Номер 4.118, страница 230 - гдз по алгебре 9 класс учебник Арефьева, Пирютко

Алгебра, 9 класс Учебник, авторы: Арефьева Ирина Глебовна, Пирютко Ольга Николаевна, издательство Народная асвета, Минск, 2019, голубого цвета

Авторы: Арефьева И. Г., Пирютко О. Н.

Тип: Учебник

Издательство: Народная асвета

Год издания: 2019 - 2025

Цвет обложки: голубой, синий с графиком

ISBN: 978-985-03-3077-2

Допущено Министерством образования Республики Беларусь

Популярные ГДЗ в 9 классе

Глава 4. Прогрессии. Параграф 16. Формула суммы n первых членов арифметической прогрессии - номер 4.118, страница 230.

№4.118 (с. 230)
Условие. №4.118 (с. 230)
скриншот условия
Алгебра, 9 класс Учебник, авторы: Арефьева Ирина Глебовна, Пирютко Ольга Николаевна, издательство Народная асвета, Минск, 2019, голубого цвета, страница 230, номер 4.118, Условие

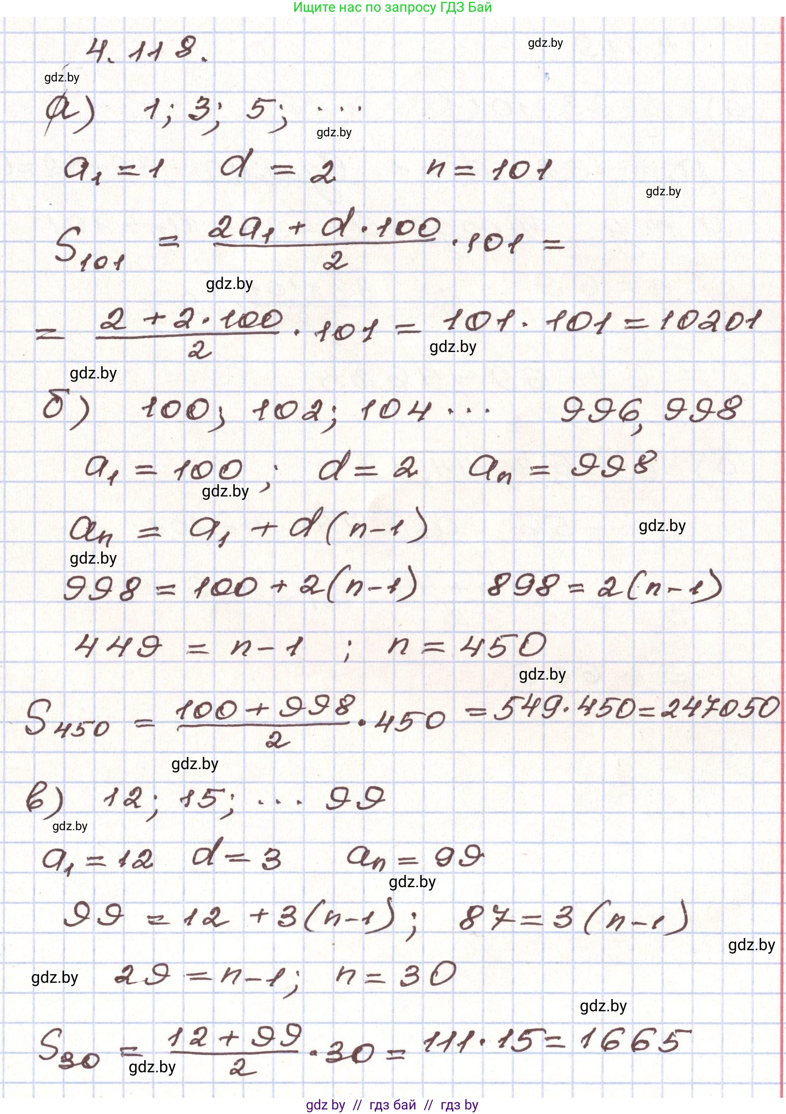
4.118. Составьте план решения и найдите сумму:

а) ста первых нечетных чисел;

б) всех четных трехзначных чисел;

в) всех двузначных чисел, кратных трем.

