Номер 4.112, страница 229 - гдз по алгебре 9 класс учебник Арефьева, Пирютко

Алгебра, 9 класс Учебник, авторы: Арефьева Ирина Глебовна, Пирютко Ольга Николаевна, издательство Народная асвета, Минск, 2019, голубого цвета

Авторы: Арефьева И. Г., Пирютко О. Н.

Тип: Учебник

Издательство: Народная асвета

Год издания: 2019 - 2025

Цвет обложки: голубой, синий с графиком

ISBN: 978-985-03-3077-2

Допущено Министерством образования Республики Беларусь

Популярные ГДЗ в 9 классе

Глава 4. Прогрессии. Параграф 16. Формула суммы n первых членов арифметической прогрессии - номер 4.112, страница 229.

№4.112 (с. 229)
Условие. №4.112 (с. 229)
скриншот условия
Алгебра, 9 класс Учебник, авторы: Арефьева Ирина Глебовна, Пирютко Ольга Николаевна, издательство Народная асвета, Минск, 2019, голубого цвета, страница 229, номер 4.112, Условие

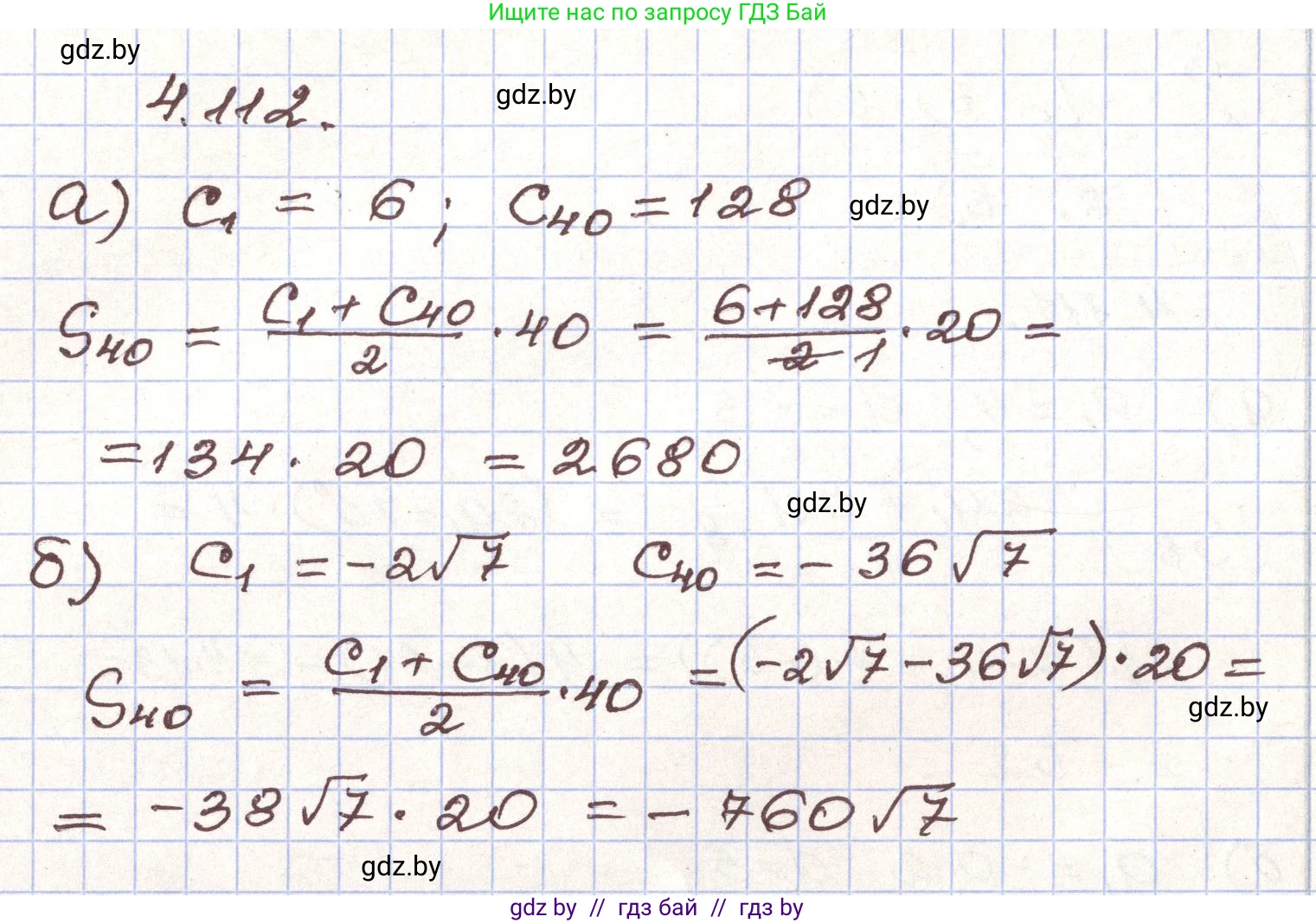
4.112. Найдите сумму сорока первых членов арифметической прогрессии $(c_n)$, если:

