Номер 3.22, страница 148 - гдз по алгебре 9 класс учебник Арефьева, Пирютко

Алгебра, 9 класс Учебник, авторы: Арефьева Ирина Глебовна, Пирютко Ольга Николаевна, издательство Народная асвета, Минск, 2019, голубого цвета

Авторы: Арефьева И. Г., Пирютко О. Н.

Тип: Учебник

Издательство: Народная асвета

Год издания: 2019 - 2025

Цвет обложки: голубой, синий с графиком

ISBN: 978-985-03-3077-2

Допущено Министерством образования Республики Беларусь

Популярные ГДЗ в 9 классе

Глава 3. Дробно-рациональные уравнения и неравенства. Параграф 10. Дробно-рациональные уравнения - номер 3.22, страница 148.

№3.22 (с. 148)
Условие. №3.22 (с. 148)
скриншот условия
Алгебра, 9 класс Учебник, авторы: Арефьева Ирина Глебовна, Пирютко Ольга Николаевна, издательство Народная асвета, Минск, 2019, голубого цвета, страница 148, номер 3.22, Условие

3.22. Решите задачу:

а) Протяженность шоссе между двумя городами составляет 300 км. Из одного города в другой одновременно выехали маршрутное такси и рейсовый автобус. Автобус двигался со скоростью на $10 \frac{\text{км}}{\text{ч}}$ меньше, чем маршрутное такси, и прибыл в пункт назначения на 1 ч позже такси. Найдите скорость автобуса.

б) В оздоровительном центре два бассейна: объемом $360 \text{ м}^3$ и $480 \text{ м}^3$. После плановой чистки их необходимо наполнить водой. Из трубы, наполняющей меньший бассейн, вытекает в час на $10 \text{ м}^3$ воды меньше, чем из трубы, наполняющей больший бассейн. Для наполнения меньшего бассейна потребовалось на 2 ч больше, чем для наполнения большего бассейна. Найдите, сколько кубических метров воды вытекает в час из каждой трубы.

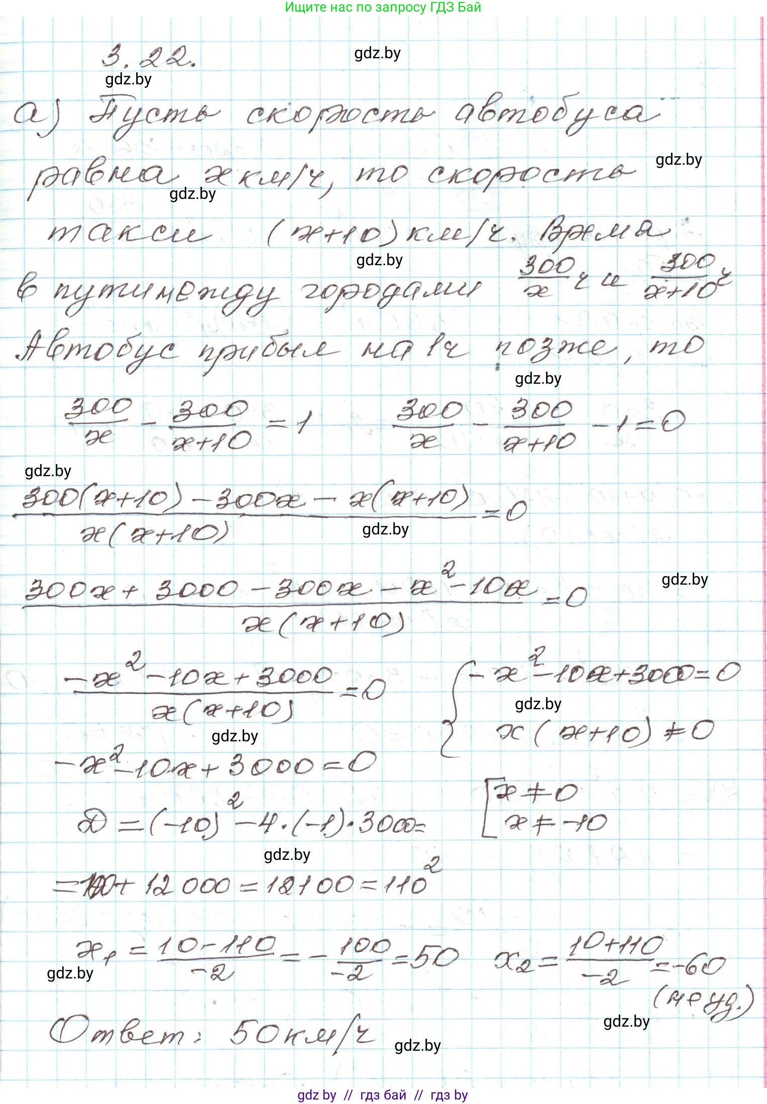
Решение. №3.22 (с. 148)
Алгебра, 9 класс Учебник, авторы: Арефьева Ирина Глебовна, Пирютко Ольга Николаевна, издательство Народная асвета, Минск, 2019, голубого цвета, страница 148, номер 3.22, Решение Алгебра, 9 класс Учебник, авторы: Арефьева Ирина Глебовна, Пирютко Ольга Николаевна, издательство Народная асвета, Минск, 2019, голубого цвета, страница 148, номер 3.22, Решение (продолжение 2)
Решение 2. №3.22 (с. 148)

а) Пусть скорость автобуса равна $x$ км/ч. Тогда, согласно условию, скорость маршрутного такси равна $x + 10$ км/ч.

