Номер 4.144, страница 232 - гдз по алгебре 9 класс учебник Арефьева, Пирютко

Алгебра, 9 класс Учебник, авторы: Арефьева Ирина Глебовна, Пирютко Ольга Николаевна, издательство Народная асвета, Минск, 2019, голубого цвета

Авторы: Арефьева И. Г., Пирютко О. Н.

Тип: Учебник

Издательство: Народная асвета

Год издания: 2019 - 2025

Цвет обложки: голубой, синий с графиком

ISBN: 978-985-03-3077-2

Допущено Министерством образования Республики Беларусь

Популярные ГДЗ в 9 классе

Глава 4. Прогрессии. Параграф 16. Формула суммы n первых членов арифметической прогрессии - номер 4.144, страница 232.

№4.144 (с. 232)
Условие. №4.144 (с. 232)
скриншот условия
Алгебра, 9 класс Учебник, авторы: Арефьева Ирина Глебовна, Пирютко Ольга Николаевна, издательство Народная асвета, Минск, 2019, голубого цвета, страница 232, номер 4.144, Условие

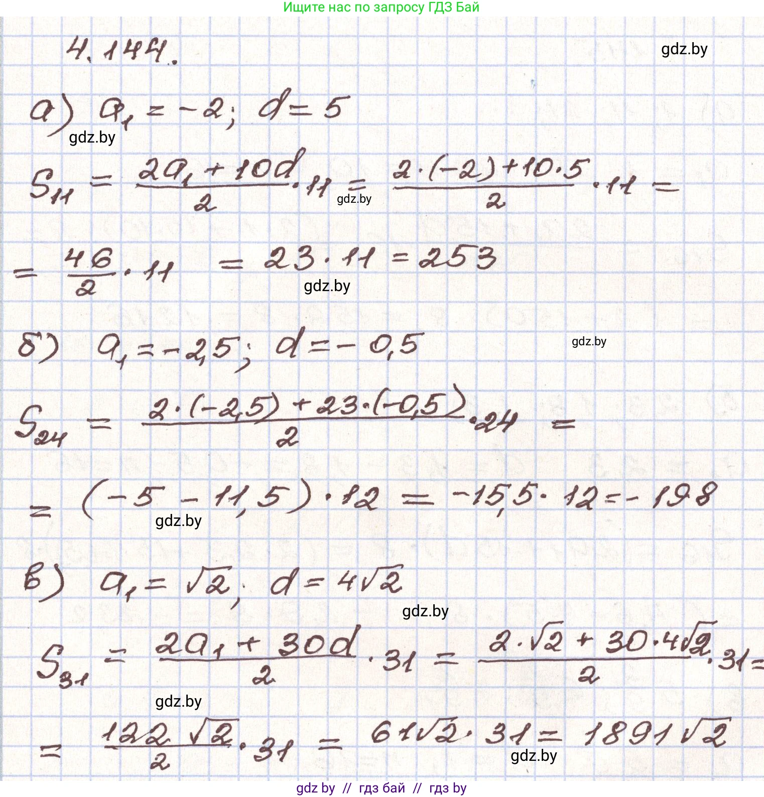
4.144. В арифметической прогрессии ($a_n$) найдите:

а) $S_{11}$, если $a_1 = -2, d = 5;$

б) $S_{24}$, если $a_1 = -2,5; d = -0,5;$

в) $S_{31}$, если $a_1 = \sqrt{2}, d = 4\sqrt{2}.

Решение. №4.144 (с. 232)
Алгебра, 9 класс Учебник, авторы: Арефьева Ирина Глебовна, Пирютко Ольга Николаевна, издательство Народная асвета, Минск, 2019, голубого цвета, страница 232, номер 4.144, Решение
Решение 2. №4.144 (с. 232)

Для нахождения суммы первых $n$ членов арифметической прогрессии $(a_n)$ с первым членом $a_1$ и разностью $d$ используется формула:

$S_n = \frac{2a_1 + d(n-1)}{2} \cdot n$

а) Найдем сумму $S_{11}$, если известно, что $a_1 = -2$ и $d = 5$.

Подставляя данные в формулу, получаем:

$S_{11} = \frac{2 \cdot (-2) + 5 \cdot (11-1)}{2} \cdot 11 = \frac{-4 + 5 \cdot 10}{2} \cdot 11 = \frac{-4 + 50}{2} \cdot 11 = \frac{46}{2} \cdot 11 = 23 \cdot 11 = 253$.

Ответ: 253.

б) Найдем сумму $S_{24}$, если известно, что $a_1 = -2,5$ и $d = -0,5$.

Подставляя данные в формулу, получаем:

$S_{24} = \frac{2 \cdot (-2.5) + (-0.5) \cdot (24-1)}{2} \cdot 24 = \frac{-5 - 0.5 \cdot 23}{2} \cdot 24 = \frac{-5 - 11.5}{2} \cdot 24 = \frac{-16.5 \cdot 24}{2} = -16.5 \cdot 12 = -198$.

Ответ: -198.

в) Найдем сумму $S_{31}$, если известно, что $a_1 = \sqrt{2}$ и $d = 4\sqrt{2}$.

Подставляя данные в формулу, получаем:

$S_{31} = \frac{2 \cdot \sqrt{2} + 4\sqrt{2} \cdot (31-1)}{2} \cdot 31 = \frac{2\sqrt{2} + 4\sqrt{2} \cdot 30}{2} \cdot 31 = \frac{(2+120)\sqrt{2}}{2} \cdot 31 = \frac{122\sqrt{2}}{2} \cdot 31 = 61\sqrt{2} \cdot 31 = 1891\sqrt{2}$.

Ответ: $1891\sqrt{2}$.

Помогло решение? Оставьте отзыв в комментариях ниже.

Присоединяйтесь к Телеграм-группе @gdz_by_belarus

Присоединиться

Мы подготовили для вас ответ c подробным объяснением домашего задания по алгебре за 9 класс, для упражнения номер 4.144 расположенного на странице 232 к учебнику 2019 года издания для учащихся школ и гимназий.

Теперь на нашем сайте ГДЗ.ТОП вы всегда легко и бесплатно найдёте условие с правильным ответом на вопрос «Как решить ДЗ» и «Как сделать» задание по алгебре к упражнению №4.144 (с. 232), авторов: Арефьева (Ирина Глебовна), Пирютко (Ольга Николаевна), учебного пособия издательства Народная асвета.