a) $c_1 = 6$; $c_{40} = 128$;

б) $c_1 = -2\sqrt{7}$; $c_{40} = -36\sqrt{7}$.

Решение. №4.112 (с. 229)
Алгебра, 9 класс Учебник, авторы: Арефьева Ирина Глебовна, Пирютко Ольга Николаевна, издательство Народная асвета, Минск, 2019, голубого цвета, страница 229, номер 4.112, Решение
Решение 2. №4.112 (с. 229)

Для нахождения суммы первых $n$ членов арифметической прогрессии $(c_n)$, зная ее первый и $n$-ый члены, используется формула:

$S_n = \frac{(c_1 + c_n) \cdot n}{2}$

В данной задаче требуется найти сумму первых сорока членов, следовательно, $n=40$.

а) Дано: $c_1 = 6$ и $c_{40} = 128$.

Подставляем значения в формулу для суммы первых сорока членов:

$S_{40} = \frac{(c_1 + c_{40}) \cdot 40}{2}$

$S_{40} = \frac{(6 + 128) \cdot 40}{2}$

$S_{40} = \frac{134 \cdot 40}{2}$

Выполняем вычисления:

$S_{40} = 134 \cdot 20 = 2680$

Ответ: 2680.

б) Дано: $c_1 = -2\sqrt{7}$ и $c_{40} = -36\sqrt{7}$.

Аналогично подставляем значения в формулу суммы:

$S_{40} = \frac{(c_1 + c_{40}) \cdot 40}{2}$

$S_{40} = \frac{(-2\sqrt{7} + (-36\sqrt{7})) \cdot 40}{2}$

$S_{40} = \frac{(-2\sqrt{7} - 36\sqrt{7}) \cdot 40}{2}$

$S_{40} = \frac{-38\sqrt{7} \cdot 40}{2}$

Выполняем вычисления:

$S_{40} = -38\sqrt{7} \cdot 20 = -760\sqrt{7}$

Ответ: -760$\sqrt{7}$.

Помогло решение? Оставьте отзыв в комментариях ниже.

Присоединяйтесь к Телеграм-группе @gdz_by_belarus

Присоединиться

Мы подготовили для вас ответ c подробным объяснением домашего задания по алгебре за 9 класс, для упражнения номер 4.112 расположенного на странице 229 к учебнику 2019 года издания для учащихся школ и гимназий.

Теперь на нашем сайте ГДЗ.ТОП вы всегда легко и бесплатно найдёте условие с правильным ответом на вопрос «Как решить ДЗ» и «Как сделать» задание по алгебре к упражнению №4.112 (с. 229), авторов: Арефьева (Ирина Глебовна), Пирютко (Ольга Николаевна), учебного пособия издательства Народная асвета.