Номер 4.125, страница 230 - гдз по алгебре 9 класс учебник Арефьева, Пирютко

Алгебра, 9 класс Учебник, авторы: Арефьева Ирина Глебовна, Пирютко Ольга Николаевна, издательство Народная асвета, Минск, 2019, голубого цвета

Авторы: Арефьева И. Г., Пирютко О. Н.

Тип: Учебник

Издательство: Народная асвета

Год издания: 2019 - 2025

Цвет обложки: голубой, синий с графиком

ISBN: 978-985-03-3077-2

Допущено Министерством образования Республики Беларусь

Популярные ГДЗ в 9 классе

Глава 4. Прогрессии. Параграф 16. Формула суммы n первых членов арифметической прогрессии - номер 4.125, страница 230.

№4.125 (с. 230)
Условие. №4.125 (с. 230)
скриншот условия
Алгебра, 9 класс Учебник, авторы: Арефьева Ирина Глебовна, Пирютко Ольга Николаевна, издательство Народная асвета, Минск, 2019, голубого цвета, страница 230, номер 4.125, Условие

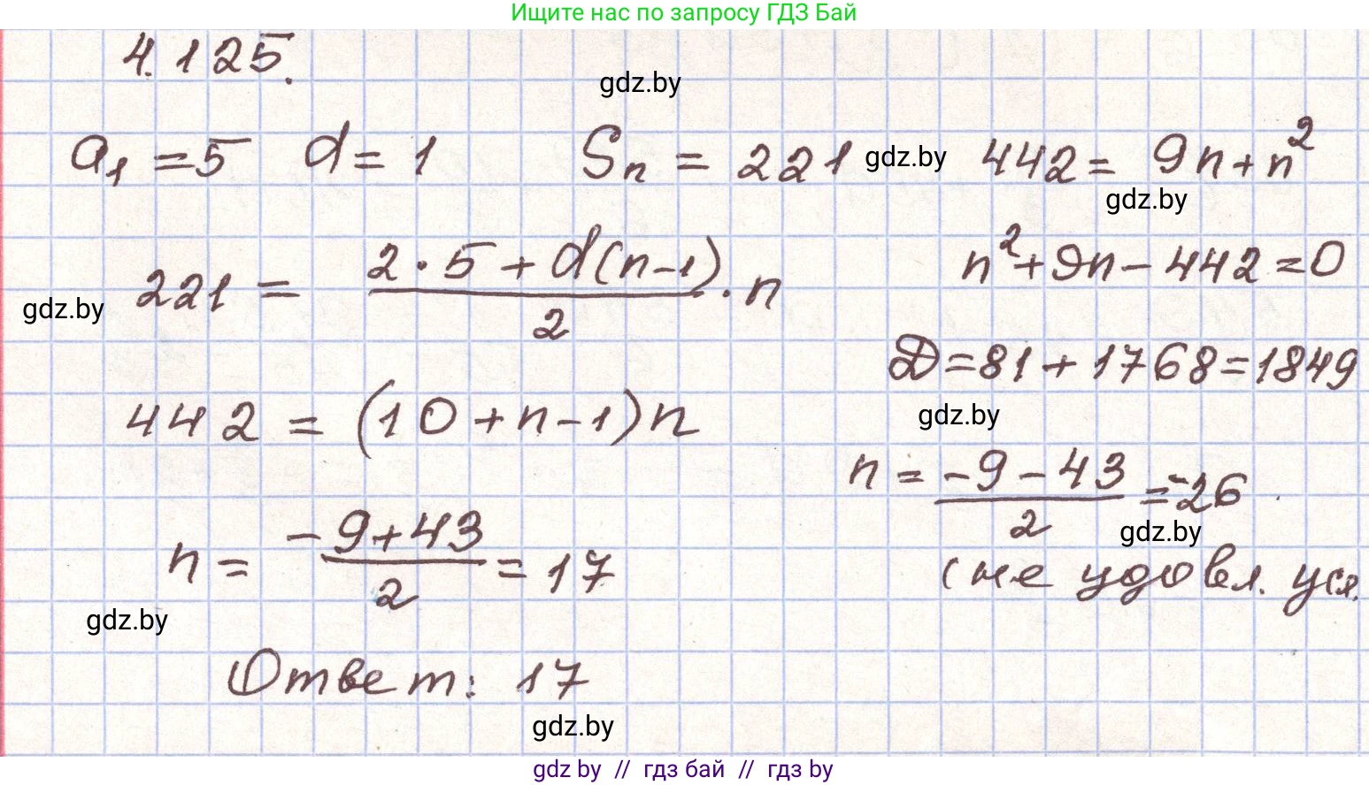
4.125. Сколько нужно взять последовательных натуральных чисел, начиная с 5, чтобы их сумма была равна 221?

