Номер 3.6, страница 146 - гдз по алгебре 9 класс учебник Арефьева, Пирютко

Алгебра, 9 класс Учебник, авторы: Арефьева Ирина Глебовна, Пирютко Ольга Николаевна, издательство Народная асвета, Минск, 2019, голубого цвета

Авторы: Арефьева И. Г., Пирютко О. Н.

Тип: Учебник

Издательство: Народная асвета

Год издания: 2019 - 2025

Цвет обложки: голубой, синий с графиком

ISBN: 978-985-03-3077-2

Допущено Министерством образования Республики Беларусь

Популярные ГДЗ в 9 классе

Глава 3. Дробно-рациональные уравнения и неравенства. Параграф 10. Дробно-рациональные уравнения - номер 3.6, страница 146.

№3.6 (с. 146)
Условие. №3.6 (с. 146)
скриншот условия
Алгебра, 9 класс Учебник, авторы: Арефьева Ирина Глебовна, Пирютко Ольга Николаевна, издательство Народная асвета, Минск, 2019, голубого цвета, страница 146, номер 3.6, Условие

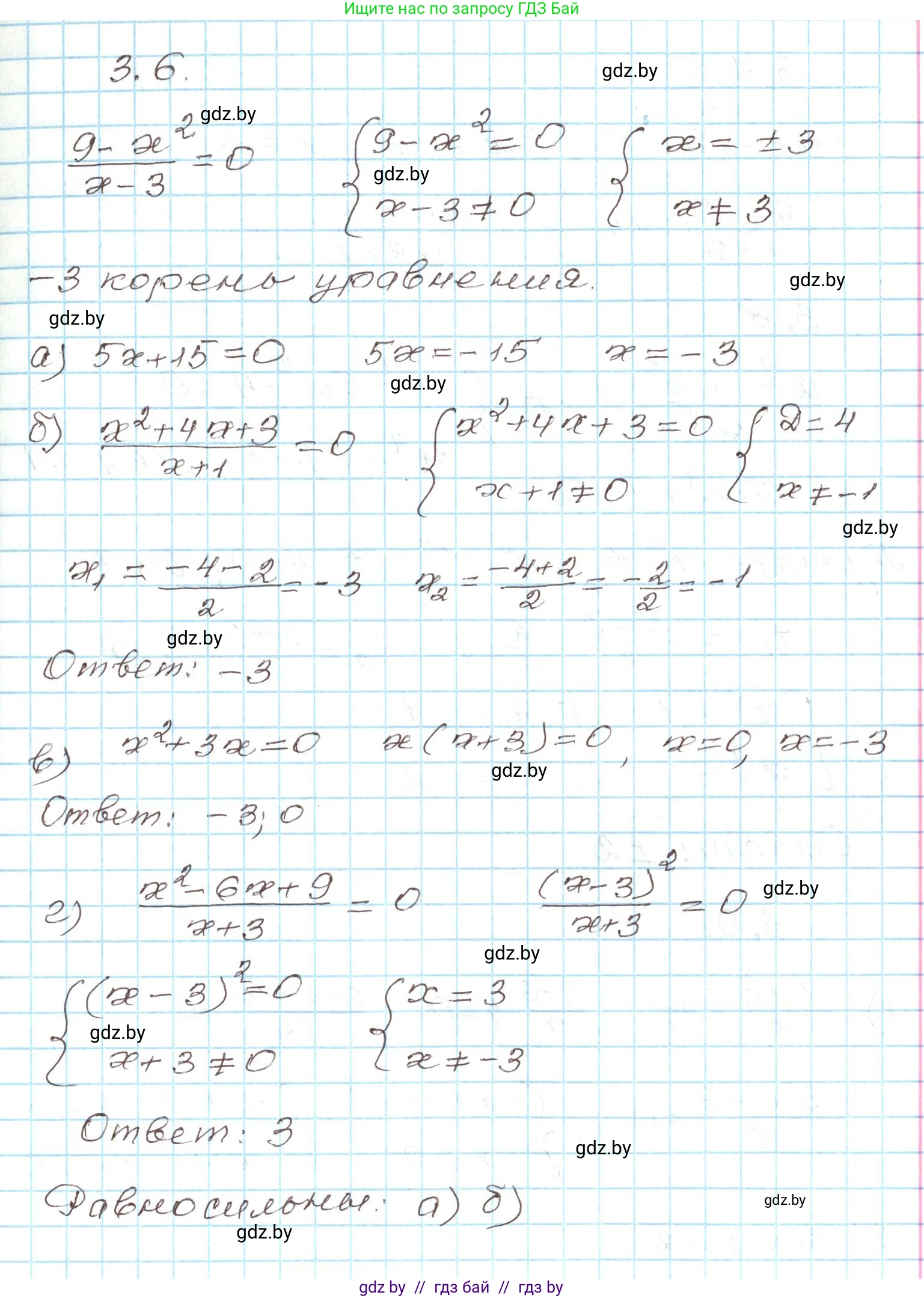
3.6. Какие из данных уравнений равносильны уравнению $ \frac{9-x^2}{x-3} = 0$:

а) $5x + 15 = 0;$

б) $ \frac{x^2+4x+3}{x+1} = 0;$

в) $x^2 + 3x = 0;$

г) $ \frac{x^2-6x+9}{x+3} = 0?$

Решение. №3.6 (с. 146)
Алгебра, 9 класс Учебник, авторы: Арефьева Ирина Глебовна, Пирютко Ольга Николаевна, издательство Народная асвета, Минск, 2019, голубого цвета, страница 146, номер 3.6, Решение
Решение 2. №3.6 (с. 146)

Два уравнения называются равносильными (эквивалентными), если множества их корней полностью совпадают. Чтобы определить, какие из предложенных уравнений равносильны исходному, сначала найдем корень (или корни) уравнения $\frac{9-x^2}{x-3}=0$.

Данное уравнение является дробно-рациональным. Дробь равна нулю в том и только в том случае, когда ее числитель равен нулю, а знаменатель отличен от нуля. Запишем это в виде системы:

$$ \begin{cases} 9 - x^2 = 0 \\ x - 3 \neq 0 \end{cases} $$

Решим первое уравнение системы $9 - x^2 = 0$:

$x^2 = 9$

У этого уравнения два корня: $x_1 = 3$ и $x_2 = -3$.

Теперь учтём условие $x - 3 \neq 0$, то есть $x \neq 3$.

Корень $x_1 = 3$ не удовлетворяет этому условию, поэтому он является посторонним. Корень $x_2 = -3$ удовлетворяет условию.

Таким образом, исходное уравнение имеет единственный корень: $x = -3$.

Теперь найдем корни каждого из предложенных уравнений и сравним их с корнем исходного уравнения.


а) Решим уравнение $5x + 15 = 0$.

$5x = -15$

$x = \frac{-15}{5}$

$x = -3$

Множество решений $\{-3\}$ совпадает с множеством решений исходного уравнения. Следовательно, это уравнение равносильно исходному.

Ответ: корень -3.

б) Решим уравнение $\frac{x^2 + 4x + 3}{x + 1} = 0$.

Составим систему:

$$ \begin{cases} x^2 + 4x + 3 = 0 \\ x + 1 \neq 0 \end{cases} $$

1. Решим квадратное уравнение $x^2 + 4x + 3 = 0$. По теореме Виета (или через дискриминант) находим корни: $x_1 = -1$ и $x_2 = -3$.

2. Проверим условие $x + 1 \neq 0$, то есть $x \neq -1$.

Корень $x_1 = -1$ не удовлетворяет условию, поэтому он отбрасывается. Остается единственный корень $x_2 = -3$.

Множество решений $\{-3\}$ совпадает с множеством решений исходного уравнения. Следовательно, это уравнение равносильно исходному.

Ответ: корень -3.

в) Решим уравнение $x^2 + 3x = 0$.

Вынесем общий множитель $x$ за скобки:

$x(x + 3) = 0$

Произведение равно нулю, когда один из множителей равен нулю:

$x_1 = 0$ или $x + 3 = 0 \implies x_2 = -3$.

Уравнение имеет два корня: $0$ и $-3$. Множество решений $\{-3, 0\}$ не совпадает с множеством решений исходного уравнения $\{-3\}$. Следовательно, это уравнение не равносильно исходному.

Ответ: корни 0 и -3.

г) Решим уравнение $\frac{x^2 - 6x + 9}{x + 3} = 0$.

Составим систему:

$$ \begin{cases} x^2 - 6x + 9 = 0 \\ x + 3 \neq 0 \end{cases} $$

1. Решим квадратное уравнение $x^2 - 6x + 9 = 0$. Свернем числитель по формуле квадрата разности:

$(x - 3)^2 = 0$

$x - 3 = 0 \implies x = 3$.

2. Проверим условие $x + 3 \neq 0$, то есть $x \neq -3$.

Корень $x = 3$ удовлетворяет этому условию.

Единственным решением является $x = 3$. Множество решений $\{3\}$ не совпадает с множеством решений исходного уравнения $\{-3\}$. Следовательно, это уравнение не равносильно исходному.

Ответ: корень 3.


Итоговый вывод: Равносильными исходному уравнению $\frac{9-x^2}{x-3}=0$ являются уравнения из пунктов а) и б), так как они имеют то же самое единственное решение $x=-3$.

Помогло решение? Оставьте отзыв в комментариях ниже.

Присоединяйтесь к Телеграм-группе @gdz_by_belarus

Присоединиться

Мы подготовили для вас ответ c подробным объяснением домашего задания по алгебре за 9 класс, для упражнения номер 3.6 расположенного на странице 146 к учебнику 2019 года издания для учащихся школ и гимназий.

Теперь на нашем сайте ГДЗ.ТОП вы всегда легко и бесплатно найдёте условие с правильным ответом на вопрос «Как решить ДЗ» и «Как сделать» задание по алгебре к упражнению №3.6 (с. 146), авторов: Арефьева (Ирина Глебовна), Пирютко (Ольга Николаевна), учебного пособия издательства Народная асвета.