Номер 4.122, страница 230 - гдз по алгебре 9 класс учебник Арефьева, Пирютко

Алгебра, 9 класс Учебник, авторы: Арефьева Ирина Глебовна, Пирютко Ольга Николаевна, издательство Народная асвета, Минск, 2019, голубого цвета

Авторы: Арефьева И. Г., Пирютко О. Н.

Тип: Учебник

Издательство: Народная асвета

Год издания: 2019 - 2025

Цвет обложки: голубой, синий с графиком

ISBN: 978-985-03-3077-2

Допущено Министерством образования Республики Беларусь

Популярные ГДЗ в 9 классе

Глава 4. Прогрессии. Параграф 16. Формула суммы n первых членов арифметической прогрессии - номер 4.122, страница 230.

№4.122 (с. 230)
Условие. №4.122 (с. 230)
скриншот условия
Алгебра, 9 класс Учебник, авторы: Арефьева Ирина Глебовна, Пирютко Ольга Николаевна, издательство Народная асвета, Минск, 2019, голубого цвета, страница 230, номер 4.122, Условие

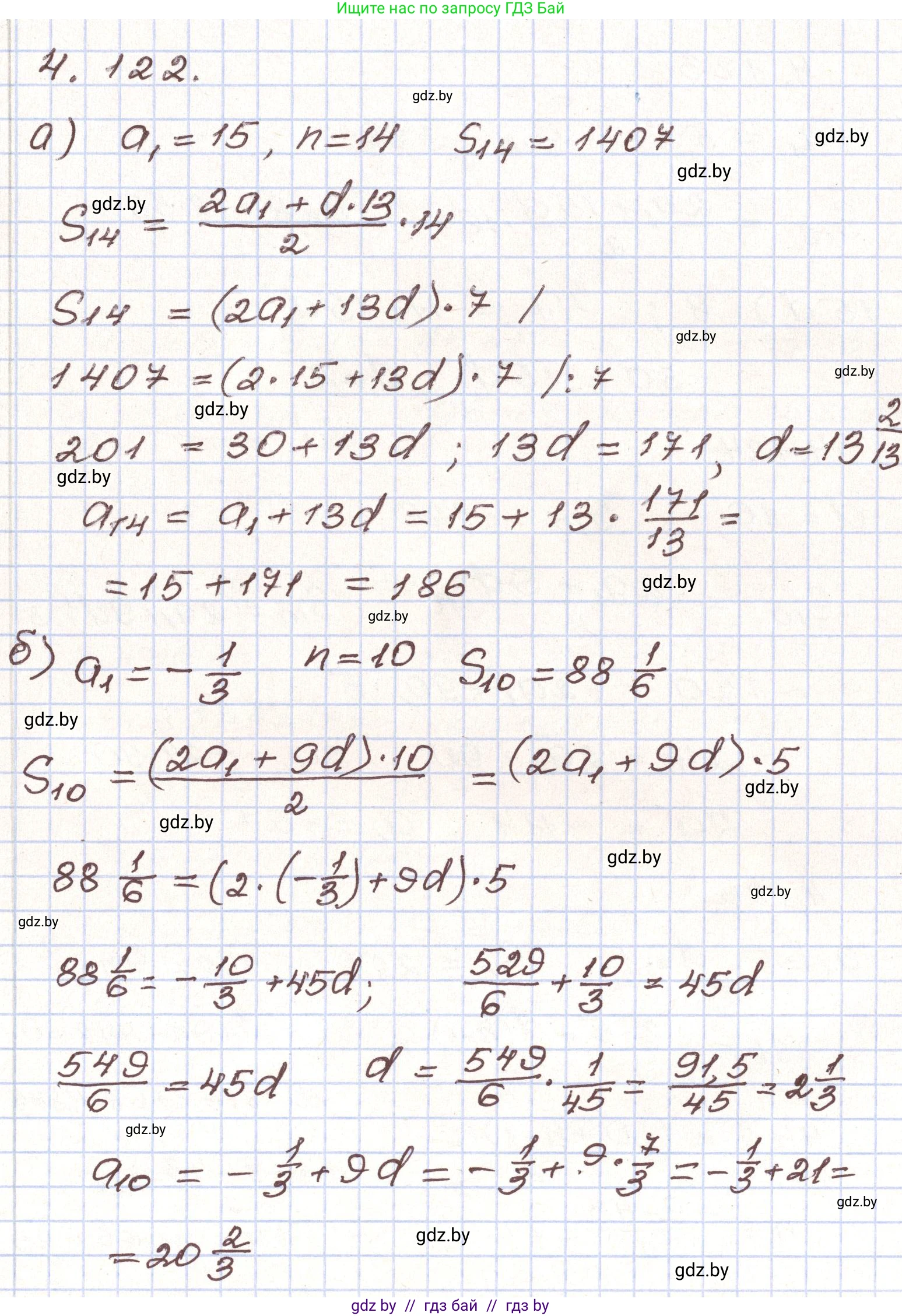
4.122. Найдите последний член и разность арифметической прогрессии, состоящей из $n$ членов, у которой:

a) $a_1=15$; $n=14$; $S_{14}=1407$;

б) $a_1=-\frac{1}{3}$; $n=10$; $S_{10}=88\frac{1}{6}$.