Решение. №4.125 (с. 230)
Алгебра, 9 класс Учебник, авторы: Арефьева Ирина Глебовна, Пирютко Ольга Николаевна, издательство Народная асвета, Минск, 2019, голубого цвета, страница 230, номер 4.125, Решение
Решение 2. №4.125 (с. 230)

Данная задача сводится к нахождению количества членов арифметической прогрессии. Последовательные натуральные числа, начиная с 5 (5, 6, 7, ...), образуют арифметическую прогрессию.

Определим параметры этой прогрессии:

  • Первый член прогрессии: $a_1 = 5$.
  • Разность прогрессии (так как числа натуральные и последовательные): $d = 1$.
  • Сумма $n$ членов прогрессии по условию: $S_n = 221$.

Необходимо найти количество членов $n$.

Для этого воспользуемся формулой суммы $n$ первых членов арифметической прогрессии: $$S_n = \frac{2a_1 + d(n-1)}{2} \cdot n$$

Подставим известные значения в формулу: $$221 = \frac{2 \cdot 5 + 1 \cdot (n-1)}{2} \cdot n$$

Теперь решим полученное уравнение относительно $n$: $$221 = \frac{10 + n - 1}{2} \cdot n$$ $$221 = \frac{9 + n}{2} \cdot n$$

Умножим обе части уравнения на 2, чтобы избавиться от знаменателя: $$442 = (9 + n)n$$ $$442 = 9n + n^2$$

Приведем уравнение к стандартному виду квадратного уравнения $ax^2 + bx + c = 0$: $$n^2 + 9n - 442 = 0$$

Решим уравнение через дискриминант $D = b^2 - 4ac$: $$D = 9^2 - 4 \cdot 1 \cdot (-442) = 81 + 1768 = 1849$$

Найдем корни уравнения по формуле $n = \frac{-b \pm \sqrt{D}}{2a}$: $$n_1 = \frac{-9 + \sqrt{1849}}{2} = \frac{-9 + 43}{2} = \frac{34}{2} = 17$$ $$n_2 = \frac{-9 - \sqrt{1849}}{2} = \frac{-9 - 43}{2} = \frac{-52}{2} = -26$$

Поскольку количество чисел $n$ должно быть положительным целым числом, корень $n_2 = -26$ не является решением задачи. Следовательно, искомое количество чисел равно 17.
Ответ: 17

Помогло решение? Оставьте отзыв в комментариях ниже.

Присоединяйтесь к Телеграм-группе @gdz_by_belarus

Присоединиться

Мы подготовили для вас ответ c подробным объяснением домашего задания по алгебре за 9 класс, для упражнения номер 4.125 расположенного на странице 230 к учебнику 2019 года издания для учащихся школ и гимназий.

Теперь на нашем сайте ГДЗ.ТОП вы всегда легко и бесплатно найдёте условие с правильным ответом на вопрос «Как решить ДЗ» и «Как сделать» задание по алгебре к упражнению №4.125 (с. 230), авторов: Арефьева (Ирина Глебовна), Пирютко (Ольга Николаевна), учебного пособия издательства Народная асвета.