Расстояние между городами составляет 300 км. Время, которое автобус затратил на путь, можно выразить как $t_{автобус} = \frac{S}{v_{автобус}} = \frac{300}{x}$ часов.

Время, которое маршрутное такси затратило на путь, составляет $t_{такси} = \frac{S}{v_{такси}} = \frac{300}{x+10}$ часов.

Известно, что автобус прибыл на 1 час позже такси, следовательно, время автобуса на 1 час больше времени такси. Составим уравнение:

$\frac{300}{x} - \frac{300}{x+10} = 1$

Приведем левую часть уравнения к общему знаменателю $x(x+10)$:

$\frac{300(x+10) - 300x}{x(x+10)} = 1$

$\frac{300x + 3000 - 300x}{x^2 + 10x} = 1$

$\frac{3000}{x^2 + 10x} = 1$

При условии, что $x \neq 0$ и $x \neq -10$, получаем:

$x^2 + 10x = 3000$

$x^2 + 10x - 3000 = 0$

Это квадратное уравнение. Решим его с помощью дискриминанта:

$D = b^2 - 4ac = 10^2 - 4 \cdot 1 \cdot (-3000) = 100 + 12000 = 12100$

$\sqrt{D} = \sqrt{12100} = 110$

Найдем корни уравнения:

$x_1 = \frac{-10 + 110}{2 \cdot 1} = \frac{100}{2} = 50$

$x_2 = \frac{-10 - 110}{2 \cdot 1} = \frac{-120}{2} = -60$

Поскольку скорость не может быть отрицательной, корень $x_2 = -60$ не удовлетворяет условию задачи. Следовательно, скорость автобуса равна 50 км/ч.

Ответ: скорость автобуса 50 км/ч.

б) Пусть производительность трубы, наполняющей больший бассейн, равна $x$ м³/ч. Тогда, согласно условию, производительность трубы, наполняющей меньший бассейн, равна $x - 10$ м³/ч.

Объем большего бассейна — 480 м³, меньшего — 360 м³.

Время, необходимое для наполнения большего бассейна: $t_{больший} = \frac{V_{больший}}{P_{больший}} = \frac{480}{x}$ часов.

Время, необходимое для наполнения меньшего бассейна: $t_{меньший} = \frac{V_{меньший}}{P_{меньший}} = \frac{360}{x-10}$ часов.

Известно, что для наполнения меньшего бассейна потребовалось на 2 часа больше. Составим уравнение:

$\frac{360}{x-10} - \frac{480}{x} = 2$

Приведем левую часть уравнения к общему знаменателю $x(x-10)$:

$\frac{360x - 480(x-10)}{x(x-10)} = 2$

$\frac{360x - 480x + 4800}{x^2 - 10x} = 2$

$\frac{-120x + 4800}{x^2 - 10x} = 2$

При условии, что $x \neq 0$ и $x \neq 10$, получаем:

$-120x + 4800 = 2(x^2 - 10x)$

$-120x + 4800 = 2x^2 - 20x$

Разделим обе части уравнения на 2 для упрощения:

$-60x + 2400 = x^2 - 10x$

Перенесем все члены в правую часть:

$x^2 - 10x + 60x - 2400 = 0$

$x^2 + 50x - 2400 = 0$

Решим полученное квадратное уравнение с помощью дискриминанта:

$D = b^2 - 4ac = 50^2 - 4 \cdot 1 \cdot (-2400) = 2500 + 9600 = 12100$

$\sqrt{D} = \sqrt{12100} = 110$

Найдем корни уравнения:

$x_1 = \frac{-50 + 110}{2 \cdot 1} = \frac{60}{2} = 30$

$x_2 = \frac{-50 - 110}{2 \cdot 1} = \frac{-160}{2} = -80$

Поскольку производительность (объем воды в час) не может быть отрицательной, корень $x_2 = -80$ не подходит. Значит, производительность трубы для большего бассейна равна 30 м³/ч.

Тогда производительность трубы для меньшего бассейна: $x - 10 = 30 - 10 = 20$ м³/ч.

Ответ: из трубы, наполняющей меньший бассейн, вытекает 20 м³/ч, а из трубы, наполняющей больший бассейн, — 30 м³/ч.

Помогло решение? Оставьте отзыв в комментариях ниже.

Присоединяйтесь к Телеграм-группе @gdz_by_belarus

Присоединиться

Мы подготовили для вас ответ c подробным объяснением домашего задания по алгебре за 9 класс, для упражнения номер 3.22 расположенного на странице 148 к учебнику 2019 года издания для учащихся школ и гимназий.

Теперь на нашем сайте ГДЗ.ТОП вы всегда легко и бесплатно найдёте условие с правильным ответом на вопрос «Как решить ДЗ» и «Как сделать» задание по алгебре к упражнению №3.22 (с. 148), авторов: Арефьева (Ирина Глебовна), Пирютко (Ольга Николаевна), учебного пособия издательства Народная асвета.