Решение. №4.122 (с. 230)
Алгебра, 9 класс Учебник, авторы: Арефьева Ирина Глебовна, Пирютко Ольга Николаевна, издательство Народная асвета, Минск, 2019, голубого цвета, страница 230, номер 4.122, Решение
Решение 2. №4.122 (с. 230)

а) Дано: $a_1 = 15$; $n = 14$; $S_{14} = 1407$.

Для нахождения последнего члена прогрессии $a_{14}$ воспользуемся формулой суммы $n$ членов арифметической прогрессии:

$S_n = \frac{a_1 + a_n}{2} \cdot n$

Подставляем наши значения:

$1407 = \frac{15 + a_{14}}{2} \cdot 14$

Сокращаем правую часть на 2:

$1407 = (15 + a_{14}) \cdot 7$

Находим скобку, разделив обе части на 7:

$15 + a_{14} = \frac{1407}{7}$

$15 + a_{14} = 201$

$a_{14} = 201 - 15 = 186$

Для нахождения разности прогрессии $d$ воспользуемся формулой $n$-го члена:

$a_n = a_1 + (n-1)d$

Подставляем известные значения для $n=14$:

$186 = 15 + (14-1)d$

$186 = 15 + 13d$

$13d = 186 - 15$

$13d = 171$

$d = \frac{171}{13} = 13\frac{2}{13}$

Ответ: последний член $a_{14} = 186$, разность $d = \textbf{13}\frac{2}{13}$.

б) Дано: $a_1 = -\frac{1}{3}$; $n = 10$; $S_{10} = 88\frac{1}{6}$.

Сначала представим сумму $S_{10}$ в виде неправильной дроби:

$S_{10} = 88\frac{1}{6} = \frac{88 \cdot 6 + 1}{6} = \frac{529}{6}$

Находим последний член прогрессии $a_{10}$ по формуле суммы:

$S_{10} = \frac{a_1 + a_{10}}{2} \cdot 10$

$\frac{529}{6} = \frac{-\frac{1}{3} + a_{10}}{2} \cdot 10$

$\frac{529}{6} = (-\frac{1}{3} + a_{10}) \cdot 5$

$-\frac{1}{3} + a_{10} = \frac{529}{6 \cdot 5} = \frac{529}{30}$

$a_{10} = \frac{529}{30} + \frac{1}{3} = \frac{529}{30} + \frac{10}{30} = \frac{539}{30} = 17\frac{29}{30}$

Теперь находим разность прогрессии $d$ по формуле $n$-го члена:

$a_{10} = a_1 + (10-1)d$

$17\frac{29}{30} = -\frac{1}{3} + 9d$

Переведем левую часть в неправильную дробь для удобства вычислений:

$\frac{539}{30} = -\frac{1}{3} + 9d$

$9d = \frac{539}{30} + \frac{1}{3} = \frac{539}{30} + \frac{10}{30} = \frac{549}{30}$

$d = \frac{549}{30 \cdot 9} = \frac{549}{270}$

Сокращаем дробь на 9 (так как сумма цифр числителя $5+4+9=18$ и знаменателя $2+7+0=9$ делятся на 9):

$d = \frac{549 \div 9}{270 \div 9} = \frac{61}{30} = 2\frac{1}{30}$

Ответ: последний член $a_{10} = \textbf{17}\frac{29}{30}$, разность $d = \textbf{2}\frac{1}{30}$.

Помогло решение? Оставьте отзыв в комментариях ниже.

Присоединяйтесь к Телеграм-группе @gdz_by_belarus

Присоединиться

Мы подготовили для вас ответ c подробным объяснением домашего задания по алгебре за 9 класс, для упражнения номер 4.122 расположенного на странице 230 к учебнику 2019 года издания для учащихся школ и гимназий.

Теперь на нашем сайте ГДЗ.ТОП вы всегда легко и бесплатно найдёте условие с правильным ответом на вопрос «Как решить ДЗ» и «Как сделать» задание по алгебре к упражнению №4.122 (с. 230), авторов: Арефьева (Ирина Глебовна), Пирютко (Ольга Николаевна), учебного пособия издательства Народная асвета.