Номер 4.138, страница 231 - гдз по алгебре 9 класс учебник Арефьева, Пирютко

Алгебра, 9 класс Учебник, авторы: Арефьева Ирина Глебовна, Пирютко Ольга Николаевна, издательство Народная асвета, Минск, 2019, голубого цвета

Авторы: Арефьева И. Г., Пирютко О. Н.

Тип: Учебник

Издательство: Народная асвета

Год издания: 2019 - 2025

Цвет обложки: голубой, синий с графиком

ISBN: 978-985-03-3077-2

Допущено Министерством образования Республики Беларусь

Популярные ГДЗ в 9 классе

Глава 4. Прогрессии. Параграф 16. Формула суммы n первых членов арифметической прогрессии - номер 4.138, страница 231.

№4.138 (с. 231)
Условие. №4.138 (с. 231)
скриншот условия
Алгебра, 9 класс Учебник, авторы: Арефьева Ирина Глебовна, Пирютко Ольга Николаевна, издательство Народная асвета, Минск, 2019, голубого цвета, страница 231, номер 4.138, Условие

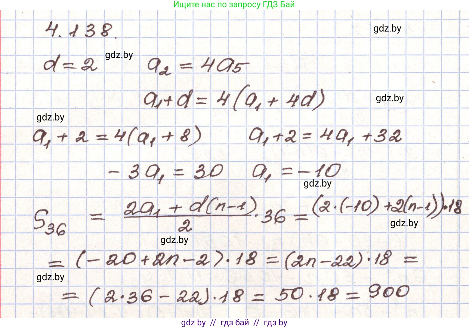
4.138. Найдите сумму тридцати шести первых членов арифметической прогрессии, если ее разность равна $2$, а пятый член прогрессии в $4$ раза меньше второго члена.

Решение. №4.138 (с. 231)
Алгебра, 9 класс Учебник, авторы: Арефьева Ирина Глебовна, Пирютко Ольга Николаевна, издательство Народная асвета, Минск, 2019, голубого цвета, страница 231, номер 4.138, Решение
Решение 2. №4.138 (с. 231)

Пусть ($a_n$) - данная арифметическая прогрессия. По условию задачи, ее разность $d=2$. Также известно, что пятый член прогрессии ($a_5$) в 4 раза меньше второго ($a_2$), что можно записать в виде уравнения: $a_2 = 4a_5$. Нам необходимо найти сумму первых тридцати шести членов этой прогрессии, обозначаемую как $S_{36}$.

Для нахождения суммы нам нужен первый член прогрессии $a_1$. Мы можем найти его, используя данные нам условия. Воспользуемся формулой n-го члена арифметической прогрессии: $a_n = a_1 + (n-1)d$.

Выразим второй и пятый члены прогрессии через $a_1$ и $d$:

$a_2 = a_1 + (2-1)d = a_1 + d$

$a_5 = a_1 + (5-1)d = a_1 + 4d$

Подставим известное значение разности $d=2$ в эти выражения:

$a_2 = a_1 + 2$

$a_5 = a_1 + 4 \cdot 2 = a_1 + 8$

Теперь подставим эти выражения в исходное соотношение $a_2 = 4a_5$ и решим полученное уравнение относительно $a_1$:

$a_1 + 2 = 4(a_1 + 8)$

$a_1 + 2 = 4a_1 + 32$

$4a_1 - a_1 = 2 - 32$

$3a_1 = -30$

$a_1 = -10$

Теперь, когда мы знаем первый член $a_1 = -10$ и разность $d=2$, мы можем найти сумму первых тридцати шести членов ($S_{36}$) по формуле суммы n первых членов арифметической прогрессии:

$S_n = \frac{2a_1 + (n-1)d}{2} \cdot n$

Подставим наши значения $n=36$, $a_1=-10$ и $d=2$ в формулу:

$S_{36} = \frac{2 \cdot (-10) + (36-1) \cdot 2}{2} \cdot 36$

$S_{36} = \frac{-20 + 35 \cdot 2}{2} \cdot 36$

$S_{36} = \frac{-20 + 70}{2} \cdot 36$

$S_{36} = \frac{50}{2} \cdot 36$

$S_{36} = 25 \cdot 36 = 900$

Ответ: 900

Помогло решение? Оставьте отзыв в комментариях ниже.

Присоединяйтесь к Телеграм-группе @gdz_by_belarus

Присоединиться

Мы подготовили для вас ответ c подробным объяснением домашего задания по алгебре за 9 класс, для упражнения номер 4.138 расположенного на странице 231 к учебнику 2019 года издания для учащихся школ и гимназий.

Теперь на нашем сайте ГДЗ.ТОП вы всегда легко и бесплатно найдёте условие с правильным ответом на вопрос «Как решить ДЗ» и «Как сделать» задание по алгебре к упражнению №4.138 (с. 231), авторов: Арефьева (Ирина Глебовна), Пирютко (Ольга Николаевна), учебного пособия издательства Народная асвета.