Номер 4.150, страница 233 - гдз по алгебре 9 класс учебник Арефьева, Пирютко

Алгебра, 9 класс Учебник, авторы: Арефьева Ирина Глебовна, Пирютко Ольга Николаевна, издательство Народная асвета, Минск, 2019, голубого цвета

Авторы: Арефьева И. Г., Пирютко О. Н.

Тип: Учебник

Издательство: Народная асвета

Год издания: 2019 - 2025

Цвет обложки: голубой, синий с графиком

ISBN: 978-985-03-3077-2

Допущено Министерством образования Республики Беларусь

Популярные ГДЗ в 9 классе

Глава 4. Прогрессии. Параграф 16. Формула суммы n первых членов арифметической прогрессии - номер 4.150, страница 233.

№4.150 (с. 233)
Условие. №4.150 (с. 233)
скриншот условия
Алгебра, 9 класс Учебник, авторы: Арефьева Ирина Глебовна, Пирютко Ольга Николаевна, издательство Народная асвета, Минск, 2019, голубого цвета, страница 233, номер 4.150, Условие

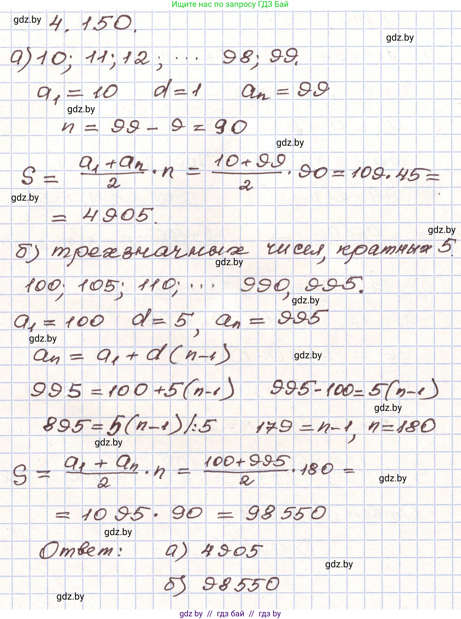
4.150. Выполните анализ условия и найдите сумму всех:

а) двузначных чисел;

б) трехзначных чисел, кратных пяти.

Решение. №4.150 (с. 233)
Алгебра, 9 класс Учебник, авторы: Арефьева Ирина Глебовна, Пирютко Ольга Николаевна, издательство Народная асвета, Минск, 2019, голубого цвета, страница 233, номер 4.150, Решение
Решение 2. №4.150 (с. 233)

а) двузначных чисел;

Все двузначные числа, начиная с 10 и заканчивая 99, образуют арифметическую прогрессию. Проанализируем ее параметры:

  • Первый член прогрессии: $a_1 = 10$
  • Последний член прогрессии: $a_n = 99$
  • Разность прогрессии: $d = 1$

Для нахождения суммы необходимо определить количество членов этой прогрессии. Воспользуемся формулой n-го члена арифметической прогрессии: $a_n = a_1 + (n-1)d$.
$99 = 10 + (n-1) \cdot 1$
$99 - 10 = n - 1$
$89 = n - 1$
$n = 90$

Таким образом, существует 90 двузначных чисел. Теперь найдем их сумму, используя формулу суммы первых n членов арифметической прогрессии: $S_n = \frac{a_1 + a_n}{2} \cdot n$.
$S_{90} = \frac{10 + 99}{2} \cdot 90 = \frac{109}{2} \cdot 90 = 109 \cdot 45 = 4905$

Ответ: 4905

б) трехзначных чисел, кратных пяти.

Все трехзначные числа, которые делятся на 5, также образуют арифметическую прогрессию. Проанализируем ее параметры:

  • Первый член прогрессии (наименьшее трехзначное число, кратное 5): $b_1 = 100$
  • Последний член прогрессии (наибольшее трехзначное число, кратное 5): $b_m = 995$
  • Разность прогрессии: $d = 5$

Сначала найдем количество членов в этой прогрессии (m) по формуле m-го члена: $b_m = b_1 + (m-1)d$.
$995 = 100 + (m-1) \cdot 5$
$995 - 100 = (m-1) \cdot 5$
$895 = (m-1) \cdot 5$
$m-1 = \frac{895}{5} = 179$
$m = 180$

Таким образом, существует 180 трехзначных чисел, кратных пяти. Теперь найдем их сумму по формуле: $S_m = \frac{b_1 + b_m}{2} \cdot m$.
$S_{180} = \frac{100 + 995}{2} \cdot 180 = \frac{1095}{2} \cdot 180 = 1095 \cdot 90 = 98550$

Ответ: 98550

Помогло решение? Оставьте отзыв в комментариях ниже.

Присоединяйтесь к Телеграм-группе @gdz_by_belarus

Присоединиться

Мы подготовили для вас ответ c подробным объяснением домашего задания по алгебре за 9 класс, для упражнения номер 4.150 расположенного на странице 233 к учебнику 2019 года издания для учащихся школ и гимназий.

Теперь на нашем сайте ГДЗ.ТОП вы всегда легко и бесплатно найдёте условие с правильным ответом на вопрос «Как решить ДЗ» и «Как сделать» задание по алгебре к упражнению №4.150 (с. 233), авторов: Арефьева (Ирина Глебовна), Пирютко (Ольга Николаевна), учебного пособия издательства Народная асвета.