_3 = \frac{-9-\sqrt{5}}{4}$.

Помогло решение? Оставьте отзыв в комментариях ниже.

Присоединяйтесь к Телеграм-группе @gdz_by_belarus

Присоединиться

Мы подготовили для вас ответ c подробным объяснением домашего задания по алгебре за 9 класс, для упражнения номер 3.16 расположенного на странице 147 к учебнику 2019 года издания для учащихся школ и гимназий.

Теперь на нашем сайте ГДЗ.ТОП вы всегда легко и бесплатно найдёте условие с правильным ответом на вопрос «Как решить ДЗ» и «Как сделать» задание по алгебре к упражнению №3.16 (с. 147), авторов: Арефьева (Ирина Глебовна), Пирютко (Ольга Николаевна), учебного пособия издательства Народная асвета.