Решение. №4.118 (с. 230)
Алгебра, 9 класс Учебник, авторы: Арефьева Ирина Глебовна, Пирютко Ольга Николаевна, издательство Народная асвета, Минск, 2019, голубого цвета, страница 230, номер 4.118, Решение
Решение 2. №4.118 (с. 230)

Для решения каждой из подзадач мы будем рассматривать последовательность чисел как арифметическую прогрессию и использовать формулу для нахождения ее суммы.

План решения:

  1. Определить первый член ($a_1$), последний член ($a_n$) и разность ($d$) арифметической прогрессии.
  2. Найти количество членов прогрессии ($n$) по формуле n-го члена: $a_n = a_1 + (n-1)d$.
  3. Рассчитать сумму ($S_n$) по формуле суммы первых n членов арифметической прогрессии: $S_n = \frac{a_1 + a_n}{2} \cdot n$.

а) ста первых нечетных чисел;

Последовательность первых 100 нечетных чисел (1, 3, 5, ...) является арифметической прогрессией со следующими параметрами:

  • Первый член: $a_1 = 1$.
  • Разность прогрессии: $d = 2$.
  • Количество членов: $n = 100$ (по условию).

Найдем последний, 100-й, член этой прогрессии:

$a_{100} = a_1 + (100 - 1)d = 1 + 99 \cdot 2 = 1 + 198 = 199$.

Теперь вычислим сумму, используя формулу суммы:

$S_{100} = \frac{a_1 + a_{100}}{2} \cdot n = \frac{1 + 199}{2} \cdot 100 = \frac{200}{2} \cdot 100 = 100 \cdot 100 = 10000$.

Ответ: 10000

б) всех четных трехзначных чисел;

Последовательность всех четных трехзначных чисел (100, 102, ..., 998) является арифметической прогрессией.

  • Первый член (наименьшее четное трехзначное): $a_1 = 100$.
  • Последний член (наибольшее четное трехзначное): $a_n = 998$.
  • Разность прогрессии: $d = 2$.

Найдем количество членов в этой прогрессии ($n$):

$a_n = a_1 + (n-1)d$

$998 = 100 + (n-1) \cdot 2$

$898 = (n-1) \cdot 2$

$n-1 = 449 \implies n = 450$.

Вычислим сумму этих чисел:

$S_{450} = \frac{a_1 + a_n}{2} \cdot n = \frac{100 + 998}{2} \cdot 450 = \frac{1098}{2} \cdot 450 = 549 \cdot 450 = 247050$.

Ответ: 247050

в) всех двузначных чисел, кратных трем.

Последовательность всех двузначных чисел, кратных трем (12, 15, ..., 99), является арифметической прогрессией.

  • Первый член (наименьшее двузначное, кратное 3): $a_1 = 12$.
  • Последний член (наибольшее двузначное, кратное 3): $a_n = 99$.
  • Разность прогрессии: $d = 3$.

Найдем количество членов в этой прогрессии ($n$):

$a_n = a_1 + (n-1)d$

$99 = 12 + (n-1) \cdot 3$

$87 = (n-1) \cdot 3$

$n-1 = 29 \implies n = 30$.

Вычислим сумму этих чисел:

$S_{30} = \frac{a_1 + a_n}{2} \cdot n = \frac{12 + 99}{2} \cdot 30 = \frac{111}{2} \cdot 30 = 111 \cdot 15 = 1665$.

Ответ: 1665

Помогло решение? Оставьте отзыв в комментариях ниже.

Присоединяйтесь к Телеграм-группе @gdz_by_belarus

Присоединиться

Мы подготовили для вас ответ c подробным объяснением домашего задания по алгебре за 9 класс, для упражнения номер 4.118 расположенного на странице 230 к учебнику 2019 года издания для учащихся школ и гимназий.

Теперь на нашем сайте ГДЗ.ТОП вы всегда легко и бесплатно найдёте условие с правильным ответом на вопрос «Как решить ДЗ» и «Как сделать» задание по алгебре к упражнению №4.118 (с. 230), авторов: Арефьева (Ирина Глебовна), Пирютко (Ольга Николаевна), учебного пособия издательства Народная асвета.